Next Article in Journal
Geographical Preference for Installation of Solar Still Water Desalination Technologies in Iran: An Analytical Hierarchy Process (AHP)-Based Answer
Previous Article in Journal
Scaling Up from Leaf to Whole-Plant Level for Water Use Efficiency Estimates Based on Stomatal and Mesophyll Behaviour in Platycladus orientalis
 
 
Font Type:
Arial Georgia Verdana
Font Size:
Aa Aa Aa
Line Spacing:
Column Width:
Background:
Article

Optimal Allocation Model for Water Resources Coupled with Ecological Value Factors—A Case Study of Dalian, China

1
College of Safety and Environmental Engineering, Shandong University of Science and Technology, Qingdao 166590, China
2
College of the Environment, Beijing Normal University, Beijing 100091, China
*
Authors to whom correspondence should be addressed.
Water 2022, 14(2), 266; https://doi.org/10.3390/w14020266
Submission received: 14 December 2021 / Revised: 13 January 2022 / Accepted: 15 January 2022 / Published: 17 January 2022
(This article belongs to the Topic Water Management in the Era of Climatic Change)

Abstract

:
The surface water ecosystem has important ecological value and plays an important supporting and guarantee role in the sustainable development of human society. In this study, an inexact two-stage stochastic programming (ITSP) model was developed for supporting water resource allocation for the four main water sectors (industry, municipal, agriculture, and ecological environment). Several scenarios corresponding to different flow patterns, which reflect different probabilities of water resource availability and environmental carrying capacity, were examined. On the basis of traditional water resource allocation, this model adds consideration of ecological value factors, which is conducive to the synergistic efficiency of socio-economic and ecological water consumption. Results revealed that the water resource carrying capacity, ecological value factors, and water environmental capacity are the main factors affecting the optimal allocation of water resources. Furthermore, the optimal allocation scheme for water resources coupled with ecological value factors were determined to realize the coordinated development of social economic benefits and ecological benefits. The current study findings are of great significance for establishing a rational water resource management system for water resource exploitation and utilization. This model can be used to guide various departments in Dalian to formulate an optimal water resources allocation scheme by considering ecological value factors, and provide a basis for realizing the coordinated development of Dalian’s socio-economic development goals, water resource utilization, and environmental quality improvement.

1. Introduction

Water resources are the lifeline of social progress and economic development. However, in today’s world, social development and progress, population expansion, and over-exploitation of water resources have caused a shortage of fresh water resources [1]. The optimal allocation of water resources is an important means to coordinate the relationship between supply and demand of water resources, improve the utilization of water resources, and coordinate the conflicts among water consuming departments, particularly in areas with water shortages [2,3,4]. Therefore, it is necessary to optimize the allocation of water resources in water-scarce areas. With the increasing demand for water quality improvement, water demand has become important for regional water resource optimization and allocation [5,6]. However, the value created by the water ecosystem cannot be presented intuitively, the conventional optimal allocation of urban water resources pays more attention to the economic output of water consumption and does not fully consider the ecological value, which is not conducive to the synergistic efficiency of socio-economic and ecological water consumption. Therefore, it is necessary to increase the direct consideration of ecological value factors while considering the optimal allocation of water resources. In addition, there are many uncertainties in the optimal allocation of water resources, such as variable availability of water resources, demand, and development of water treatment technologies, which make it difficult to select the optimal allocation method. Therefore, under the background of promoting the construction of urban ecological civilization, the optimal allocation of water resources presents challenges in coordinating the ecological value and dealing with various uncertain factors [7].
Interval-parameter programming, fuzzy programming, and stochastic programming are common methods for water resources allocation under uncertainty [8,9,10,11,12]. For example, Huang and Locks [13] were the first to propose the inexact two-stage stochastic programming (ITSP) to deal with uncertain information in interval-valued and random variable representations. Under the framework of the ITSP method, various advanced models are proposed and applied to water resources management [14]. Maqsood [15] presented an interval-parameter fuzzy two-stage stochastic programming (IFTSP) method for the planning of water resource management systems under uncertainty; Li et al. [16] selected an interval-fuzzy two-stage stochastic quadratic programming model with the objective of maximum benefits to have the best irrigation water allocation scheme. Xie [13] developed an inexact, two-stage, water resources management model for multi-regional water resources planning in the Nansi Lake Basin, China. In the ITSP, an initial decision is made before the random events. After future uncertainties are resolved and the values of the random variables are revealed, a second decision is made that minimizes penalties due to any infeasibilities [17]. It can be seen that ITSP is an effective method for optimal allocation of water resources under uncertain conditions.
As the leading revitalization and famous coastal industrial city in Northeast China, Dalian lacks freshwater resources. With the development of the urban social economy and the improvement of the ecosystem, the demand for water resources continues to grow rapidly and presents intensified competition. It is difficult to coordinate water use among industrial, municipal, and ecological environment sectors [18]. Under the overall objective of coordinating urban social and economic development and improving the living environment, this study intended to reflect different probabilities of water resource availability and environmental carrying capacity in different flow scenarios. An ITSP model was constructed by coupling the ecological value factors, which was more comprehensively considering the impact of ecological value factors on the optimal allocation results of water resources. The four major urban water departments in Dalian, including the industry, urban community, agriculture, and ecological environment, were studied to discuss the optimal allocation mode and method for urban water resources, coordinate the needs and value factors for the improvement of the ecosystem, and realize the coordinated development of ecological value and social and economic benefits.
Therefore, aiming at the dual constraints of water resource shortage and water environment quality and based on the principle of achieving the coordination of ecological value and social and economic benefits, a general framework for establishing an ITSP for the optimal allocation of water resources in Dalian under uncertain conditions is proposed (Figure 1). The model considers constraints such as ecological area and water consumption, as well as available water resources and water environment capacity, and combines ecological value benefits with water resource management to provide Dalian with a relatively reasonable water resource allocation plan. Our study findings are of great significance for establishing a rational water resource management system for water resource exploitation and utilization, as well as water ecosystem protection, and provide a basis for realizing the coordinated development of Dalian’s socio-economic development goals, water resource utilization, and environmental quality improvement.

2. Study Area and Division of Integrated Zones

Dalian covers 43,014 km2, of which 13,739 km2 is land. The city’s multi-year average total water resources are 3.14 × 109 m3, of which surface water resources are 3.05 × 109 m3, and the regional distribution, as well as inter- and intra-annual changes in the runoff in each basin, are extremely uneven, making it a water-poor area [19]. There are more than 300 rivers in the urban area, which are divided into the river systems along the Yellow Sea in eastern Liaodong and the river systems along the Bohai Sea in the eastern Liaodong Bay. There are 57 rivers that flow into the sea, along with a catchment area of more than 2.00 × 107 m2 [20]. There are 69 reservoirs of various types, with a total annual storage capacity of 1.32 × 109 m3, of which 22 are the main drinking water sources. Dalian is rich in wetland resources, with a total area of about 3.58 × 109 m2, including 2.42 × 109 m2 of offshore and coastal wetlands, 1.04 × 109 m2 of artificial (coastal) wetlands, 1.15 × 108 m2 of river wetlands, and 3.00 × 108 m2 of marsh wetlands.
Figure 2 shows the geographical position and study regions of Dalian. To reflect different water environmental functions and water resource utilization in terms of time and space, the study area was divided into 37 integrated zones (i = 1–37 represent I, II, III, IV, V, VI, VII, VIII, IX, X, XI, XII, XIII, XIV, XV, XVI, XVII, XVIII, XIX, XX, XXI, XXII, XXIII, XXIV, XXV, XXVI, XXVII, XXVIII, XXIX, XXX, XXXI, XXXII, XXXIII, XXXIV, XXXV, XXXVI, and XXXVII) and six administrative regions (i = 1–6 represent four districts (Xigang, Shahekou, Ganjingzi, and Zhongshan), as well as Lvshunkou, Jinpu, Wafangdian, Pulandian, and Zhuanghe). Figure 3 shows the relationship between regional pollutant emissions and water distribution, including pollutant emission directions and proportions. The values show the proportion of pollutant emissions generated from region j and discharged into the water environment zone i.

3. Model Formulation

3.1. Model Development

It is often necessary to combine two-stage stochastic programming (TSP) [21] with Interval Linear Programming (ILP) to deal with uncertain factors in practical problems. Using the maximization problem as an example, the ILP is combined with the TSP to obtain the interval two-stage stochastic optimization model (ITSP), which can be expressed as:
max f ± = c ± x ± s = 1 N p s q ( y ± , ω s ± )
and
A ± x ± b ±
T ( ω s ± ) x ± + W ( ω s ± ) y ± = h ( ω s ± )
x ± 0 ,   y ( ω s ± ) 0
Model 1 can be solved by transforming into sub-models of upper bound and lower bound objective functions through an interactive algorithm [14]. Then, the optimal solutions for Model 3 can be obtained as f jopt ± = [ f jopt , f jopt + ] , x jopt ± = [ x jopt , x jopt + ] and y lsopt ± = [ y lsopt , y lsopt + ] . For more details, refer to [14,22].
The research planning period will last until 2035 and will be divided into three phases: 2021–2025 (phase I), 2026–2030 (phase II), and 2031–2035 (phase III). Three flow scenarios are designed as low, medium, and high, reflecting different probabilities of water resource availability and environmental carrying capacity with different flow scenarios. The ecosystem is a prerequisite for economic and social development, and the ecological value needs to be taken into account while optimizing the allocation of water resources to achieve synergy between ecological and water use benefits. Model ecological benefits primarily include the value of ecosystem-regulating services, which can be defined as the sum of the value of ecosystems for sustainable economic and social development and human well-being [23]. This study considers four main values of water ecosystem regulation services: water purification value, hydrological regulation value, water conservation value, and research and cultural value. In the model, the difficulty of clarifying parameters, such as the number of surface water resources and water consumption quota in Dalian, can be expressed in discrete intervals based on their maximum and minimum values. The ITSP model of Dalian coupled with ecological value factors can be formulated as follows:
max f ± = f 1 ± + f 2 ± f 3 ± f 3 ± f 4 ± f 4 ± f 5 ±
where f ± is the total expected system benefit (104 CNY) over the planning periods.
(1) Sectors of water utilization benefits:
f 1 ± = j = 1 6 k = 1 3 t = 1 3 L t U N B jkt ± ( I A W j k t ± + R W j k t ± )
where j denotes the administrative region; k is the water use sectors (k = 1 for industry, k = 2 for municipal, k = 3 for agriculture, and k = 4 for the ecological environment); t is different periods in the planning horizon (t = 1 is phase I, t = 2 is phase II, and t = 3 is phase III); Lt is the length of period, which is fixed at 5 years; U N B j k t ± represents water-use benefit (104 CNY/104 m3); I A W j k t ± represents the initial allocation of water resources (104 m3/year); R W j k t ± represents the reused water usage (104 m3/year).
(2) Ecological benefits:
f 2 ± = t = 1 3 m = 1 4 C 1 L t A m t ± + t = 1 3 L t C 2 ( m = 1 4 A m t ± D + n = 1 24 S n t ± Z ) + t = 1 3 m = 1 4 L t C 2 A m t ± V m t ± + t = 1 3 L t ( m = 1 4 A m t ± + n = 1 24 S n t ± ) C 3
where m denotes types of wetland (m = 1–4 for riverine, coastal, marsh, and constructed wetlands, respectively), and n represents types of river (n = 1–24 for Biliu, Fuzhou, Dasha, Yingna, Zhuanghe, Huli, Diyin, Xiaosi, Geli, Zanzi, Qingshui, Anzi, Weitao, Yongning, Fudu, Langu, Dengsha, Sanshili, Shihe, Qingyun, Beida, Xiaogushan, Muchengyi, and Malan rivers, respectively). C1 is the scientific and cultural value of wetlands per m2, which is 0.382 CNY/m2. A m t ± and S n t ± denote wetland and river areas (104 m2), respectively. C2 represents the cost of the reservoir project, which is 0.67 CNY/m3. C3 is the value of wetland and water body degrading pollution, taking 2.81 CNY/m2. Z represents the normal water level in the study region, which is 2.5 m. D is the maximum water storage difference, which is 2 m.
(3) Sectors of water shortage penalty:
f 3 ± = j = 1 6 k = 1 3 t = 1 3 h = 1 3 L t p h P N B j k t ± D W j k t h ±
where h represents various runoff scenarios in every period (h = 1 is low scenarios, h = 2 is medium scenarios, h = 3 is high scenarios); Ph denotes the occurrence probability of scenario h; P N B j k t ± represents the reduction of net benefit to sector k per unit of water resource not delivered (104 CNY/104 m3); D W j k t h ± is the allocation deficit of the surface water environment of Dalian that does not meet the initial water resource quotas of sector k during period t in region j under scenario h (104 m3/year).
(4) Penalty for lack of ecological water:
f 3 ± = t = 1 3 h = 1 3 L t p h ( m = 1 4 D A m t ± + n = 1 24 D S n t ± ) P N A t ±
where D A m t ± and D S n t ± represent the missing area of various types of wetlands and rivers that did not meet the ecological requirements during period t (104 m2/year). P N A t ± is the water deficit loss in the ecosystem water department during period t (104 CNY/104 m2).
(5) Sectors of water supply cost:
f 4 ± = j = 1 6 k = 1 3 t = 1 3 L t ( I A W j k t ± h = 1 3 p h D W j k t h ± ) C W j k t ± + j = 1 6 k = 1 3 t = 1 3 L t R W j k t ± C R W j k t ±
where C W j k t ± represents the costs of water supply (104 CNY/104 m3); and C R W j k t ± is the cost of reused water supply (104 CNY/104 m3).
(6) Ecological water use cost:
f 4 ± = t = 1 3 L t ( m = 1 4 ( A m t ± D A m t ± ) + n = 1 24 ( S n t ± D S n t ± ) ) S C W t ±
where S C W t ± is the cost of water resources in the eco-environmental water department in period t (104 CNY/104 m2).
(7) Wastewater treatment cost:
f 5 ± = j = 1 6 k = 1 4 t = 1 3 L t ( I A W j k t ± h = 1 3 p h D W j k t h ± + R W j k t ± ) α j k t C W W j k t ±
where C W W j k t ± represents the costs of wastewater treatment (104 CNY/104 m3); and α j k t represents the wastewater emission coefficient.
Subject to:
(1) Water supply constraints:
k = 1 3 ( I A W j k t ± D W j k t h ± ) A W Q t h ± ; t , h
D W j k t h ± I A W j k t ± ; j , k , t , h
where A W Q t h ± represents available water resources in Dalian (104 m3/year).
(2) Demand constraints of water use sectors:
I A W j k t ± D W j k t h ± + R W j k t ± W D min     j k t ± ; j , k , t , h
I A W j k t ± D W j k t h ± + R W j k t ± W D max     j k t ± ; j , k , t , h
where W D min j k t ± and W D max j k t ± represent the minimum and maximum water resources requirement, respectively (104 m3/year).
(3) Regional wastewater treatment capacity constraints:
k = 1 2 ( I A W j k t ± D W j k t h ± + R W j k t ± ) α j k t A T W j k t ± , j , k , t , h
where A T W j k t ± represents the wastewater treatment capacity (104 tons/year).
(4) Regional wastewater reuse capacity constraints:
k = 1 2 ( I A W j k t ± D W j k t h ± + R W j k t ± ) α j k t ξ j k t k = 1 4 R W j k t ± , j , t
where ξ j k t is the wastewater reuse rate.
(5) Water environmental carrying capacity constraint:
j = 1 6 k = 1 4 ( I A W j k t ± D W j k t h ± + R W j k t ± ) α j k t ± β j k t ± E C k r t ± I D R k r t X i j A L D j r t h ± , j , r , t , h
where r represents the type of pollutant (r = 1 for chemical oxygen demand (COD), r = 2 for ammonia nitrogen (NH4-N), r = 3 for total phosphorus (Tp)); E C k r t ± represents the concentration of pollutant r after wastewater treatment (tons/104 m3); I D R k r t represents the river load ratio; β j k t is the wastewater concentration treatment coefficient; X i j is the receiving ratio of water; and A L D i r t h ± represents the water environment carrying capacity (tons/year).
(6) Ecological value factor constraints:
A m t ± D A m t ± P R A m t ± , m , t
S n t ± D S n t ± P R S n t ± , n , t
m = 1 4 ( A m t ± D A m t ± ) V m t ± + n = 1 24 ( S n t ± D S n t ± ) V n t ± I A S t ± , t , h
where V m t ± and V n t ± represent water storage capacity at normal water level (104 m3/104 m2), P R A m t ± and P R S n t ± , respectively, represent the minimum area of wetlands and rivers in the study area to ensure ecological functions (104 m2); and I A S t ± represents the amount of water resources available in the ecological environment department (104 m3/year).
(7) Other:
D W j k t h ± , R W j k t ± , D A m t ± , D S n t ± 0
Using an interactive algorithm, the ITSP model can be transformed into two deterministic sub-models corresponding to the lower and upper bound values of the desired objective function. By solving the two sub-models, D W j k t h , D W j k t h + , R W j k t + , R W j k t , D A m t , D A m t + , D S n t , D S n t + were obtained, forming the final ITSP model as [ D W j k t h , D W j k t h + ] , [ R W j k t , R W j k t + ] , [ D A m t , D A m t + ] , [ D S n t , D S n t + ] .

3.2. Model Parameters

Table 1 lists the upper and lower bounds of the initial resource allocation of each water sector in Dalian. These were determined based on the latest last 10 years of regional water resource consumption in each sector and on the developmental planning for the region.

4. Results and Discussion

4.1. Allocation of Water Resources in the Water Department

Table 2 lists the initial optimal allocation of water resources in Dalian. It can be observed that the optimal allocation of water resources is close to the upper limit of the initial plan because more water allocation will bring more water resource benefits to various water-consuming sectors [24]. With the development of the society and economy, the annual water demand of the industrial and municipal domestic water sectors in different planning periods is gradually increasing. The development of Dalian is relatively balanced. Except for the ecological environment, the industrial water consumption in the study area accounts for about 43%, and the municipal and agricultural water consumption accounts for 32% and 25%, respectively.
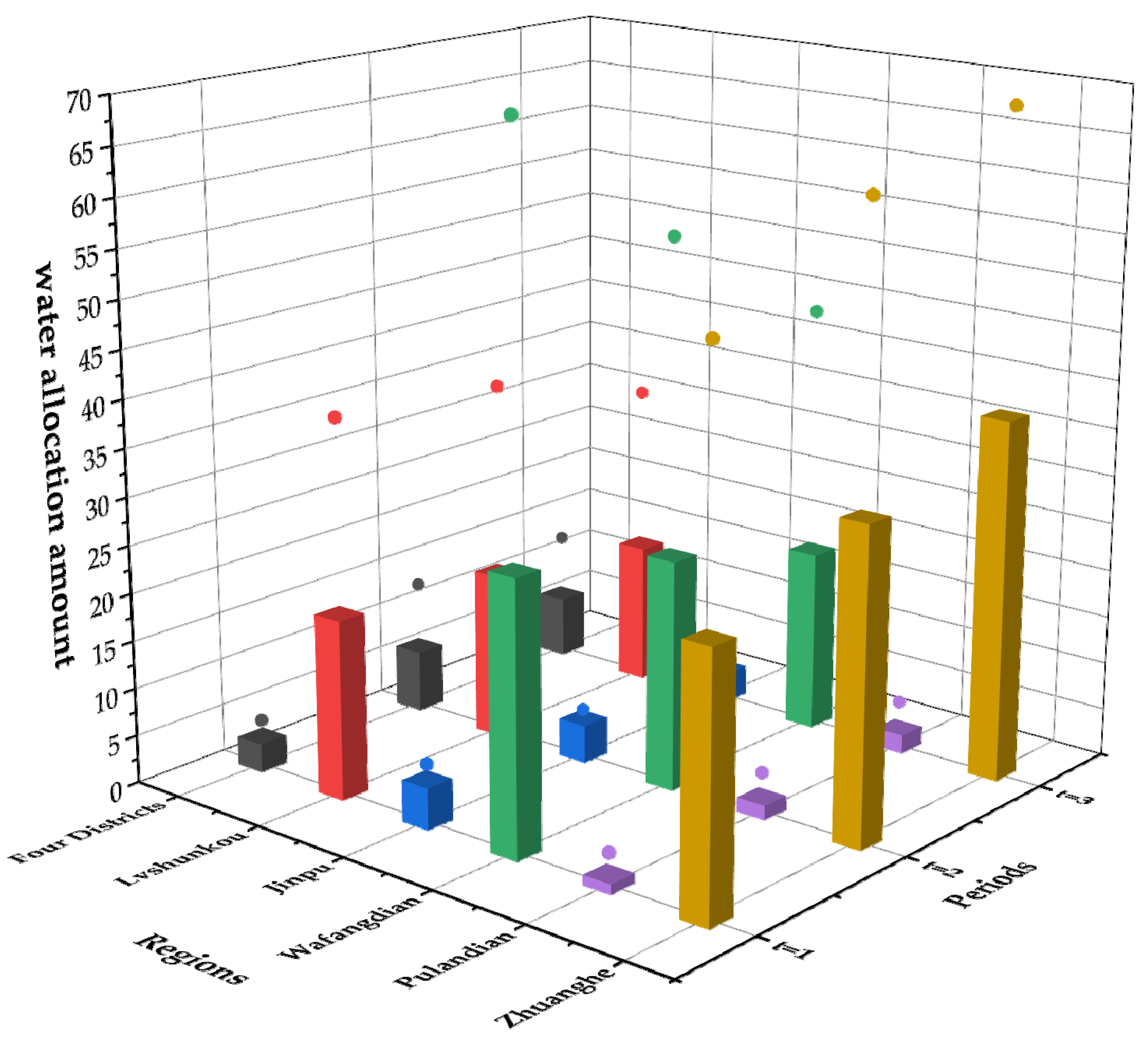
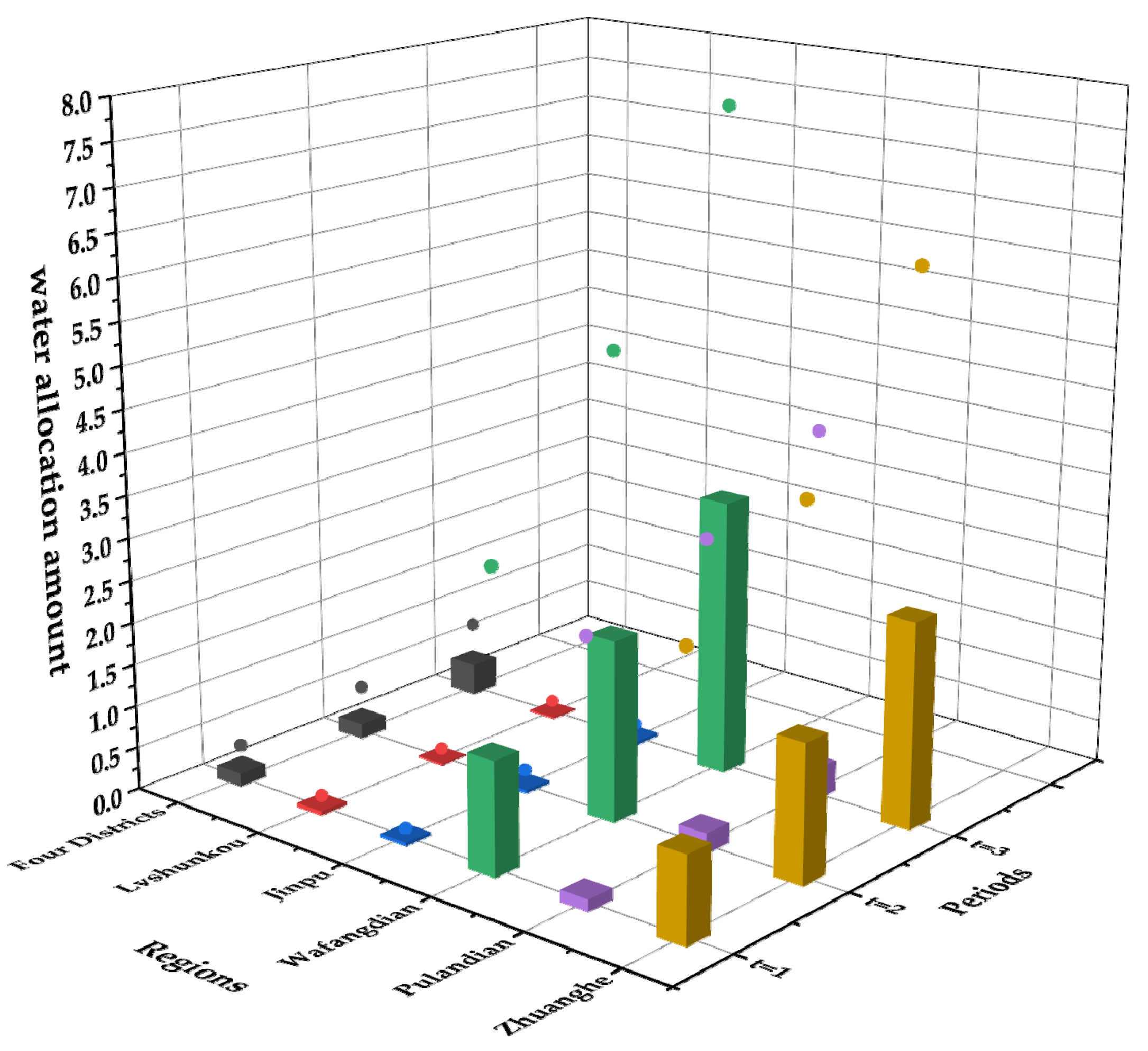
Figure 4 and Figure 5, respectively, show the amount of water reused by the industrial and municipal sectors in different planning periods. As shown in Figure 3, in regions Four Districts, Pulandian, and Zhuanghe, due to the higher water consumption rate and reclaimed water reuse rate of the industrial sector, the amount of reused water allocated gradually increased over time. For example, in region Zhuanghe, water reuse quotas were 27.02 × 104~54.37 × 104, 32.78 × 104~63.44 × 104, and 37.76 × 104~68.65 × 104 m3/year during the three periods. However, in regions Lvshunkou, Jinpu, and Wafangdian, water reuse quotas showed opposite trends for the three periods. The water reuse quotas were 18.80 × 104~38.93 × 104, 17.44 × 104~37.35 × 104, and 14.83 × 104~31.96 × 104 m3/year for region Lvshunkou; 4.36 × 104~5.97 × 104, 3.98 × 104~4.89 × 104, and 3.14 × 104~4.74 × 104 m3/year for region Jinpu; 28.32 × 104~71.20 × 104, 24.06 × 104~56.33 × 104, and 19.04 × 104~44.66 × 104 m3/year for region Wafangdian, during the three periods, respectively. The first reason may be that the industrial sector has a relatively high water revenue; hence, the initial water quota in these two regions is close to the highest water demand, and there is no need for excess water resource allocation. The second is that increased water use means more wastewater is produced, which may exceed the existing wastewater treatment capacity. Therefore, under the condition of limited wastewater treatment capacity, a higher initial allocation of water resources will lead to water waste. As observed from Figure 5, the water reuse quota allocated to municipal life in the three planning periods was relatively small, especially in regions Lvshunkou and Jinpu. The reused water allocated to municipal sectors was even as low as 0.02 × 104 m3/year. This may be because the municipal living sector has low demand for water reuse and low revenue; therefore, water is more likely to be allocated to the industrial sector with higher revenue. Since agricultural irrigation has higher requirements for reused water, it also has higher requirements for reused water treatment technologies. However, due to lower returns than the industrial sector, this is not considered.
Table 3, Table 4 and Table 5 list the upper and lower bounds of water resource scarcity in the industrial, municipal, and agricultural sectors of each planning area during the three planning periods. As observed from the table, as the water resources increase, water shortages decrease. For example, in period 1, region Four Districts, water shortages of the industrial, municipal, and agricultural sectors in low, medium, and high water resource scenarios for the three periods were as follows: 311.02 × 104~320.57 × 104, 149.79 × 104~245.81 × 104, and 101.59 × 104~201.70 × 104 m3/year for the industrial sector; 4682.25 × 104~5695.01 × 104, 1489.38 × 104~5695.01 × 104, and 0.00~5695.01 × 104 m3/year for the municipal sector; 2.80 × 104~59.73 × 104, 0, and 0 m3/year for the agricultural sector. Although the industrial sector had the highest water efficiency, it consumed a lot of water. Therefore, as the planning period progressed, the demand and shortage for water continued to increase. The industrial sector in region Zhuanghe had the largest water shortage, for which the shortage under different water resource scenarios was 11,092.97 × 104~12,848.82 × 104, 594.47 × 104~3126.95 × 104, and 0.00~3126.95 × 104 m3/year in period 1, 11,886.10 × 104~15,872.69 × 104, 382.03 × 104~3619.22 × 104, and 0.00~3619.22 × 104 m3/year in period 2, 11,852.15 × 104~12,879.20 × 104, 625.84 × 104~4879.20 × 104, and 0.00~4879.20 × 104 m3/year in period 3. This is because, with the advancement of the planning period, the industry in region Zhuanghe had continuously increased water demand and water shortage. However, the lack of water in some other regions and water-consuming sectors did not show this regularity. For example, in region Jinpu, the municipal sector showed a low water resource scenario, and the water shortage was 2125.84 × 104~3128.79 × 104, 1548.06 × 104~3552.92 × 104, and 884.61 × 104~2087.49 × 104 m3/year in the three periods, respectively, showing a significant downward trend. This is because, under the current conditions of the development and utilization of water resources, over time, the water demand of various sectors has gradually increased, and the water safety of municipal sectors should be prioritized during the allocation of water resources.

4.2. Analysis of Ecological Value Factors

4.2.1. Analysis of Water Distribution in the Ecological Environment Department

Table 6 lists the initial water use scenarios for ecological environment sector of the administrative districts in Dalian. It was observed that the water consumption of the environment sector in each planning period gradually increased. Region Pulandian had the largest environmental water consumption, which was 3581.54 × 104, 3787.75 × 104, and 3888.45 × 104 m3/year in the three periods, and the environmental water consumption increased each year. The first reason for this may be the increasing importance of the protection of the water environment, and the second may be the increasing benefits received by the ecological environment sector, which has prompted more water resources to be allocated to the ecological environment sector.
Figure 6 shows the amount of water reused by the ecological environment sector. As shown in the figure, over time, the reused water quota gradually increased. For example, in region Pulandian, the amount of water reused was 336.73 × 104~398.94 × 104, 361.97 × 104~427.80 × 104, and 408.96 × 104~483.08 × 104 m3/year in the three periods. The ecological environment sector had increasing benefits from water use and a high water demand; therefore, after all sectors reach the minimum water requirements, priority should be given to the allocation of more reused water to the ecological environment sector. Regions Four Districts and Lvshunkou showed relatively low water reuse. In region Four Districts, the amount of water reused was 57.92 × 104~71.21 × 104, 82.37 × 104~105.93 × 104, and 93.05 × 104~119.88 × 104 m3/year during the three periods. This may be due to the relatively low river runoff in regions Four Districts and Lvshunkou. In region Jinpu, there was a very small difference between periods 2 and 3 in the amount of reused water; 299.06 × 104~396.30 × 104 and 301.81 × 104~404.97 × 104 m3/year, respectively. The reason may be that during period 2 in region Jinpu, the amount of water reused was sufficient to meet the water requirements, and excessive allocation caused water waste.
Table 7, Table 8 and Table 9 list the upper and lower bounds of water resource deficit for the ecological environment sector under different scenarios. As observed from the table, as the water resources increased, the amount of water shortages in the ecological environment sector decreased. For example, during period 1 in region Zhuanghe, the water deficits under different scenarios were 1415.75 × 104~1753.54 × 104, 384.57 × 104~1753.34 × 104, and 0.00~153.54 × 104 m3/year. Under the high water resources scenario, except for region Pulandian, the water shortage of the ecological environment sector was 0, and the water shortage of the ecological environment sector in regions Four Districts and Lvshunkou were 0 under all water resource scenarios. This is because the quality of the water environment is closely related to the profitability of other sectors and ensuring the water consumption of the ecological environment sector is the basic prerequisite for economic development and the improvement of the quality of human life. This is in line with the objectives of China’s 14th Five-Year Plan, which states that “we will adhere to the priority of ecology, promote ecological protection and economic development in a concerted manner, and create a beautiful China where people and nature live in harmony”.

4.2.2. Analysis of the Missing Area of the Aquatic Ecosystem

The regulation service value created by aquatic ecosystems has a great relationship with the area of various types of aquatic ecosystems. The lack of ecosystem area indicates the damage of the ecosystem and the lack of ecosystem value, which is not conducive to the development of the society and economy. Figure 7 and Figure 8 show the area of water loss in the ecosystem (various wetlands and rivers) during the three periods. It was observed that the loss of ecosystem area gradually decreased over time, and the loss of some rivers reached 0. For example, the area of marsh wetland loss was 55.69 × 104~59.96 × 104, 37.04 × 104~44.11 × 104, and 20.08 × 104~30.24 × 104 m2 in the three periods, respectively. In rivers 7 and 14, the amount of river area missing is 0 in the three periods. There is no increase in the area loss over time, because the amount of water used to maintain the normal development and relative stability of the aquatic ecosystem continued to increase, which reduced the area loss.

4.2.3. Analysis of the Value of Ecological Regulation Services

The optimal allocation model of water resources coupled with ecological value factors takes profit maximization as the objective function. The projected profit primarily includes the use of water resources and the regulation service value of the water ecosystem. The average annual ecological regulation service value of the three periods is shown in Figure 9. After the implementation of the optimal allocation of water resources, the overall value of Dalian’s water ecosystem regulation services was on the rise, from 980,900 × 104 CNY in period 1 to 999,700 × 104 CNY in period 3. The values of the four types of indicators all grew steadily, with the highest proportion being the hydrological regulation value, which increased from 959,400 × 104 CNY in period 1 to 972,100 × 104 CNY in period 3. This may be due to the gradual increase in the amount of water resources available for the ecological environment sector, the basic functions of the ecosystem are safeguarded and show a trend towards gradual improvement. Water ecosystems are creating more and more value and are in better environmental condition.

4.3. Analysis of Regional Pollutant Emissions

Figure 10, Figure 11 and Figure 12 show COD, NH3-N, and Tp emissions from the industrial, municipal, and agricultural sectors, respectively. The discharge of pollutants does not exceed the maximum permissible discharge concentration of pollutants in freshwater waters of “the Liaoning Provincial Water Pollutant Discharge Standards for Coastal Areas”, in addition, the discharge of various pollutants does not exceed the regional water environment capacity. Under the condition of implementing the optimal water resource allocation scheme coupled with ecological value factors, the emission of all kinds of pollutants in all sectors presented a downward trend over time. For the industrial sector, in region Wafangdian, the COD emissions were 502.10, 464.10, and 367.45 tons/year, NH3-N emissions were 78.48, 71.4, and 54.6 tons/year, and Tp emissions were 37.10, 33.56, and 26.17 tons/year in the three periods, respectively. For the municipal sector, COD emissions were: 1888.43, 1745.54, and 1382.01 tons/year, NH3-N emissions were 254.43, 231.49, and 177.00 tons/year, and Tp emissions were 54.27, 49.10, and 38.29 tons/year in the three periods, respectively. For the agriculture sector, COD emissions were 14,549.27, 13,448.37, and 10,647.61 tons/year, NH3-N emissions were 1217.00, 1107.25, and 846.64 tons/year, and Tp emissions were 326.32, 295.21, and 230.23 tons/year in the three periods. This is in line with the objectives of China’s 14th Five-Year Plan, which states that “by 2035, the total emissions of major pollutants will continue to be reduced, the efficiency of resource use will be significantly improved, and the first demonstration zone of a beautiful China will be basically built”. However, Tp emissions increased slightly in some areas. For example, in region Four Districts, Tp emissions of the municipal sector were 458.09, 470.13, and 504.49 tons/year in the three periods, respectively. This may be because the domestic sewage collection and centralized treatment system were not perfect. Therefore, improving the domestic sewage centralized collection and treatment system will not only reduce the discharge of pollutants but also solve the water shortage problem. In regions Four Districts and Lvshunkou with high population density, the pollutants were mainly from the municipal sector, while the pollutants from the agricultural sector were relatively high in other regions. In some regions, the industrial sector consumed more water than the agricultural sector, but the sewage discharge was lower, which may be because the industrial sewage collection and treatment network is relatively perfect, and the sewage is generally discharged or reused after treatment.

5. Conclusions

This study established an inexact two-stage stochastic programming (ITSP) model of optimal allocation of water resources that couples water ecological value factors under uncertain conditions. This model is mainly to forecast and optimize the long-term prospects of Dalian, which is a typical water shortage in China. By integrating IPP and TSP methods, the model can manage uncertainties in interval values and probability distributions. By solving the ITSP model, on the premise of protecting the ecological value, the optimal allocation of water resources under different conditions to different water sectors and three periods was determined. In addition, data were also obtained on the lack of an aquatic ecosystem acreage, value of ecosystem service and the discharge of major water pollutants in various administrative regions. These results are constrained by the available water resources and provide the basis for the optimize the allocation of water resources and water quality management in Dalian. In addition, optimal allocation of water resources can improve the discharge of water pollutants in various administrative regions. The model results can be used to guide various departments in Dalian to formulate an optimal water resources allocation scheme by considering ecological value factors. The study findings provide the basis and support for Dalian to achieve the social and economic development goals, use water resources efficiently, and improve ecosystem quality through the optimized allocation of water resources.
The purpose of this research was to establish an ITSP model to create a water resources management system in Dalian that combines ecological value factors with the optimal allocation of water resources, so as to realize the coordinated development of social economic benefits and ecological benefits, and conducive to the synergistic efficiency of socio-economic and ecological water consumption, and it can also be applied to other regions with water shortages. Although the ITSP model can provide optimal preset schedules and adjustments under different scenarios, it cannot measure decision-making risks, nor does it assess the impact of different water sources and climate change on the availability of water resources. Therefore, there is still considerable room for improvement.

Author Contributions

Methodology, J.Z.; software, J.Z.; validation, J.Z. and C.M.; data curation, J.Z.; writing—original draft preparation, J.Z.; writing—review and editing, J.Z., C.M., S.H. and W.L.; project administration, S.H.; funding acquisition, W.L. All authors have read and agreed to the published version of the manuscript.

Funding

This research was funded by the Natural Science Foundation of China, grant number 72050001.

Conflicts of Interest

The authors declare no conflict of interest.

References

  1. Luo, Z.W.; Xie, Y.L.; Ji, L.; Cai, Y.P.; Yang, Z.F.; Huang, G.H. Regional agricultural water resources management with respect to fuzzy return and energy constraint under uncertainty: An integrated optimization approach. J. Contam. Hydrol. 2021, 242, 103863. [Google Scholar] [CrossRef]
  2. Mianabadi, H.; Sheikhmohammady, M.; Mostert, E.; Van de Giesen, N. Application of the Ordered Weighted Averaging (OWA) method to the Caspian Sea conflict. Stoch. Environ. Res. Risk Assess. 2014, 28, 1359–1372. [Google Scholar] [CrossRef]
  3. del Saz-Salazar, S.; Garcia-Rubio, M.A.; Gonzalez-Gomez, F.; Picazo-Tadeo, A.J. Managing Water Resources Under Conditions of Scarcity: On Consumers’ Willingness to Pay for Improving Water Supply Infrastructure. Water Resour. Manag. 2016, 30, 1723–1738. [Google Scholar] [CrossRef]
  4. Gorgoglione, A.; Crisci, M.; Kayser, R.H.; Chreties, C.; Collischonn, W. A New Scenario-Based Framework for Conflict Resolution in Water Allocation in Transboundary Watersheds. Water 2019, 11, 1174. [Google Scholar] [CrossRef] [Green Version]
  5. Aldieri, L.; Brahmi, M.; Chen, X.H.; Vinci, C.P. Knowledge spillovers and technical efficiency for cleaner production: An economic analysis from agriculture innovation. J. Clean Prod. 2021, 320, 128830. [Google Scholar] [CrossRef]
  6. Bai, Y.; Ochuodho, T.O.; Yang, J. Impact of land use and climate change on water-related ecosystem services in Kentucky, USA. Ecol. Indic. 2019, 102, 51–64. [Google Scholar] [CrossRef]
  7. Fu, Q.; Zhao, K.; Liu, D.; Jiang, Q.X.; Li, T.X.; Zhu, C.H. The Application of a Water Rights Trading Model Based on two-Stage Interval-Parameter Stochastic Programming. Water Resour. Manag. 2016, 30, 2227–2243. [Google Scholar] [CrossRef]
  8. Xie, Y.L.; Xia, D.H.; Huang, G.H.; Li, W.; Xu, Y. A multistage stochastic robust optimization model with fuzzy probability distribution for water supply management under uncertainty. Stoch. Environ. Res. Risk Assess. 2017, 31, 125–143. [Google Scholar] [CrossRef]
  9. Rezaei, F.; Safavi, H.R.; Zekri, M. A Hybrid Fuzzy-Based Multi-Objective PSO Algorithm for Conjunctive Water Use and Optimal Multi-Crop Pattern Planning. Water Resour. Manag. 2017, 31, 1139–1155. [Google Scholar] [CrossRef]
  10. Li, X.; Kang, S.; Niu, J.; Du, T.; Tong, L.; Li, S.; Ding, R. Applying uncertain programming model to improve regional farming economic benefits and water productivity. Agric. Water Manag. 2017, 179, 352–365. [Google Scholar] [CrossRef]
  11. Puy, A.; Muneepeerakul, R.; Balbo, A.L. Size and stochasticity in irrigated social-ecological systems. Sci. Rep. 2017, 7, 43943. [Google Scholar] [CrossRef] [Green Version]
  12. Mo, S.; Duan, H.; Shen, B.; Wang, D. Interval Two-Stage Stochastic Integer Programming for Urban Water Resource Management under Uncertainty. J. Coast. Res. 2015, 73, 160–165. [Google Scholar] [CrossRef]
  13. Xie, Y.L.; Huang, G.H.; Li, W.; Li, J.B.; Li, Y.F. An inexact two-stage stochastic programming model for water resources management in Nansihu Lake Basin, China. J. Environ. Manag. 2013, 127, 188–205. [Google Scholar] [CrossRef]
  14. Ji, L.; Huang, G.H.; Huang, L.C.; Xie, Y.L.; Niu, D.X. Inexact stochastic risk-aversion optimal day-ahead dispatch model for electricity system management with wind power under uncertainty. Energy 2016, 109, 920–932. [Google Scholar] [CrossRef]
  15. Niu, G.; Li, Y.P.; Huang, G.H.; Liu, J.; Fan, Y.R. Crop planning and water resource allocation for sustainable development of an irrigation region in China under multiple uncertainties. Agric. Water Manag. 2016, 166, 53–69. [Google Scholar] [CrossRef]
  16. Li, M.; Guo, P.; Singh, V.P.; Zhao, J. Irrigation Water Allocation Using an Inexact Two-Stage Quadratic Programming with Fuzzy Input under Climate Change. J. Am. Water Resour. Assoc. 2016, 52, 667–684. [Google Scholar] [CrossRef]
  17. Meng, C.; Wang, X.; Li, Y. An Optimization Model for Water Management Based on Water Resources and Environmental Carrying Capacities: A Case Study of the Yinma River Basin, Northeast China. Water 2018, 10, 565. [Google Scholar] [CrossRef] [Green Version]
  18. He, W.; Yang, L.Z.; Li, M.H.; Meng, C.; Li, Y. Application of an Interval Two-Stage Robust (ITSR) Optimization Model for Optimization of Water Resource Distribution in the Yinma River Basin, Jilin Province, China. Water 2020, 12, 2910. [Google Scholar] [CrossRef]
  19. Han, Y.; Huang, Y.F.; Wang, G.Q.; Maqsood, I. A Multi-objective Linear Programming Model with Interval Parameters for Water Resources Allocation in Dalian City. Water Resour. Manag. 2011, 25, 449–463. [Google Scholar] [CrossRef]
  20. Hong, J. Risk assessment of water resources development and utilization in Dalian. Water Resour. Dev. Manag. 2020, 18–21+29. [Google Scholar] [CrossRef]
  21. Ahmed, S.; Tawarmalani, M.; Sahinidis, N.V. A finite branch-and-bound algorithm for two-stage stochastic integer programs. Math. Program. 2004, 100, 355–377. [Google Scholar] [CrossRef]
  22. Ji, L.; Sun, P.; Ma, Q.; Jiang, N.; Huang, G.-H.; Xie, Y.-L. Inexact Two-Stage Stochastic Programming for Water Resources Allocation under Considering Demand Uncertainties and Response-A Case Study of Tianjin, China. Water 2017, 9, 414. [Google Scholar] [CrossRef]
  23. Zeng, X.T.; Li, Y.P.; Huang, G.H.; Yu, L.Y. Inexact Mathematical Modeling for the Identification of Water Trading Policy under Uncertainty. Water 2014, 6, 229–252. [Google Scholar] [CrossRef] [Green Version]
  24. Jin, D.; Bian, Z. Research on the Accounting Method of Xuzhou Ecological Civilization Based on Emergy and GEP. China Land Sci. 2013, 27, 88–94. [Google Scholar]
Figure 1. Framework for the inexact two-stage stochastic programming (ITSP) model.
Figure 1. Framework for the inexact two-stage stochastic programming (ITSP) model.
Water 14 00266 g001
Figure 2. Geographical position and study regions of Dalian.
Figure 2. Geographical position and study regions of Dalian.
Water 14 00266 g002
Figure 3. Relationship between regional pollutant emissions and water distribution.
Figure 3. Relationship between regional pollutant emissions and water distribution.
Water 14 00266 g003
Figure 4. Reused water resource allocations for industry (104 m3/year).
Figure 4. Reused water resource allocations for industry (104 m3/year).
Water 14 00266 g004
Figure 5. Reused water resource allocations for municipal use (104 m3/year).
Figure 5. Reused water resource allocations for municipal use (104 m3/year).
Water 14 00266 g005
Figure 6. Reused water resource allocations for environment.
Figure 6. Reused water resource allocations for environment.
Water 14 00266 g006
Figure 7. Loss of water ecosystem (wetland) area (104 m2).
Figure 7. Loss of water ecosystem (wetland) area (104 m2).
Water 14 00266 g007
Figure 8. Loss of water ecosystem (river) area (104 m2).
Figure 8. Loss of water ecosystem (river) area (104 m2).
Water 14 00266 g008
Figure 9. Ecological regulation service value (104 CNY/year).
Figure 9. Ecological regulation service value (104 CNY/year).
Water 14 00266 g009
Figure 10. Chemical oxygen demand (COD) emissions of various sectors: (a) industry; (b) municipal; (c) agriculture (tons/year).
Figure 10. Chemical oxygen demand (COD) emissions of various sectors: (a) industry; (b) municipal; (c) agriculture (tons/year).
Water 14 00266 g010
Figure 11. NH3-N emissions of various sectors: (a) industry; (b) municipal; (c) agriculture (tons/year).
Figure 11. NH3-N emissions of various sectors: (a) industry; (b) municipal; (c) agriculture (tons/year).
Water 14 00266 g011
Figure 12. Tp emissions of various sectors: (a) industry; (b) municipal; (c) agriculture (tons/year).
Figure 12. Tp emissions of various sectors: (a) industry; (b) municipal; (c) agriculture (tons/year).
Water 14 00266 g012
Table 1. Upper and lower bounds of the initial water resource allocation in Dalian (104 m3/year).
Table 1. Upper and lower bounds of the initial water resource allocation in Dalian (104 m3/year).
RegionsDepartmentsPeriods
t = 1t = 2t = 3
Four Districtsk = 1258~337307~370314~395
k = 26538~76993148~87398819~10,053
k = 3122~132124~128116~122
k = 467~7161~9369~111
Lvshunkouk = 13602~42543684~43413704~4383
k = 22992~31093063~35303141~4060
k = 3423~486430~471436~450
k = 4161~263169~273160~296
Jinpuk = 19301~10,3139116~10,3319856~10,534
k = 23073~31312828~35543609~4089
k = 32364~31202408~30262448~2894
k = 41282~16881499~17311597~1761
Wafangdiank = 13266~36133185~38193447~4020
k = 21233~17281400~18521611~1987
k = 34067~46994133~45574192~4359
k = 41637~25421915~25762167~2606
Pulandiank = 1889~1716804~1919817~2119
k = 21814~20181943~22912086~2635
k = 36133~66223226~64235910~6143
k = 43015~35823527~37883532~3888
Zhuanghek = 112,589~13,39512,974~13,41812,140~13,423
k = 2923~5347389~60701062~6983
k = 34821~54104897~52474965~5019
k = 41606~29261879~39412127~2952
Table 2. The initial optimal allocation of water resources in Dalian (104 m3/year).
Table 2. The initial optimal allocation of water resources in Dalian (104 m3/year).
RegionsSectorsPeriods
t = 1t = 2t = 3
Four Districtsk = 1337370395
k = 27699873910,053
k = 3132128122
Lvshunkouk = 1425443414383
k = 231093534060
k = 3486471450
Jinpuk = 110,31310,43110,534
k = 2313235544089
k = 3312030262894
Wafangdiank = 1361338194020
k = 2172818521987
k = 3469945574359
Pulandiank = 1171619192119
k = 2201822912635
k = 3662364236143
Zhuanghek = 113,39513,41813,423
k = 2486560706983
k = 3541052475019
Table 3. Upper and lower bounds of water resource deficit for each sector under different scenarios in period 1 (104 m3/year).
Table 3. Upper and lower bounds of water resource deficit for each sector under different scenarios in period 1 (104 m3/year).
RegionsSectorsScenarios
h = 1h = 2h = 3
Four Districtsk = 1311~321150~246102~202
k = 24682~56951489~56950~5695
k = 33~6000
Lvshunkouk = 13881~40743210~39592783~3959
k = 21104~31070~31070
k = 3000
Jinpuk = 110,211~11,2738069~10,2587936~9211
k = 22126~31290~31290~3129
k = 32142~30990~11190
Wafangdiank = 13140~34172165~33082038~3308
k = 21267~1375873~13750
k = 34173~452300
Pulandiank = 11390~1707591~16880
k = 2235~20120~20120
k = 33605~53231569~24040
Zhuanghek = 111,093~12,849594~31270~3127
k = 23807~48560~48560
k = 32989~46860~1660
Table 4. Upper and lower bounds of water resource deficit for each sector under different scenarios in period 2 (104 m3/year).
Table 4. Upper and lower bounds of water resource deficit for each sector under different scenarios in period 2 (104 m3/year).
RegionsSectorsScenarios
h = 1h = 2h = 3
Four Districtsk = 1303~337140~252140~235
k = 23725~40353725~40350~4035
k = 38~5800
Lvshunkouk = 14045~42033524~40433182~4043
k = 21526~3529376~35290~3529
k = 3230~32000
Jinpuk = 110,296~10,37710,125~10,3779977~10,318
k = 21548~35530~35530~3553
k = 31950~30001022~13170~340
Wafangdiank = 13200~35672320~35232262~3523
k = 21436~15420~15420
k = 33911~436100
Pulandiank = 11891~1909794~17480
k = 21247~22840~22840
k = 33733~53321413~27790
Zhuanghek = 111,886~15,873382~36190~3619
k = 24014~60630~60630
k = 31202~45370~1410
Table 5. Upper and lower bounds of water resource deficit for each sector under different scenarios in period 3 (104 m3/year).
Table 5. Upper and lower bounds of water resource deficit for each sector under different scenarios in period 3 (104 m3/year).
RegionsSectorsScenarios
h = 1h = 2h = 3
Four Districtsk = 1333~364199~302170~265
k = 24035~50450~50450~5045
k = 313~6100
Lvshunkouk = 14160~42803756~40793492~4079
k = 22057~4060270~40600~4060
k = 3156~24500
Jinpuk = 110,420~10,43010,337~10,49210,221~10,464
k = 2885~20870~20870~2087
k = 31453~2833732~11600~364
Wafangdiank = 13601~38433098~38432533~3713
k = 21649~17540~17540
k = 33628~417800
Pulandiank = 12090~21071965~21070
k = 21020~26271020~26270
k = 34844~56511064~41390
Zhuanghek = 111,852~12,879626~48790~4879
k = 24927~69750~69750
k = 31412~402800
Table 6. The initial optimal allocation of water resources for ecological environment sector in Dalian (104 m3/year).
Table 6. The initial optimal allocation of water resources for ecological environment sector in Dalian (104 m3/year).
RegionsPeriods
t = 1t = 2t = 3
Four Districts7193111
Lvshunkou263273296
Jinpu168817301761
Wafangdian254225762606
Pulandian358237883888
Zhuanghe292629412952
Table 7. Upper and lower bounds of water resource deficit for ecological environment sector under different scenarios in period 1.
Table 7. Upper and lower bounds of water resource deficit for ecological environment sector under different scenarios in period 1.
RegionsScenarios
h = 1h = 2h = 3
Four Districts000
Lvshunkou000
Jinpu47~4570~4570
Wafangdian657~73400
Pulandian1416~1754385~17530~154
Zhuanghe650~152100
Table 8. Upper and lower bounds of water resource deficit for ecological environment sector under different scenarios in period 2.
Table 8. Upper and lower bounds of water resource deficit for ecological environment sector under different scenarios in period 2.
RegionsScenarios
h = 1h = 2h = 3
Four Districts000
Lvshunkou000
Jinpu89~4920~4920
Wafangdian693~76800
Pulandian1616~1950428~19500~1950
Zhuanghe651~151400
Table 9. Upper and lower bounds of water resource deficit for ecological environment sector under different scenarios in period 3.
Table 9. Upper and lower bounds of water resource deficit for ecological environment sector under different scenarios in period 3.
RegionsScenarios
h = 1h = 2h = 3
Four Districts000
Lvshunkou000
Jinpu203~6000~6000
Wafangdian843~91600
Pulandian1764~2090681~20900~2090
Zhuanghe785~163400
Publisher’s Note: MDPI stays neutral with regard to jurisdictional claims in published maps and institutional affiliations.

Share and Cite

MDPI and ACS Style

Zhang, J.; Meng, C.; Hu, S.; Li, W. Optimal Allocation Model for Water Resources Coupled with Ecological Value Factors—A Case Study of Dalian, China. Water 2022, 14, 266. https://doi.org/10.3390/w14020266

AMA Style

Zhang J, Meng C, Hu S, Li W. Optimal Allocation Model for Water Resources Coupled with Ecological Value Factors—A Case Study of Dalian, China. Water. 2022; 14(2):266. https://doi.org/10.3390/w14020266

Chicago/Turabian Style

Zhang, Jie, Chong Meng, Shugang Hu, and Wei Li. 2022. "Optimal Allocation Model for Water Resources Coupled with Ecological Value Factors—A Case Study of Dalian, China" Water 14, no. 2: 266. https://doi.org/10.3390/w14020266

APA Style

Zhang, J., Meng, C., Hu, S., & Li, W. (2022). Optimal Allocation Model for Water Resources Coupled with Ecological Value Factors—A Case Study of Dalian, China. Water, 14(2), 266. https://doi.org/10.3390/w14020266

Note that from the first issue of 2016, this journal uses article numbers instead of page numbers. See further details here.

Article Metrics

Back to TopTop