Comparison of High-Resolution Satellite Precipitation Products in Sub-Saharan Morocco
Abstract
1. Introduction
2. Study Area and Data Sets
2.1. Ground Observations
2.2. Satellite Rainfall Products
- GPM products
- CHRS products
- CHIRPS v2.0 product
3. Methods
- Pixel scale
- Basin scale
3.1. Continuous Metrics
3.2. Categorical Metrics
4. Results
4.1. Evaluation at the Pixel Scale
4.1.1. Performance of Continuous Metrics
- Evolution of continuous metrics according to altitudes
- Evolution of continuous metrics according to latitudes
4.1.2. Ability of the Satellite Products to Detect Different Precipitation Intensities
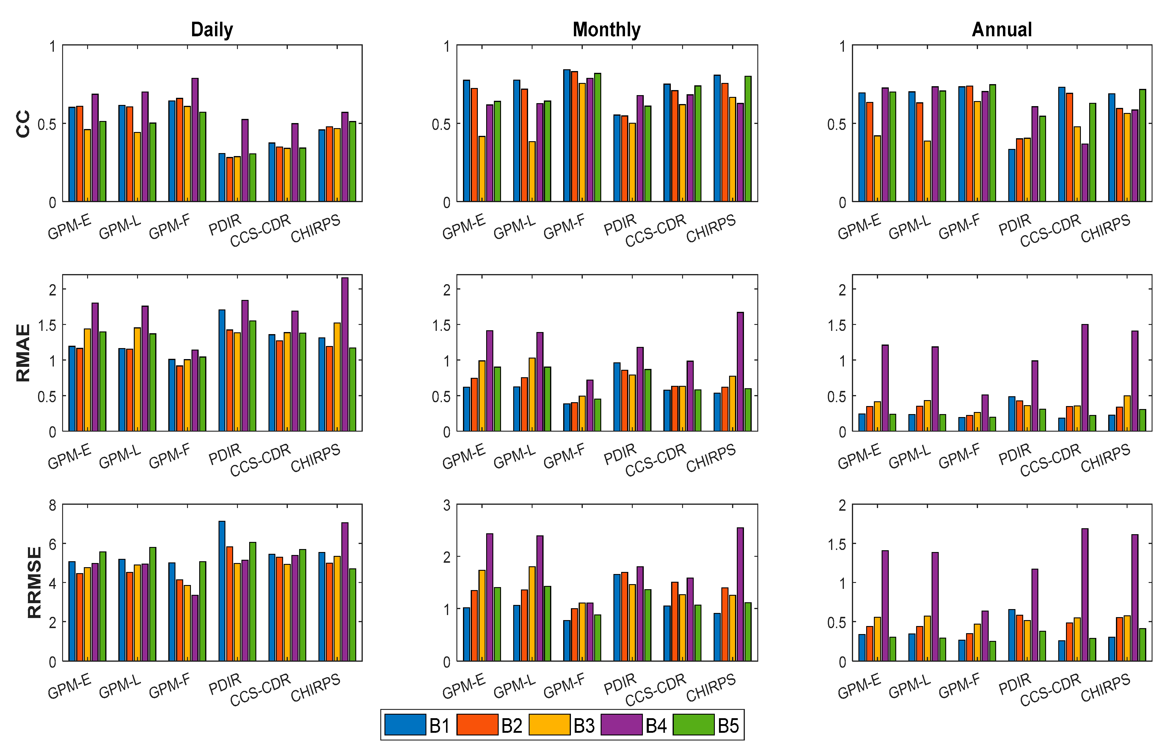
4.2. Evaluation at the Basins Scale
5. Discussion
- At the pixel scale
- At the basin scale
6. Conclusions and Perspectives
Supplementary Materials
Author Contributions
Funding
Data Availability Statement
Acknowledgments
Conflicts of Interest
References
- Camici, S.; Ciabatta, L.; Massari, C.; Brocca, L. How Reliable Are Satellite Precipitation Estimates for Driving Hydrological Models: A Verification Study over the Mediterranean Area. J. Hydrol. 2018, 563, 950–961. [Google Scholar] [CrossRef]
- Camici, S.; Massari, C.; Ciabatta, L.; Marchesini, I.; Brocca, L. Which Rainfall Score Is More Informative about the Performance in River Discharge Simulation? A Comprehensive Assessment on 1318 Basins over Europe. Hydrol. Earth Syst. Sci. 2020, 24, 4869–4885. [Google Scholar] [CrossRef]
- Shen, Z.; Yong, B.; Yi, L.; Wu, H.; Xu, H. From TRMM to GPM, How Do Improvements of Post/near-Real-Time Satellite Precipitation Estimates Manifest. Atmos. Res. 2022, 268, 106029. [Google Scholar] [CrossRef]
- Kidd, C.; Huffman, G. Global Precipitation Measurement. Meteorol. Appl. 2011, 18, 334–353. [Google Scholar] [CrossRef]
- Li, Z.; Yang, D.; Hong, Y. Multi-Scale Evaluation of High-Resolution Multi-Sensor Blended Global Precipitation Products over the Yangtze River. J. Hydrol. 2013, 500, 157–169. [Google Scholar] [CrossRef]
- Chiaravalloti, F.; Brocca, L.; Procopio, A.; Massari, C.; Gabriele, S. Assessment of GPM and SM2RAIN-ASCAT Rainfall Products over Complex Terrain in Southern Italy. Atmos. Res. 2018, 206, 64–74. [Google Scholar] [CrossRef]
- WMO (World Meteorological Organization). Guide to Hydrological Practice: WMO-No. 168; WMO: Geneva, Switzerland, 2008; Volume I, ISBN 9789263101686. [Google Scholar]
- Salio, P.; Paula, M.; García, Y.; Vila, D. Evaluation of High-Resolution Satellite Precipitation Estimates over Southern South America Using a Dense Rain Gauge Network. Atmos. Res. 2015, 163, 146–161. [Google Scholar] [CrossRef]
- Liu, Z.; Wang, H.; Huang, J.; Zhuo, L. Data Mining of Remotely-Sensed Rainfall for a Large-Scale Rain Gauge Network Design. IEEE J. Sel. Top. Appl. Earth Obs. Remote Sens. 2021, 14, 12300–12311. [Google Scholar] [CrossRef]
- Cantoni, E.; Tramblay, Y.; Grimaldi, S.; Salamon, P.; Dakhlaoui, H.; Dezetter, A.; Thiemig, V. Hydrological Performance of the ERA5 Reanalysis for Flood Modeling in Tunisia with the LISFLOOD and GR4J Models. J. Hydrol. Reg. Stud. 2022, 42, 101169. [Google Scholar] [CrossRef]
- Huffman, G.J.; Adler, R.; Bolvin, D.; Nelkin, E. The TRMM Multi-Satellite Precipitation Analysis (TMPA). In Satellite Rainfall Applications for Surface Hydrology; Springer: Dordrecht, The Netherlands, 2010; pp. 3–22. [Google Scholar] [CrossRef]
- Kubota, T.; Hashizume, H.; Shige, S.; Okamoto, K.; Aonashi, K.; Takahashi, N.; Ushio, T.; Kachi, M. Global Precipitation Map Using Satelliteborne Microwave Radiometers by the GSMaP Project: Production and Validation. In Proceedings of the 2006 IEEE International Symposium on Geoscience and Remote Sensing, Denver, CO, USA, 31 July–4 August 2006; Volume 45, pp. 2584–2587. [Google Scholar] [CrossRef]
- Sorooshian, S.; Hsu, K.L.; Gao, X.; Gupta, H.V.; Imam, B.; Braithwaite, D. Evaluation of PERSIANN System Satellite-Based Estimates of Tropical Rainfall. Bull. Am. Meteorol. Soc. 2000, 81, 2035–2046. [Google Scholar] [CrossRef]
- Funk, C.; Peterson, P.; Landsfeld, M.; Pedreros, D.; Verdin, J.; Shukla, S.; Husak, G.; Rowland, J.; Harrison, L.; Hoell, A.; et al. The Climate Hazards Infrared Precipitation with Stations—A New Environmental Record for Monitoring Extremes. Sci. Data 2015, 2, 150066. [Google Scholar] [CrossRef] [PubMed]
- Huffman, G.J.; Bolvin, D.T.; Braithwaite, D.; Hsu, K.L.; Joyce, R.J.; Kidd, C.; Nelkin, E.J.; Sorooshian, S.; Stocker, E.F.; Tan, J.; et al. Integrated Multi-Satellite Retrievals for the Global Precipitation Measurement (GPM) Mission (IMERG). Adv. Glob. Chang. Res. 2020, 67, 343–353. [Google Scholar] [CrossRef]
- Kabite Wedajo, G.; Kebede Muleta, M.; Gessesse Awoke, B. Performance Evaluation of Multiple Satellite Rainfall Products for Dhidhessa River Basin (DRB), Ethiopia. Atmos. Meas. Tech. 2021, 14, 2299–2316. [Google Scholar] [CrossRef]
- Roushdi, M. Spatio-Temporal Assessment of Satellite Estimates and Gauge-Based Rainfall Products in Northern Part of Egypt. Clim. Artic. 2022, 10, 134. [Google Scholar] [CrossRef]
- Chen, H.; Yong, B.; Kirstetter, P.E.; Wang, L.; Hong, Y. Global Component Analysis of Errors in Three Satellite-Only Global Precipitation Estimates. Hydrol. Earth Syst. Sci. 2021, 25, 3087–3104. [Google Scholar] [CrossRef]
- Hussain, Y.; Satgé, F.; Hussain, M.B.; Martinez-Carvajal, H.; Bonnet, M.P.; Cárdenas-Soto, M.; Roig, H.L.; Akhter, G. Performance of CMORPH, TMPA, and PERSIANN Rainfall Datasets over Plain, Mountainous, and Glacial Regions of Pakistan. Theor. Appl. Climatol. 2017, 131, 1119–1132. [Google Scholar] [CrossRef]
- Mashingia, F.; Mtalo, F.; Bruen, M. Validation of Remotely Sensed Rainfall over Major Climatic Regions in Northeast Tanzania. Phys. Chem. Earth 2014, 67–69, 55–63. [Google Scholar] [CrossRef]
- Tramblay, Y.; Thiemig, V.; Dezetter, A.; Hanich, L. Evaluation of Satellite-Based Rainfall Products for Hydrological Modelling in Morocco. Hydrol. Sci. J. 2016, 61, 2509–2519. [Google Scholar] [CrossRef]
- Fenta, A.A.; Yasuda, H.; Shimizu, K.; Ibaraki, Y.; Haregeweyn, N.; Kawai, T.; Belay, A.S.; Sultan, D.; Ebabu, K. Evaluation of Satellite Rainfall Estimates over the Lake Tana Basin at the Source Region of the Blue Nile River. Atmos. Res. 2018, 212, 43–53. [Google Scholar] [CrossRef]
- Paredes-Trejo, F.; Barbosa, H.; dos Santos, C.A.C. Evaluation of the Performance of SM2RAIN-Derived Rainfall Products over Brazil. Remote Sens. 2019, 11, 1113. [Google Scholar] [CrossRef]
- Moura Ramos Filho, G.; Hugo Rabelo Coelho, V.; da Silva Freitas, E.; Xuan, Y.; Brocca, L.; das Neves Almeida, C. Regional-Scale Evaluation of 14 Satellite-Based Precipitation Products in Characterising Extreme Events and Delineating Rainfall Thresholds for Flood Hazards. Atmos. Res. 2022, 276, 106259. [Google Scholar] [CrossRef]
- Rossi, M.; Kirschbaum, D.; Valigi, D.; Mondini, A.C.; Guzzetti, F. Comparison of Satellite Rainfall Estimates and Rain Gauge Measurements in Italy, and Impact on Landslide Modeling. Climate 2017, 5, 90. [Google Scholar] [CrossRef]
- Alfieri, L.; Avanzi, F.; Delogu, F.; Gabellani, S.; Bruno, G.; Campo, L.; Libertino, A.; Massari, C.; Tarpanelli, A.; Rains, D.; et al. High-Resolution Satellite Products Improve Hydrological Modeling in Northern Italy. Hydrol. Earth Syst. Sci. 2022, 26, 3921–3939. [Google Scholar] [CrossRef]
- Guo, H.; Chen, S.; Bao, A.; Behrangi, A.; Hong, Y.; Ndayisaba, F.; Hu, J.; Stepanian, P.M. Early Assessment of Integrated Multi-Satellite Retrievals for Global Precipitation Measurement over China. Atmos. Res. 2016, 176–177, 121–133. [Google Scholar] [CrossRef]
- Liu, C.Y.; Aryastana, P.; Liu, G.R.; Huang, W.R. Assessment of Satellite Precipitation Product Estimates over Bali Island. Atmos. Res. 2020, 244, 105032. [Google Scholar] [CrossRef]
- Shayeghi, A.; Azizian, A.; Brocca, L. Reliability of Reanalysis and Remotely Sensed Precipitation Products for Hydrological Simulation over the Sefidrood River Basin, Iran. Hydrol. Sci. J. 2020, 65, 296–310. [Google Scholar] [CrossRef]
- Saddique, N.; Muzammil, M.; Jahangir, I.; Sarwar, A.; Ehtesham, A.; Ammar Aslam, R.; Christian, B. Hydrological Evaluation of 14 Satellite-Based, Gauge-Based and Reanalysis Precipitation Products in a Data-Scarce Mountainous Catchment. Hydrol. Sci. J. 2022, 67, 436–450. [Google Scholar] [CrossRef]
- Hadria, R.; Boudhar, A.; Ouatiki, H.; Lebrini, Y.; Elmansouri, L.; Gadouali, F.; Hayat Lionboui, H.L.; Benabdelouahab, T. Combining Use of TRMM and Ground Observations of Annual Precipitations for Meteorological Drought Trends Monitoring in Morocco. Am. J. Remote Sens. 2019, 7, 25. [Google Scholar] [CrossRef]
- Karmouda, N.; Kacimi, I.; ElKharrim, M.; Brirhet, H.; Hamidi, M. Geo-Statistical and Hydrological Assessment of Three Satellite Precipitation Products over Ouergha Basin (Northern Morocco). Arab. J. Geosci. 2022, 15, 235. [Google Scholar] [CrossRef]
- El Alaoui El Fels, A.; Saidi, M.E.; Alam, M.J. Bin Rainfall Frequency Analysis Using Assessed and Corrected Satellite Precipitation Products in Moroccan Arid Areas. The Case of Tensift Watershed. Earth Syst. Environ. 2022, 6, 391–404. [Google Scholar] [CrossRef]
- Saouabe, T.; El Khalki, E.M.; Saidi, M.E.M.; Najmi, A.; Hadri, A.; Rachidi, S.; Jadoud, M.; Tramblay, Y. Evaluation of the GPM-IMERG Precipitation Product for Flood Modeling in a Semi-Arid Mountainous Basin in Morocco. Water 2020, 12, 2516. [Google Scholar] [CrossRef]
- Ouaba, M.; El Khalki, E.M.; Saidi, M.E.; Alam, M.J. Bin Estimation of Flood Discharge in Ungauged Basin Using GPM-IMERG Satellite-Based Precipitation Dataset in a Moroccan Arid Zone. Earth Syst. Environ. 2022, 6, 541–556. [Google Scholar] [CrossRef]
- Milewski, A.; Elkadiri, R.; Durham, M. Assessment and Comparison of TMPA Satellite Precipitation Products in Varying Climatic and Topographic Regimes in Morocco. Remote Sens. 2015, 7, 5697–5717. [Google Scholar] [CrossRef]
- Salih, W.; Chehbouni, A.; Epule, T.E. Evaluation of the Performance of Multi-Source Satellite Products in Simulating Observed Precipitation over the Tensift Basin in Morocco. Remote Sens. 2022, 14, 1171. [Google Scholar] [CrossRef]
- Saidi, M.E. Genèse et Propagation Des Crues En Milieu Sub-Aride : Exemple de l’Oued Souss (Maroc) (Flood’s Genesis and Propagation in Sub-Arid Environment as Exemplified by Oued Souss (Morrocco)). Bull. Assoc. Geogr. Fr. 1994, 71, 94–111. [Google Scholar] [CrossRef]
- Oulghazi, A.; Ennassiri, B.; El-amrani, A. Crues Torrentielles de l’ Oued Aouerga Dans La Commune Ouled Dahhou: Mécanismes, Impact et Mesures d’ Aménagement (Maroc). J. Afr. Stud. Nile Basin 2022, 14, 289–306. [Google Scholar]
- Azedou, A.; Khattabi, A.; Lahssini, S. Characterizing Fluvial Geomorphological Change Using Google Earth Engine (GEE) to Support Sustainable Flood Management in the Rural Municipality of El Faid. Arab. J. Geosci. 2022, 15, 413. [Google Scholar] [CrossRef]
- Souss Massa Hydraulic Basin Agency (ABHSM). Etude de Modélisation de L’impact des Changements Climatiques sur les Ressources en Eau au Niveau du Bassin Hydraulique de Sous Massa; Unpublished internal document of ABHSM; ABHSM: Agadir, Morocco, 2019. [Google Scholar]
- Attar, O.; Brouziyne, Y.; Bouchaou, L.; Chehbouni, A. A Critical Review of Studies on Water Resources in the Souss-Massa Basin, Morocco: Envisioning a Water Research Agenda for Local Sustainable Development. Water 2022, 14, 1355. [Google Scholar] [CrossRef]
- Seif-Ennasr, M.; Zaaboul, R.; Hirich, A.; Caroletti, G.N.; Bouchaou, L.; El Morjani, Z.E.A.; Beraaouz, E.H.; McDonnell, R.A.; Choukr-Allah, R. Climate Change and Adaptive Water Management Measures in Chtouka Aït Baha Region (Morocco). Sci. Total Environ. 2016, 573, 862–875. [Google Scholar] [CrossRef]
- Bai, L.; Shi, C.; Li, L.; Yang, Y.; Wu, J. Accuracy of CHIRPS Satellite-Rainfall Products Over. Remote Sens. 2018, 10, 362. [Google Scholar] [CrossRef]
- Abahous, H.; Sifeddine, A.; Bouchaou, L.; Ronchail, J.; EL Morjani, Z.E.A.A.; Yassine, A.B.; Kenny, L. Inter-Annual Variability of Precipitation in the Souss Massa Region and Linkage of the North Atlantic Oscillation. J. Mater. Environ. Sci. 2017, 9, 2023–2031. [Google Scholar]
- Ait Brahim, Y.; Seif-Ennasr, M.; Malki, M.; N’da, B.; Choukrallah, R.; El Morjani, Z.E.A.; Sifeddine, A.; Abahous, H.; Bouchaou, L. Assessment of Climate and Land Use Changes: Impacts on Groundwater Resources in the Souss-Massa River Basin. In The Handbook of Environmental Chemistry; Springer: Cham, Switzerland, 2017; Volume 53, pp. 121–142. [Google Scholar] [CrossRef]
- Mostakim, L.; El Qorchi, F.; Guennoun, F.Z.; Moutaouakil, S.; Berger, E.; Ghamizi, M. Morphometric Assessment of Two Watersheds of High Atlas of Morocco Using Remote Sensing and GIS Techniques: What Is the Impact on Surface Water Availability? J. Geogr. Inf. Syst. 2021, 13, 631–642. [Google Scholar] [CrossRef]
- Agoussine, M.; El, M.; Saidi, M.; Igmoullan, B. Reconnaissance Des Ressources En Eau Du Bassin d’ Ouarzazate(Sud-Est Marocain). Bull. Inst. Sci. Rabat Sect. Sci. Terre 2004, 26, 81–92. [Google Scholar]
- Draa Oued Noun Hydraulic Basin Agency (ABHDON). Etude de Modélisation de l’impact des Changements Climatiques sur les Ressources en Eau au Niveau des Bassins de Draa Oued Noune; Unpublished internal document of ABHDON; ABHDON: Guelmim, Morocco, 2018. [Google Scholar]
- Zhanming, W.; Ke, Z.; Xianwu, X.; Hong, Z.; Yang, H.; Jonathan, J.G. Water Balance-Based Actual Evapotranspiration Reconstructionfrom Ground and Satellite Observations over the ConterminousUnited States. Water Resour. Res. 2015, 64, 929. [Google Scholar] [CrossRef]
- Hou, A.Y.; Kakar, R.K.; Neeck, S.; Azarbarzin, A.A.; Kummerow, C.D.; Kojima, M.; Oki, R.; Nakamura, K.; Iguchi, T. The Global Precipitation Measurement Mission. Bull. Am. Meteorol. Soc. 2014, 95, 701–722. [Google Scholar] [CrossRef]
- Hsu, K.L.; Gao, X.; Sorooshian, S.; Gupta, H.V. Precipitation Estimation from Remotely Sensed Information Using Artificial Neural Networks. J. Appl. Meteorol. 1997, 36, 1176–1190. [Google Scholar] [CrossRef]
- Hong, Y.; Hsu, K.L.; Sorooshian, S.; Gao, X. Precipitation Estimation from Remotely Sensed Imagery Using an Artificial Neural Network Cloud Classification System. J. Appl. Meteorol. 2004, 43, 1834–1852. [Google Scholar] [CrossRef]
- Ashouri, H.; Hsu, K.L.; Sorooshian, S.; Braithwaite, D.K.; Knapp, K.R.; Cecil, L.D.; Nelson, B.R.; Prat, O.P. PERSIANN-CDR: Daily Precipitation Climate Data Record from Multisatellite Observations for Hydrological and Climate Studies. Bull. Am. Meteorol. Soc. 2015, 96, 69–83. [Google Scholar] [CrossRef]
- Sadeghi, M.; Nguyen, P.; Naeini, M.R.; Hsu, K.; Braithwaite, D.; Sorooshian, S. PERSIANN-CCS-CDR, a 3-Hourly 0.04° Global Precipitation Climate Data Record for Heavy Precipitation Studies. Sci. Data 2021, 8, 157. [Google Scholar] [CrossRef]
- Nguyen, P.; Ombadi, M.; Gorooh, V.A.; Shearer, E.J.; Sadeghi, M.; Sorooshian, S.; Hsu, K.; Bolvin, D.; Ralph, M.F. Persiann Dynamic Infrared–Rain Rate (PDIR-Now): A near-Real-Time, Quasi-Global Satellite Precipitation Dataset. J. Hydrometeorol. 2020, 21, 2893–2906. [Google Scholar] [CrossRef]
- Nguyen, P.; Shearer, E.J.; Tran, H.; Ombadi, M.; Hayatbini, N.; Palacios, T.; Huynh, P.; Braithwaite, D.; Updegraff, G.; Hsu, K. The CHRS Data Portal, an Easily Accessible Public Repository for PERSIANN Global Satellite Precipitation Data. Sci. Data 2019, 6, 180296. [Google Scholar] [CrossRef] [PubMed]
- Funk, C.; Peterson, P.J.; Landsfeld, M.F.; Pedreros, D.H.; Verdin, J.P.; Rowland, J.D.; Romero, B.E.; Husak, G.J.; Michaelsen, J.C.; Verdin, A.P. A Quasi-Global Precipitation Time Series for Drought Monitoring. U.S. Geol. Surv. Data Ser. 2014, 832, 4. [Google Scholar]
- Diem, J.E.; Hartter, J.; Ryan, S.J.; Palace, M.W. Validation of Satellite Rainfall Products for Western Uganda. J. Hydrometeorol. 2014, 15, 2030–2038. [Google Scholar] [CrossRef]
- Gebere, S.B.; Alamirew, T.; Merkel, B.J.; Melesse, A.M. Performance of High Resolution Satellite Rainfall Products over Data Scarce Parts of Eastern Ethiopia. Remote Sens. 2015, 7, 11639–11663. [Google Scholar] [CrossRef]
- Zhou, Z.; Guo, B.; Xing, W.; Zhou, J.; Xu, F.; Xu, Y. Comprehensive Evaluation of Latest GPM Era IMERG and GSMaP Precipitation Products over Mainland China. Atmos. Res. 2020, 246, 105132. [Google Scholar] [CrossRef]
- Jiang, S.H.; Zhou, M.; Ren, L.L.; Cheng, X.R.; Zhang, P.U. Evaluation of Latest TMPA and CMORPH Satellite Precipitation Products over Yellow River Basin. Water Sci. Eng. 2016, 9, 87–96. [Google Scholar] [CrossRef]
- Li, J.; Heap, A.D. A Review of Spatial Interpolation Methods for Environmental Scientists. Aust. Geol. Surv. Organ. 2008, 68, 154. Available online: https://planet.uwc.ac.za/nisl/BCB_BIM_honours/Course_Documents_2016/Spatial_Interpolation_statistics_methods.pdf (accessed on 15 June 2022).
- Scheel, M.L.M.; Rohrer, M.; Huggel, C.; Santos Villar, D.; Silvestre, E.; Huffman, G.J. Evaluation of TRMM Multi-Satellite Precipitation Analysis (TMPA) Performance in the Central Andes Region and Its Dependency on Spatial and Temporal Resolution. Hydrol. Earth Syst. Sci. 2011, 15, 2649–2663. [Google Scholar] [CrossRef]
- Satgé, F.; Bonnet, M.P.; Gosset, M.; Molina, J.; Hernan Yuque Lima, W.; Pillco Zolá, R.; Timouk, F.; Garnier, J. Assessment of Satellite Rainfall Products over the Andean Plateau. Atmos. Res. 2016, 167, 1–14. [Google Scholar] [CrossRef]
- Tan, M.L.; Samat, N.; Chan, N.W.; Roy, R. Hydro-Meteorological Assessment of Three GPM Satellite Precipitation Products in the Kelantan River Basin, Malaysia. Remote Sens. 2018, 10, 1011. [Google Scholar] [CrossRef]
- Beck, H.E.; Vergopolan, N.; Pan, M.; Levizzani, V.; van Dijk, A.I.J.M.; Weedon, G.P.; Brocca, L.; Pappenberger, F.; Huffman, G.J.; Wood, E.F. Global-Scale Evaluation of 22 Precipitation Datasets Using Gauge Observations and Hydrological Modeling. Adv. Glob. Chang. Res. 2017, 69, 625–653. [Google Scholar] [CrossRef]
- Ghozat, A.; Sharafati, A.; Hosseini, S.A. Long-Term Spatiotemporal Evaluation of CHIRPS Satellite Precipitation Product over Different Climatic Regions of Iran. Theor. Appl. Climatol. 2020, 143, 211–225. [Google Scholar] [CrossRef]
- Saeedi, M.; Sharafati, A.; Brocca, L.; Tavakol, A. Estimating Rainfall Depth from Satellite-Based Soil Moisture Data: A New Algorithm by Integrating SM2RAIN and the Analytical Net Water Flux Models. J. Hydrol. 2022, 610, 127868. [Google Scholar] [CrossRef]
- Wilks, D.S. Statistical Methods in the Atmospheric Sciences; Academic Press: Cambridge, MA, USA, 2011; Volume 100, ISBN 9780127519661. [Google Scholar]
- Li, J.; Heap, A.D. A Review of Comparative Studies of Spatial Interpolation Methods in Environmental Sciences: Performance and Impact Factors. Ecol. Inform. 2011, 6, 228–241. [Google Scholar] [CrossRef]
- Willmott, C.J.; Matsuura, K. Advantages of the Mean Absolute Error (MAE) over the Root Mean Square Error (RMSE) in Assessing Average Model Performance. Clim. Res. 2005, 30, 79–82. [Google Scholar] [CrossRef]
- Chai, T.; Draxler, R.R. Root Mean Square Error (RMSE) or Mean Absolute Error (MAE)?—Arguments against Avoiding RMSE in the Literature. Geosci. Model Dev. 2014, 7, 1247–1250. [Google Scholar] [CrossRef]
- Polong, F.; Pham, Q.B.; Anh, D.T.; Rahman, K.U.; Shahid, M.; Alharbi, R.S. Evaluation and Comparison of Four Satellite-Based Precipitation Products over the Upper Tana River Basin. Int. J. Environ. Sci. Technol. 2022, 3942, 1–16. [Google Scholar] [CrossRef]
- Tian, Y.; Peters-Lidard, C.D.; Choudhury, B.J.; Garcia, M. Multitemporal Analysis of TRMM-Based Satellite Precipitation Products for Land Data Assimilation Applications. J. Hydrometeorol. 2007, 8, 1165–1183. [Google Scholar] [CrossRef]
- Yong, B.; Chen, B.; Tian, Y.; Yu, Z.; Hong, Y. Error-Component Analysis of TRMM-Based Multi-Satellite Precipitation Estimates over Mainland China. Remote Sens. 2016, 8, 440. [Google Scholar] [CrossRef]
- WMO (World Meteorological Organization). Guide to Meteorological Instruments and Methods of Observation (WMO-8, Updated 2018); WMO: Geneva, Switzerland, 2014; ISBN 9789263100085. [Google Scholar]
- Mahmoud, M.T.; Al-zahrani, M.A.; Sharif, H.O. Assessment of Global Precipitation Measurement Satellite Products over Saudi Arabia. J. Hydrol. 2018, 559, 1–12. [Google Scholar] [CrossRef]
- Mahmoud, M.; Mohammed, S.; Hamouda, M.; Mohamed, M. Temporal Assessment of the GPM Satellite Rainfall Products across Extremely Arid Regions Temporal Assessment of the GPM Satellite Rainfall Products across Extremely Arid Regions. E3S Web Conf. 2020, 167, 6. [Google Scholar] [CrossRef]
- Keikhosravi-Kiany, M.S.; Masoodian, S.A.; Balling, R.C.; Darand, M. Evaluation of Tropical Rainfall Measuring Mission, Integrated Multi-Satellite Retrievals for GPM, Climate Hazards Centre InfraRed Precipitation with Station Data, and European Centre for Medium-Range Weather Forecasts Reanalysis v5 Data in Estimating Prec. Int. J. Climatol. 2022, 42, 2039–2064. [Google Scholar] [CrossRef]
- Leong, M.; Santo, H. Comparison of GPM IMERG, TMPA 3B42 and PERSIANN-CDR Satellite Precipitation Products over Malaysia. Atmos. Res. 2018, 202, 63–76. [Google Scholar] [CrossRef]
- Anjum, M.N.; Ding, Y.; Shangguan, D.; Ahmad, I.; Ijaz, M.W.; Farid, H.U.; Yagoub, E.; Zaman, M.; Adnan, M. Performance Evaluation of Latest Integrated Multi-Satellite Retrievals for Global Precipitation Measurement (IMERG) over the Northern Highlands of Pakistan. Atmos. Res. 2018, 205, 134–146. [Google Scholar] [CrossRef]
- Dinku, T.; Ceccato, P.; Connor, S.J. Challenges of Satellite Rainfall Estimation over Mountainous and Arid Parts of East Africa. Int. J. Remote Sens. 2011, 32, 5965–5979. [Google Scholar] [CrossRef]
- Toté, C.; Patricio, D.; Boogaard, H.; Van Der Wijngaart, R.; Tarnavsky, E.; Funk, C. Evaluation of Satellite Rainfall Estimates for Drought and Flood Monitoring in Mozambique. Remote Sens. 2015, 7, 1758–1776. [Google Scholar] [CrossRef]
- Wang, N.; Liu, C.; Nesdis, N.; Park, C.; Zipser, E. TRMM 2A12 Land Precipitation Product—Status and Future Plans. J. Meteorol. Soc. Jpn. 2009, 87, 237–253. [Google Scholar] [CrossRef]
- Gadouali, F.; Messouli, M. Evaluation of Multiple Satellite-Derived Rainfall Products over Morocco. Hydrol. Sci. Technol. 2020, 10, 72–89. [Google Scholar] [CrossRef]
- Ouatiki, H.; Boudhar, A.; Tramblay, Y.; Jarlan, L.; Benabdelouhab, T.; Hanich, L.; El Meslouhi, M.R.; Chehbouni, A. Evaluation of TRMM 3B42 V7 Rainfall Product over the Oum Er Rbia Watershed in Morocco. Climate 2017, 5, 1. [Google Scholar] [CrossRef]
- Habitou, N.; Morabbi, A.; Ouazar, D.; Bouziane, A.; Hasnaoui, M.D.; Sabri, H. CHIRPS Precipitation Open Data for Drought Monitoring: Application to the Tensift Basin, Morocco. J. Appl. Remote Sens. 2022, 14, 034526. [Google Scholar] [CrossRef]
- Alsumaiti, T.S.; Hussein, K.; Ghebreyesus, D.T.; Sharif, H.O. Performance of the CMORPH and GPM IMERG Products over the United Arab Emirates. Remote Sens. 2020, 12, 1426. [Google Scholar] [CrossRef]
- Zambrano-Bigiarini, M.; Nauditt, A.; Birkel, C.; Verbist, K.; Ribbe, L. Temporal and Spatial Evaluation of Satellite-Based Rainfall Estimates across the Complex Topographical and Climatic Gradients of Chile. Hydrol. Earth Syst. Sci. 2017, 21, 1295–1320. [Google Scholar] [CrossRef]
- Hossain, F.; Huffman, G. Investigating Error Metrics for Satellite Rainfall Data at Hydrologically Relevant Scales. J. Hydrometeorol. 2008, 9, 563–575. [Google Scholar] [CrossRef]










| ABHSM | ABHDON | ||||||||||
|---|---|---|---|---|---|---|---|---|---|---|---|
| Stations | ID | Long | Lat | Z (m) | Missing Values (%) | Stations | ID | Long | Lat | Z (m) | Missing Values (%) |
| ABHSM | S1 | −9.59° W | 30.42° N | 28 | 5.04 | IFNI | D1 | −10.16° W | 29.37° N | 20 | 10.8 |
| Imi Miki | S2 | −9.65° W | 30.52° N | 40 | 0.63 | Mansour Eddahbi | D2 | −6.78° W | 30.91° N | 1100 | 5.35 |
| Tamri | S3 | −9.81° W | 30.71° N | 42 | 0.12 | Ouarzazate Centre | D3 | −6.90° W | 30.93° N | 1130 | 0.99 |
| Youssef Ben Tachafine | S4 | −9.49° W | 29.85° N | 107 | 2.41 | Tinouar | D4 | −6.61° W | 31.01° N | 1136 | 2.42 |
| Ouijjane | S5 | −9.51° W | 29.61° N | 180 | 2.14 | Tiflite | D5 | −6.80° W | 31.01° N | 1168 | 0.52 |
| N’guerf | S6 | −9.28° W | 29.87° N | 190 | 1.56 | Aman-Ntini | D6 | −7.04° W | 30.95° N | 1170 | 1.05 |
| Pont Taroudant | S7 | −8.90° W | 30.43° N | 209 | 1.53 | Agouillal | D7 | −7.10° W | 31.01° N | 1220 | 1.72 |
| Dkhila | S8 | −9.28° W | 30.57° N | 312 | 2.01 | Taherbilte | D8 | −6.95° W | 30.83° N | 1226 | 0.93 |
| Imi El Kheng | S9 | −8.53° W | 30.67° N | 539 | 1.04 | Ifre | D9 | −6.18° W | 31.34° N | 1498 | 16.87 |
| Amaghouz | S10 | −9.19° W | 29.73° N | 610 | 0.11 | Imdghar N’izdar | D10 | −7.34° W | 30.61° N | 1502 | 0.94 |
| Tassila | S11 | −9.44° W | 30.95° N | 620 | 2.98 | Ait Mouted | D11 | −6.00° W | 31.43° N | 1545 | 2.64 |
| Abdelmoumen | S12 | −9.20° W | 30.68° N | 628 | 0.96 | Agouim | D12 | −7.46° W | 31.16° N | 1647 | 6.53 |
| Lamded | S13 | −8.31° W | 30.76° N | 670 | 8.01 | M’semrir | D13 | −5.81° W | 31.71° N | 1942 | 11.29 |
| Pont Aoulouz | S14 | −8.16° W | 30.70° N | 680 | 7.19 | ||||||
| Aguenza | S15 | −9.16° W | 30.74° N | 720 | 1.34 | ||||||
| Aoulouz | S16 | −8.14° W | 30.70° N | 784 | 7.64 | ||||||
| Amsoul | S17 | −9.07° W | 30.84° N | 860 | 2.67 | ||||||
| Immerguen | S18 | −8.02° W | 30.60° N | 925 | 5.72 | ||||||
| Taliouine | S19 | −7.91° W | 30.53° N | 1000 | 9.12 | ||||||
| Iguidi | S20 | −7.90° W | 30.84° N | 1200 | 5.56 | ||||||
| Product | Denoted as | Spatial Resolution | Finest Temporal Resolution | Spatial Coverage | Latency | Period |
|---|---|---|---|---|---|---|
| GPM IMERG-Early V06 | GPM-E | 0.1° × 0.1° | 30 min | 60° N–60° S | 4 h | June 2000–Now |
| GPM IMERG-Late V06 | GPM-L | 0.1° × 0.1° | 30 min | 60° N–60° S | 14 h | June 2000–Now |
| GPM IMERG-Final V06 | GPM-F | 0.1° × 0.1° | 30 min | 60° N–60° S | 3.5 months | June 2000–Now |
| PDIR-Now | PDIR | 0.04° × 0.04° | 1 h | 60° N–60° S | 15–60 min | March 2000–Now |
| PERSIANN-CCS-CDR | CCS-CDR | 0.04° × 0.04° | 3 h | 60° N–60° S | 3–3.5 months | January 1983–Now |
| CHIRPS v2.0 | CHIRPS | 0.05 ° × 0.05 ° | 1 day | 50° N–50° S | 3 weeks | January 1981–Now |
| Statistical Index | Formula | Range | Optimum Value | |
|---|---|---|---|---|
| Continuous metrics | Correlation coefficient | −1 to 1 | 1 | |
| Relative bias | 0 to + ∞ | 0 | ||
| Relative root mean square error | 0 to + ∞ | 0 | ||
| Relative mean absolute error | 0 à + ∞ | 0 | ||
| Categorical metrics | Probability of Detection | 0 to 1 | 1 | |
| False alarm ratio | 0 to 1 | 0 | ||
| Critical success index | 0 to 1 | 1 | ||
| Observation | |||
| Yes | No | ||
| Satellite Product | Yes | A: Hits | B: False |
| No | C: Misses | D: Rejection | |
| Rainfall Event | Intensity in mm/d |
|---|---|
| Light rain | [0, 1] |
| Moderate rain | [1, 5] |
| Medium rain | [5, 20] |
| Heavy rain | [20, 40] |
| Extreme rain | ≥40 |
Publisher’s Note: MDPI stays neutral with regard to jurisdictional claims in published maps and institutional affiliations. |
© 2022 by the authors. Licensee MDPI, Basel, Switzerland. This article is an open access article distributed under the terms and conditions of the Creative Commons Attribution (CC BY) license (https://creativecommons.org/licenses/by/4.0/).
Share and Cite
Rachdane, M.; Khalki, E.M.E.; Saidi, M.E.; Nehmadou, M.; Ahbari, A.; Tramblay, Y. Comparison of High-Resolution Satellite Precipitation Products in Sub-Saharan Morocco. Water 2022, 14, 3336. https://doi.org/10.3390/w14203336
Rachdane M, Khalki EME, Saidi ME, Nehmadou M, Ahbari A, Tramblay Y. Comparison of High-Resolution Satellite Precipitation Products in Sub-Saharan Morocco. Water. 2022; 14(20):3336. https://doi.org/10.3390/w14203336
Chicago/Turabian StyleRachdane, Mariame, El Mahdi El Khalki, Mohamed Elmehdi Saidi, Mohamed Nehmadou, Abdellatif Ahbari, and Yves Tramblay. 2022. "Comparison of High-Resolution Satellite Precipitation Products in Sub-Saharan Morocco" Water 14, no. 20: 3336. https://doi.org/10.3390/w14203336
APA StyleRachdane, M., Khalki, E. M. E., Saidi, M. E., Nehmadou, M., Ahbari, A., & Tramblay, Y. (2022). Comparison of High-Resolution Satellite Precipitation Products in Sub-Saharan Morocco. Water, 14(20), 3336. https://doi.org/10.3390/w14203336

