Next Article in Journal
Improvement of the “Triangle Method” for Soil Moisture Retrieval Using ECOSTRESS and Sentinel-2: Results over a Heterogeneous Agricultural Field in Northern India
Next Article in Special Issue
Soil Detachment Rate of a Rainfall-Induced Landslide Soil
Previous Article in Journal
Temperature May Play a More Important Role in Environmental DNA Decay than Ultraviolet Radiation
Previous Article in Special Issue
Rainfall Threshold for Shallow Landslide Triggering Due to Rising Water Table
 
 
Font Type:
Arial Georgia Verdana
Font Size:
Aa Aa Aa
Line Spacing:
Column Width:
Background:
Article

A Simplified Analytical Method to Predict Shallow Landslides Induced by Rainfall in Unsaturated Soils

Department of Civil Engineering, University of Calabria, 87036 Rende, Cosenza, Italy
*
Author to whom correspondence should be addressed.
Water 2022, 14(19), 3180; https://doi.org/10.3390/w14193180
Submission received: 29 August 2022 / Revised: 1 October 2022 / Accepted: 6 October 2022 / Published: 9 October 2022
(This article belongs to the Special Issue Susceptibility Assessment of Rainfall-Induced Landslides)

Abstract

In order to assess slope stability owing to rainfall, the availability of an effective and simple-to-use methodology, relating directly rain to eventual landslide triggering, is undoubtedly useful. To this purpose, a simplified method aimed to the prediction of rainfall-induced shallow landslides in unsaturated soils is proposed in the present study. This method takes advantage of some closed-form solutions to evaluate the change in pore pressure due to infiltration of a rainfall characterized by a given intensity and duration, and the simple scheme of infinite slope to calculate a threshold for the change in pore pressure when the slope is under limit conditions. Particularly, using the present approach, a critical curve can be defined to establish the rainfall events that can trigger a failure process at a given depth, where suction before rainfall is known. The proposed method appears promising from an engineering viewpoint, since it is simple to use and requires few parameters as input data. In addition, these parameters can be determined from conventional geotechnical tests. The validity of the proposed approach is corroborated by some comparisons with the results of well-documented case studies.

1. Introduction

Rainfall-induced shallow landslides generally occur during short and intense rainstorms or after long rainy periods, depending on the infiltration capacity of the slope and soil properties (mainly hydraulic conductivity and saturation degree), in relation to rainfall intensity and duration. The thickness of the unstable soil typically ranges from some decimeters to few meters (generally 1–2 m). Movement usually experienced by these landslides is a translational slide [1] with direction mainly parallel to the ground surface. However, under certain conditions, these landslides evolve into debris flows [2,3,4,5,6,7]. Therefore, despite the relatively small volume of the displaced material, such landslides could be really dangerous due also to the lack of warning signs that make problematic their prediction. In view of these features, rainfall-induced landslides have caught the interest of the scientific community in recent decades. As a result, many studies were published in the literature on this topic [8,9,10,11,12,13,14,15,16,17,18,19,20].
Landslide triggering is strictly related to the condition of partial saturation of the soil in the shallow portion of the slope, a condition that favors slope stability because suction gives a sort of apparent cohesion to the soil, resulting in an increase of its shear strength. However, rain infiltrating into the slope causes a progressive reduction of suction (and consequently of soil strength) that could lead to slope instability [21]. Therefore, the most critical situation for slope stability occurs when small values of suction exist in the soil before rainfall commences. This mainly occurs owing to prolonged rainfall periods that cause an increase in soil water content up to levels close to saturation. This may also occur during the formation of a capillary barrier in an unsaturated soil layer lying on a soil with higher permeability [22]. In these circumstances, water is retained in the upper layer and consequently, its saturation degree increases causing a reduction in the soil shear strength. Therefore, it is undeniable that the effects of rain infiltration on the pore water pressure regime cannot be ignored for the analysis of rainfall-induced landslides [23,24,25,26].
Although numerical solutions based for example on the finite element method or the finite difference method, can provide a comprehensive understanding of the complex infiltration and deformation processes occurring in the slope [27,28,29,30,31,32,33,34,35,36], the availability of simplified (but reliable) methods is undoubtedly useful to readily assess slope stability, especially for shallow landslides that generally involve relatively small volumes of displaced material in comparison with other types of landslides.
From a general point of view, the critical stability condition of a slope due to rainfall can be achieved as a result of a decrease in suction or a subsequent increase in the positive pore pressure, depending on the hydrological characteristics of the soil and the rainfall intensity. This means that, from a phenomenological point of view, the failure surface can form within either the unsaturated or saturated portion of the slope. However, only the case in which the failure surface develops in the unsaturated portion of the slope is considered in the proposed method. In this context, a user-friendly method is proposed in the present study for predicting the occurrence of rainfall-induced shallow landslides in unsaturated soils. Specifically, the method is based on some closed-form solutions to evaluate the changes in pore water pressure due to rain infiltration, and the infinite slope model to calculate a threshold value for pore water pressure corresponding to a limit condition of the slope. A critical rainfall intensity-duration relationship is also obtained, which can be readily used to predict whether (or not) a landslide occurs owing to expected rainfall scenarios. Another advantage of the present approach is that few parameters, derived from conventional geotechnical tests, are required as input data. However, the proposed method is affected by some approximate assumptions that have to be kept in mind when it is applied to real cases, as specified in the subsequent sections. In addition, some effects are ignored [37,38]. Application to some real cases study is performed to assess the validity of the proposed method.

2. Method of Analysis

The differential equation governing rain infiltration into an infinite slope consisting of unsaturated soils (Figure 1) can be written as follows, under the assumption that air is at atmospheric pressure and soil properties are constant [39]:
u w t = c w 2 u w z 2
where u w is the change in pore water pressure (otherwise suction) caused by rain infiltration at time t and depth z (measured normally to the ground surface), with respect to the suction existing at the same depth before rainfall commences. This latter is herein indicated with u wo . It takes a negative value for unsaturated soils and should be determined from in situ measurements, using tensiometers. By contrast, u w assumes positive values. The parameter c w takes the form:
c w = k γ w m w
in which γ w is the unit weight of water, k is the soil hydraulic conductivity, and m w is the coefficient of water volume change with respect to a change in suction, which is provided by the slope of the retention curve at a given suction [21]. An evaluation of m w can be performed by measurements of dilational and shear wave velocities (VP and VS), as proposed by [40,41].
Actually, m w and k depend on the position and suction. However, in view of developing a method of practical interest, in the present study it is assumed, as an approximation, that these parameters remain unchanged during the infiltration process. In this connection, m w is evaluated as the slope of the retention curve at the initial suction u wo , and k is cautiously assumed equal to the saturated hydraulic conductivity of soil [42]. This choice, in fact, leads to the highest rain infiltration and the highest u w .
To solve Equation (1), the following initial and boundary conditions are considered:
u w = 0 for t = 0 and z
it expresses the condition that at t = 0 the change in pore water pressure is nil everywhere (initial condition);
u w z = γ w k I for z = 0 and t   >   0
where I denotes the rain infiltration at the slope surface (boundary condition at z = 0);
u w , t = 0 for t   >   0
this equation expresses the boundary condition that the change in suction due to rain infiltration is nil at high depths. Considering a rainfall event characterized by a constant intensity R and duration d, I can be expressed as:
I = R if R   <   p and t d
I = p if R p and t d
I = 0  if  t > d
where p is the potential infiltration rate, which is the maximum volume of water (per unit area) that can infiltrate into the soil in a time unit. Generally, p is influenced by many factors that make very difficult its evaluation, such as previous rainfall, presence of vegetation, evapotranspiration, tension cracks, preferential drainage paths, etc. [43,44,45]. To this end, field tests should be carried out. Nevertheless, for a preliminary evaluation of this parameter, this approximate equation could be used [46]:
p = k cos α
where α is the slope angle of the ground surface.
On the basis of the initial and boundary conditions (Equations (3)–(5)), a closed-form solution of Equation (1) can be derived [47,48]:
u w ( z , t ) = 2 γ w I k c w t π e z 2 4 c w t z 2 e r f c z 2 c w t for t d
u w ( z , t ) = 2 γ w I k c w t π e z 2 4 c w t z 2 e r f c z 2 c w t + 2 γ w I k c w t d π e z 2 4 c w t d z 2 e r f c z 2 c w t d for t > d
where e r f c is the complementary error function. Summarizing, Equations (8a) and (8b) provide the change in pore water pressure occurring at any depth and time owing to a rain event characterized by an infiltration rate I and duration d. Equation (8a) is an increasing monotonic function, therefore the maximum value of u w is attained at t p = d . Referring to Equation (8b), the time corresponding to the maximum value of u w is determined by imposing that:
u w t = 0
To this aim, it is convenient to write Equation (8b) in the following form [48]:
ψ z = I k R t * R t * d *
in which ψ z , t = u w z , t / γ w is the pressure head, and:
t * = 4 c w t z 2
d * = 4 c w d z 2
R ( t * ) = t * π e 1 t * e r f c 1 t *
As a result, Equation (9) takes the form:
e z 2 4 c w d t p ( t p d ) = t p t p d
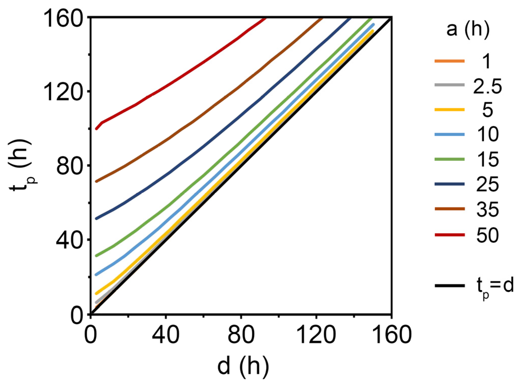
which can be solved to provide the time t p when the maximum value of u w is attained after the end of rainfall. It is worthwhile noting that t p depends on the rain duration, but it does not depend on the rainfall intensity. Figure 2 relates t p to d, for different values of a = z 2 / 4 c w .
As can be seen, t p approaches d for small values of a, i.e., at shallow depths and/or for high values of c w (or highly permeable soils). By contrast, t p could be significantly greater that d at high depths and for poorly permeable soils. Consequently, depending on depth and hydraulic conductivity, the evolution of u w with time assumes a different shape, as shown in Figure 3. In this figure, the blue curve corresponds to a case with t p = d , and the red curve is representative of a case when t p > d . A slope failure could occur before the end of the rainfall in the first case, whereas failure likely occurs after the rainfall event in the second case.
Indeed, a landslide is triggered if the maximum value of u w exceeds a threshold value, u c . This latter is determined by imposing that the safety factor of the slope is unit at a given depth z [30]:
F S = c + γ z cos α tan ϕ χ u wo + u w tan ϕ γ z sin α = 1
In Equation (15), c′ and ϕ are the effective cohesion and the angle of shearing resistance of the soil, respectively, χ is a parameter ranging between 0 and 1 depending on the water content [46], which in turn depends on the matric suction [49], and γ is the unit weight of the soil. For simplicity, in the present study it is assumed that χ = 1 and γ is constant, considering that this latter is generally slightly affected by infiltration. The resulting expression of u c is:
u c = 1 tan ϕ c t γ z sin α cos α tan ϕ
in which:
c t = c u wo tan ϕ
At this point, by imposing:
u w z s , t p = u c
it is possible to determine, for a certain duration d, a critical value of the rainfall infiltration rate, I crit , which is capable to trigger a landslide at a certain depth z s where the initial suction u wo is known. From a general point of view, the value of u wo appearing in Equation 15 can be either negative or positive and, consequently, the critical condition can be reached as a consequence of the reduction of suction or increase in the positive pore water pressure. However, the proposed method is suitable for the prediction of shallow landslides triggering due to rainfall only when the failure surface develops in the unsaturated portion of the slope. In this case, the soil is in the unsaturated condition before rainfall and, consequently, u wo takes a negative value. For a more generic situation, in which u wo can be either negative or positive, a different method should be employed [19,20].
After substituting Equations (8b) and (16) into Equation (18), the following expression of I crit is obtained:
I crit = u c k 2 γ w 1 R ( t ¯ ) R ( t ¯ d ¯ )
where
t ¯ = 4 c w t p z s 2
and
d ¯ = 4 c w d z s 2
It is worth noting that R t ¯ d ¯ approaches zero as t p approaches d, leading to the same result obtained using Equation (8a) instead of Equation (8b) when t p = d . In other words, Equation (19) is a general equation that can be used both for t p = d and t p > d .
Calculating I crit for different values of d, a critical curve is obtained (Figure 4) which allows the stability condition of a slope to be readily assessed on the basis of intensity R and duration d of an expected rainfall. Nevertheless, since a portion of rainfall can generally infiltrate into the slope taking into account the potential infiltration rate (Equations (6a) and (6b)), it is convenient to calculate a critical duration, d c , using Equation (19) in which the condition I crit = p is imposed. As a result, if an expected rainfall is characterized by a duration d < d c , the slope is stable independently on the expected rainfall intensity R, making the concept of critical duration very useful from a predicting point of view. Contrariwise, a landslide occurs if d d c (i.e., if the rainfall is sufficiently prolonged in time), provided that I I crit . In other words, a landslide can be triggered only if the point representative of an expected rainfall with intensity R and duration d, falls into the area highlighted in red in Figure 4. As shown in the flow chart of Figure 5, the solution procedure is very simple-to-use and is hence suitable for routine applications.

3. Application of the Method

In this section, the proposed method is applied to analyze two case studies documented in the literature.
The first case study is drawn from a paper by [50] and concerns a rainfall-induced shallow landslide occurred in a site near the city of Bologna (Northern Italy). The slope can be schematized as an infinite slope with an average inclination α = 14°. It was affected in the past by landslide movements that involved an inorganic clay with high plasticity [51]. Two failure surfaces were localized at the depths (measured in the vertical direction) of 0.80 m (z = 0.78 m) and 1.40 m (z = 1.36 m), respectively [50]. Direct shear tests performed on reconstructed samples provided a residual friction angle φ′ = 12° and a nil intercept cohesion. Additional strength contributions due to the presence of roots can be neglected at the depths where the slip surfaces were found [51]. The measured hydraulic conductivity was k = 4.6 × 10−7 m/s. Since no infiltration tests was carried out, the potential infiltration rate is approximately evaluated using Equation (7) that provides p = 38.4 mm/day. Experimental data concerning the volumetric water content ϑ and suction s are documented by [50]. To determine a retention curve for the soil involved in the landslide, these data are fitted using the following relationship, which was originally proposed by [52] and subsequently modified by [53]:
ϑ ϑ R ϑ S ϑ R = 1 1 + β s n 1 1 n
where ϑ S is the volumetric water content at saturation, ϑ R is the residual volumetric water content, and β and n are model parameters. Table 1 reports the values of these parameters that provided the best agreement between experimental data and Equation (22), as documented in Figure 6. Once the retention curve is obtained, the coefficient of water volume change m w is evaluated as the slope of this curve at the initial suction u wo .
Daily rainfall recorded from October 2004 to August 2006 are available (Figure 7). The present method is used to analyze the slope response to three rainfall events, which are indicated by red arrows in Figure 7. It is worth noting that the rainfall event characterized by the highest value of intensity (about 140 mm/day) in Figure 7 was not considered in the present study because it did not cause any failure mechanism due to the very high value of suction measured before this event (about 1000 kPa). Rain intensity, initial suction (measured just before these events) and the associated values of m w are included in Table 2. Duration of each event is 24 h.
The values of suction in Table 2 are those measured at the depth of 0.80 m, where the upper slip surface was detected. Since no measurement is available at the depth of 1.40 m, where the lower slip surface was detected, the values of suction measured at 0.80 m are also assigned to the depth of 1.40 m. This assumption is justified by the fact that the available measurements provide an essentially constant profile of suction with depth [50].
As documented by [50], some instability phenomena were observed in the period March–May of 2006 (Figure 7). Therefore, only the third rainfall event among those considered in the present study caused a slope failure at the above-mentioned depths (0.80 m and 1.40 m).
Figure 8, Figure 9 and Figure 10 present the critical curves calculated at the depth of 0.80 m using the procedure described in the previous section, for each value of u wo measured at this depth (Table 2). As can be seen, no slope failure occurs owing to the first rainfall events considered (Figure 8 and Figure 9). In this case, in fact, the rainfall duration d is always less than the critical threshold d c , the values of which are indicated in Table 3. In addition, since the rainfall intensity is greater than the potential infiltration rate (R > p), a portion of the rainfall infiltrates into the slope (Equations (6a) and (6b)).
By contrast, rainfall totally infiltrates into the slope when the third event is considered (R < p). In this case, it also results that d is greater than d c (Table 3) and the point representative of this event is located above the critical curve (Figure 10). As a result, a landslide is triggered at the depth considered in accord with what actually observed.
Similar results are obtained when a slip surface located at the depth of 1.40 m is considered. The slope is stable for the first two rainfall events (Figure 11 and Figure 12), whereas a failure occurs owing to the third event (Figure 13). Summarizing, although the first two precipitations were characterized by a higher intensity, the landslide was triggered by the third rainfall event when the initial suction was significantly lower than that measured before the other events considered. These results confirm the importance of the initial suction on the slope stability.
Finally, for the sake of completeness, Figure 14, Figure 15 and Figure 16 show a comparison between the evolution of u w calculated at the depth of 0.80 m using Equations (8a) and (8b), and the threshold u c at the same depth provided by Equation (16). These graphs also allow an evaluation of the time at which failure occurs.
In agreement with the results previously shown, the change in pore pressure is always less than its critical value ( u w < u c ) for the first two rainfall events (Figure 14 and Figure 15), whereas u w exceeds u c owing to the third event (Figure 16). In this last case, a triggering condition ( u w = u c ) occurs 27 h after the beginning of the rainfall.
Analogous remarks can be made about the results obtained at the depth of 1.40 m (Figure 17, Figure 18 and Figure 19). Specifically, the change in pore pressure exceeds the corresponding critical value owing to the third event only. In this case, failure occurs just at the end of the rainfall (i.e., at t = 24 h), preceding that occurred at 0.80 m.
The second example is taken from a paper by [54]. This example was inspired by a real case [55] which concerns a shallow landslide occurred in October 1994, in the Province of Girona (North-Eastern Spain) after a period of intense rain. The landslide involved a road embankment and caused soil displacements in the order of some meters. The failure process was simulated by [54] using the Material Point Method (MPM), an advanced and effective numerical technique. The embankment was made up of sandy clay with low to medium plasticity. The available soil properties are summarized in Table 4.
The soil was unsaturated, and the failure mechanism involved the upper portion of the slope to a depth of about 1.5 m (z = 1.27 m). An infinite slope model with α = 32.5° can be reasonably used to schematize the embankment portion affected by failure (Figure 20).
Measurements of suction are not available. Thus, u wo is estimated in the present study using Equation (17), in which c t is the initial apparent cohesion assumed by [54] for the involved soil ( c t = 6.7 kPa). The resulting value is u wo = 18.4 kPa. The authors of [54] also used the Van Genuchten retention curve [52] to relate the degree of saturation to suction (the parameters of this curve are listed in their Table 4), from which a value of m w = 0.00025 kPa−1 is calculated at u wo , under the assumption that the soil void ratio remains unchanged during wetting. In addition, lacking specific experimental data, p is evaluated using Equation (7) from which p = 7.30 mm/day is obtained. Daily rainfall recorded in the period from 1 September to 31 October 1994 are shown in Figure 21. Referring to the rain event with the highest intensity (R = 123 mm/day) and duration d = 24 h, only a portion of this rain can infiltrate into the slope in accordance with Equations (6a) and (6b). In addition, the critical duration is 5.5 h.
Figure 22 shows the critical curve calculated at a depth of 1.5 m using the proposed method. As can be seen, rainfall duration is greater than the critical one ( d > d c ) and the point representative of the considered rain event (R = 123 mm/day and d = 24 h) falls into the instability region. This result is consistent with the conclusions of the analysis performed by [54] using MPM.

4. Discussion

The approach presented in this study allows a preliminary prediction of the occurrence of rainfall-induced shallow landslides in unsaturated soils due to expected rainfall scenarios, under the hypothesis that the rainfall intensity is constant over time. Basically, it is developed referring to the scale of slope. Indeed, the specific characteristics of the considered slope are taken into account, such as geometry, geotechnical properties and suction existing at the depth of the failure surface before rainfall. These characteristics make the method suitable to be employed in the context of an early warning system.
The method is inspired from other studies published in the literature [19,39]. However, novel aspects are introduced in the present work. Compared to [39], the present paper is aimed to the prediction of rainfall-induced shallow landslides in unsaturated soils by the employment of some critical curves of analytical derivation, which are not considered in [39]. Compared to the paper [19], the relationship between the time at which the change in pore water pressure takes the peak value (tp) and rainfall duration (d) is presented. It is shown that this relationship is a function of depth and hydraulic conductivity. In particular, tp could be significantly greater than d when depth increases and hydraulic conductivity reduces (Figure 2). As a result, the evolution of uw with time takes a different shape (Figure 3). In addition, this paper introduces the concept of critical duration which represents a threshold value of rainfall duration below which a landslide cannot occur. This threshold is very useful for practical purposes.
The solution procedure is very simple-to-use and is hence suitable for routine applications. However, the proposed approach is characterized by some approximate assumptions that have to be kept in mind when it is applied to real cases. Specifically, the method is based on a simplified hydrological model and an infinite slope scheme with constant slope angle, thickness, and homogeneous soil properties. Although these assumptions are generally accepted in engineering practice for the analysis of shallow landslides, the proposed method must be used with caution when the slope consists of markedly anisotropic and heterogeneous soils or is characterized by a complex geometry requiring two or three-dimensional hydromechanical models. The proposed method is suitable to analyze the triggering condition of rainfall-induced shallow landslides when the failure surface develops in the unsaturated portion of the slope. On the contrary, when the failure surface concerns the saturated zone, a different approach has to be employed [19,20]. In addition, the proposed model should be applicable for slopes under wet conditions as usually occurs during the rainy periods when the soil is close to saturation and the changes in the involved soil parameters are generally not significant. On the contrary, this model could not be effective for drier slopes when the soil properties strongly depend on suction. In this regard, a study is currently underway to extend the present method to these conditions. In addition, it is worth noting that the value of the suction measured at the depth of the failure surface before rainfall, u wo , plays a crucial role on the slope stability. Therefore, it appears clear that u wo has to be carefully evaluated at the depths of interest using suitable in situ or laboratory measurements. Finally, since the initial suction often varies with depth, the method could be employed to assess the slope stability at the different depths where the initial suction is known, using for any depth the corresponding value of suction.

5. Conclusions

A method of practical interest is presented for predicting rainfall-induced shallow landslide triggering in unsaturated soils. The proposed method is based on some analytical solutions for evaluating the change in suction due to rain infiltration, and the simple scheme of infinite slope to calculate a threshold of the suction change that determines a condition of incipient failure of the slope. Specifically, the approach provides a critical curve defining the rainfall events that are able to trigger a failure mechanism at a given depth where suction existing before rainfall is known. Substantially, the method directly relates landslide occurrence to the intensity and duration of an expected rainfall. In addition, a critical value of the rainfall duration can be readily evaluated, below which no slope failure occurs at the considered depth. The method is very simple to use and can be easily implemented in a common electronic sheet. Moreover, few parameters are required as input data, which in addition can be obtained from conventional tests. All these features make the proposed method fairly attractive for predictive purposes, as also confirmed by the applications shown in the paper to some case studies documented in the literature.

Author Contributions

Conceptualization, A.T., L.P. and E.C.; Writing—original draft, A.T., L.P. and E.C.; Writing—review & editing, A.T., L.P. and E.C. All authors have read and agreed to the published version of the manuscript.

Funding

This research was funded by “Fondo Sociale Europeo REACT-EU Programma Operativo Nazionale (PON) Ricerca e Innovazione 2014–2020”.

Institutional Review Board Statement

Not applicable.

Informed Consent Statement

Not applicable.

Data Availability Statement

The data presented in this study are available on request from the corresponding author.

Conflicts of Interest

The authors declare no conflict of interest.

References

  1. Cruden, D.M.; Varnes, D.J. Landslides—Investigation and Mitigation; Special Report No. 247, Transportation Research Board; National Academy Press: Washington, DC, USA, 1996. [Google Scholar]
  2. Campbell, R.H. Soil Slips, Debris Flows, and Rainstorms in the Santa Monica Mountains and Vicinity, Southern California; US Geological Survey Professional Paper; United States Government Printing Office: Washington, DC, USA, 1975; Volume 851. [Google Scholar]
  3. Eckersley, D. Instrumented laboratory flow slides. Géotechnique 1990, 40, 489–502. [Google Scholar] [CrossRef]
  4. Olivares, L.; Picarelli, L. Shallow flowslides triggered by intense rainfalls on natural slopes covered by loose unsaturated pyroclastic soils. Géotechnique 2003, 53, 283–287. [Google Scholar] [CrossRef]
  5. Cascini, L.; Cuomo, S.; Sorbino, G. Flow-like mass movements in pyroclastic soils: Remarks on the modelling of triggering mechanisms. Ital. Geotech. J. 2005, 39, 11–31. [Google Scholar]
  6. Picarelli, L.; Olivares, L.; Comegna, L.; Damiano, E. Mechanical aspects of flow-like movements in granular and fine grained soils. Rock Mech. Rock Eng. 2008, 41, 179–197. [Google Scholar] [CrossRef]
  7. Hungr, O.; Leroueil, S.; Picarelli, L. The Varnes classification of landslide types, an update. Landslides 2014, 11, 167–194. [Google Scholar] [CrossRef]
  8. Troncone, A.; Pugliese, L.; Lamanna, G.; Conte, E. Prediction of rainfall-induced landslide movements in the presence of stabilizing piles. Eng. Geol. 2021, 288, 106143. [Google Scholar] [CrossRef]
  9. Troncone, A.; Pugliese, L.; Parise, A.; Conte, E. Prediction of Slow-Moving Landslide Mobility Due to Rainfall Using a Two-Wedges Model. Water 2021, 13, 2030. [Google Scholar] [CrossRef]
  10. Montrasio, L.; Valentino, R. Experimental analysis and modelling of shallow landslides. Landslides 2007, 4, 291–296. [Google Scholar] [CrossRef]
  11. Van Asch, T.W.J.; Van Beek, L.P.H.; Bogaard, T.A. Problems in predicting the mobility of slow-moving landslides. Eng. Geol. 2007, 91, 46–55. [Google Scholar] [CrossRef]
  12. Guzzetti, F.; Peruccacci, S.; Rossi, M.; Stark, C. The rainfall intensity-duration control of shallow landslides and debris flow: On update. Landslides 2008, 5, 3–17. [Google Scholar] [CrossRef]
  13. Cascini, L.; Cuomo, S.; Pastor, M.; Sorbino, G. Modeling of Rainfall-Induced Shallow Landslides of the Flow Types. J. Geotech. Geoenviron. Eng. ASCE 2010, 136, 85–98. [Google Scholar] [CrossRef]
  14. Pagano, L.; Picarelli, L.; Rianna, G.; Urciuoli, G. A simple numerical procedure for timely prediction of precipitation-induced landslides in unsaturated pyroclastic soils. Landslides 2010, 7, 273–289. [Google Scholar] [CrossRef]
  15. Conte, E.; Troncone, A. Analytical Method for Predicting the Mobility of Slow-Moving Landslides owing to Groundwater Fluctuations. J. Geotech. Geoenviron. Eng. ASCE 2011, 137, 777–784. [Google Scholar] [CrossRef]
  16. Askarinejad, A.; Casini, F.; Bischof, P.; Springman, S.F. Rainfall induced instabilities: A field experiment on a silty sand slope in northern Switzerland. Ital. Geotech. J. 2012, 3, 50–71. [Google Scholar]
  17. Conte, E.; Troncone, A. Stability analysis of infinite clayey slopes subjected to pore pressure changes. Géotechnique 2012, 62, 87–91. [Google Scholar] [CrossRef]
  18. Conte, E.; Donato, A.; Troncone, A. A simplified method for predicting rainfall-induced mobility of active landslides. Landslides 2017, 14, 35–45. [Google Scholar] [CrossRef]
  19. Conte, E.; Pugliese, L.; Troncone, A. A Simple Method for Predicting Rainfall-Induced Shallow Landslides. J. Geotech. Geoenviron. Eng. ASCE 2022, 148, 4022079. [Google Scholar] [CrossRef]
  20. Troncone, A.; Pugliese, L.; Conte, E. Rainfall Threshold for Shallow Landslide Triggering Due to Rising Water Table. Water 2022, 14, 2966. [Google Scholar] [CrossRef]
  21. Fredlund, D.G.; Rahardjo, H. Soil Mechanics for Unsaturated Soils; Wiley: New York, NY, USA, 1993; p. 500. ISBN 978-0-471-85008-3. [Google Scholar]
  22. Khire, M.V.; Benson, C.H.; Bosscher, P.J. Capillary barriers: Design variables and water balance. J. Geotech. Geoenviron. Eng. 2000, 126, 695–708. [Google Scholar] [CrossRef]
  23. Paronuzzi, P.; Del Fabbro, M.; Bolla, A. Soil moisture profiles of unsaturated colluvial slopes susceptible to rainfall-induced landslides. Geosciences 2022, 12, 6. [Google Scholar] [CrossRef]
  24. Peranič, J.; Mihalič Arbanas, S.; Arbanas, Z. Importance of the unsaturated zone in landslide reactivation on flysch slopes: Observations from Valiči Landslide, Croatia. Landslides 2021, 18, 3737–3751. [Google Scholar] [CrossRef]
  25. Yang, K.-H.; Uzuoka, R.; Thuo, J.N.; Lin, G.-L.; Nakai, Y. Coupled hydro-mechanical analysis of two unstable unsaturated slopes subject to rainfall infiltration. Eng. Geol. 2017, 216, 13–30. [Google Scholar] [CrossRef]
  26. Zhang, J.; Zhu, D.; Zhang, S. Shallow slope stability evolution during rainwater infiltration considering soil cracking state. Comput. Geotech. 2020, 117, 103285. [Google Scholar] [CrossRef]
  27. Troncone, A.; Pugliese, L.; Parise, A.; Conte, E. A simple method to reduce mesh dependency in modelling landslides involving brittle soils. Géotech. Lett. 2022, 12, 167–173. [Google Scholar] [CrossRef]
  28. Di Maio, C.; Vassallo, R.; Vallario, M.; Pascale, S.; Sdao, F. Structure and kinematics of a landslide in a complex clayey formation of the Italian Southern Apennines. Eng. Geol. 2010, 116, 311–322. [Google Scholar] [CrossRef]
  29. Lollino, P.; Santaloia, F.; Amorosi, A.; Cotecchia, F. Delayed failure of quarry slopes in stiff clays: The case of the Lucera landslide. Géotechnique 2011, 61, 861–874. [Google Scholar] [CrossRef]
  30. Conte, E.; Donato, A.; Pugliese, L.; Troncone, A. Analysis of the Maierato landslide (Calabria, Southern Italy). Landslides 2018, 15, 1935–1950. [Google Scholar] [CrossRef]
  31. Conte, E.; Pugliese, L.; Troncone, A. Post-failure stage simulation of a landslide using the material point method. Eng. Geol. 2019, 253, 149–159. [Google Scholar] [CrossRef]
  32. Troncone, A.; Conte, E.; Pugliese, L. Analysis of the Slope Response to an Increase in Pore Water Pressure Using the Material Point Method. Water 2019, 11, 1446. [Google Scholar] [CrossRef]
  33. Su, X.; Xia, X.; Liang, Q.; Hou, J. A coupled discrete element and depth-averaged model for dynamic simulation of flow-like landslides. Comput. Geotech. 2022, 141, 104537. [Google Scholar] [CrossRef]
  34. Conte, E.; Pugliese, L.; Troncone, A. Post-failure analysis of the Maierato landslide using the material point method. Eng. Geol. 2020, 277, 105788. [Google Scholar] [CrossRef]
  35. Troncone, A.; Pugliese, L.; Conte, E. Analysis of an excavation-induced landslide in stiff clay using the material point method. Eng. Geol. 2022, 296, 106479. [Google Scholar] [CrossRef]
  36. Troncone, A.; Pugliese, L.; Conte, E. Run-out simulation of a landslide triggered by an increase in the groundwater level using the material point method. Water 2020, 12, 2817. [Google Scholar] [CrossRef]
  37. Pu, J.H.; Tait, S.; Guo, Y.; Huang, Y.; Hanmaiahgari, P.R. Dominant features in three-dimensional turbulence structure: Comparison of non-uniform accelerating and decelerating flows. Environ. Fluid Mech. 2018, 18, 395–416. [Google Scholar] [CrossRef]
  38. Pu, J.H. Velocity Profile and Turbulence Structure Measurement Corrections for Sediment Transport-Induced Water-Worked. Bed. Fluids 2021, 6, 86. [Google Scholar] [CrossRef]
  39. Conte, E.; Troncone, A. A method for the analysis of soil slips triggered by rainfall. Géotechnique 2012, 62, 187–192. [Google Scholar] [CrossRef]
  40. Conte, E.; Cosentini, R.M.; Troncone, A. Shear and dilatational wave velocities for unsaturated soils. Soil Dyn. Earthq. Eng. 2009, 29, 946–952. [Google Scholar] [CrossRef]
  41. Conte, E.; Cosentini, R.M.; Troncone, A. Geotechnical parameters from Vp and Vs measurements in unsaturated soils. Soils Found. 2009, 49, 689–698. [Google Scholar] [CrossRef]
  42. Tarantino, A.; Di Donna, A. Mechanics of unsaturated soils: Simple approaches for routine engineering practice. Ital. Geotech. J. 2019, 4. [Google Scholar]
  43. Wilson, G.W.; Fredlund, D.G.; Barbour, S.L. Coupled soil-atmosphere modeling for soil evaporation. Can. Geotech. J. 1994, 31, 151–161. [Google Scholar] [CrossRef]
  44. Blight, G.E. Interaction between the atmosphere and the Earth. Géotechnique 1997, 47, 715–766. [Google Scholar]
  45. Leroueil, S. Natural slopes and cuts: Movement and failure mechanisms. Géotechnique 2001, 51, 197–243. [Google Scholar] [CrossRef]
  46. Conte, E.; Troncone, A. Simplified Approach for the Analysis of Rainfall-Induced Shallow Landslides. J. Geotech. Geoenviron. Eng. 2012, 138, 398–406. [Google Scholar] [CrossRef]
  47. Carlslaw, H.L.; Jaeger, J.C. Conduction of Heat in Solids; Oxford University Press: Oxford, UK, 1959; p. 522. ISBN 9780198533689. [Google Scholar]
  48. Iverson, R.M. Landslide triggering by rain infiltration. Water Resour. Res. 2000, 36, 1897–1910. [Google Scholar] [CrossRef]
  49. Fredlund, D.G.; Xing, A.; Fredlund, M.D.; Barbour, S.L. The relationship of the unsaturated soil shear strength to the soil-water characteristic curve. Can. Geotech. J. 1996, 33, 440–448. [Google Scholar] [CrossRef]
  50. Bittelli, M.; Valentino, R.; Salvatorelli, F.; Rossi Pisa, P. Monitoring soil-water and displacement conditions leading to landslide occurrence in partially saturated clays. Geomorphology 2012, 173–174, 161–173. [Google Scholar] [CrossRef]
  51. Tosi, M. Root tensile strength relationships and their slope stability implications of three shrub species in the Northern Apennines (Italy). Geomorphology 2007, 87, 268–283. [Google Scholar] [CrossRef]
  52. Van Genuchten, M.T. A closed-form equation for predicting the hydraulic conductivity of unsaturated soils. Soil Sci. Soc. Am. 1980, 44, 892–898. [Google Scholar] [CrossRef]
  53. Lu, N.; Godt, J.W.; Wu, D.T. A closed-form equation for effective stress in unsaturated soil. Water Resour. Res. 2010, 46, W05515. [Google Scholar] [CrossRef]
  54. Yerro, A.; Alonso, E.E.; Pinyol, N.M. The material point method for unsaturated soils. Géotechnique 2015, 65, 201–217. [Google Scholar] [CrossRef]
  55. Alonso, E.E.; Pinyol, N.M.; Purzin, A.M. Geomechanics of Failures. Advanced Topics; Springer: Dordrecht, The Netherlands, 2010. [Google Scholar]
Figure 1. Scheme used for the analysis of the rain infiltration process in an infinite slope.
Figure 1. Scheme used for the analysis of the rain infiltration process in an infinite slope.
Water 14 03180 g001
Figure 2. Relationship between tp and d, for different values of a.
Figure 2. Relationship between tp and d, for different values of a.
Water 14 03180 g002
Figure 3. Evolution of uw with time when tp = d (blue curve) and when tp > d (red curve).
Figure 3. Evolution of uw with time when tp = d (blue curve) and when tp > d (red curve).
Water 14 03180 g003
Figure 4. Example of critical curve.
Figure 4. Example of critical curve.
Water 14 03180 g004
Figure 5. Flow chart illustrating the use of the proposed method. The critical duration, d c , is calculated using Equation (19) in which I crit = p is imposed.
Figure 5. Flow chart illustrating the use of the proposed method. The critical duration, d c , is calculated using Equation (19) in which I crit = p is imposed.
Water 14 03180 g005
Figure 6. Comparison between the theoretical retention curve (Equation (22)) and some experimental data obtained from laboratory tests (modified from [50]).
Figure 6. Comparison between the theoretical retention curve (Equation (22)) and some experimental data obtained from laboratory tests (modified from [50]).
Water 14 03180 g006
Figure 7. Available rainfall recordings (modified from [50]).
Figure 7. Available rainfall recordings (modified from [50]).
Water 14 03180 g007
Figure 8. Comparison between the rainfall event recorded on 10 April 2005 and the critical curve calculated at the depth of 0.80 m.
Figure 8. Comparison between the rainfall event recorded on 10 April 2005 and the critical curve calculated at the depth of 0.80 m.
Water 14 03180 g008
Figure 9. Comparison between the rainfall event recorded on 5 October 2005 and the critical curve calculated at the depth of 0.80 m.
Figure 9. Comparison between the rainfall event recorded on 5 October 2005 and the critical curve calculated at the depth of 0.80 m.
Water 14 03180 g009
Figure 10. Comparison between the rainfall event recorded on 1 May 2006 and the critical curve calculated at the depth of 0.80 m.
Figure 10. Comparison between the rainfall event recorded on 1 May 2006 and the critical curve calculated at the depth of 0.80 m.
Water 14 03180 g010
Figure 11. Comparison between the rainfall event recorded on 10 April 2005 and the critical curve calculated at the depth of 1.40 m.
Figure 11. Comparison between the rainfall event recorded on 10 April 2005 and the critical curve calculated at the depth of 1.40 m.
Water 14 03180 g011
Figure 12. Comparison between the rainfall event recorded on 5 October 2005 and the critical curve calculated at the depth of 1.40 m.
Figure 12. Comparison between the rainfall event recorded on 5 October 2005 and the critical curve calculated at the depth of 1.40 m.
Water 14 03180 g012
Figure 13. Comparison between the rainfall event recorded on 1 May 2006 and the critical curve calculated at the depth of 1.40 m.
Figure 13. Comparison between the rainfall event recorded on 1 May 2006 and the critical curve calculated at the depth of 1.40 m.
Water 14 03180 g013
Figure 14. Evolution of the change in pore water pressure, u w , with time due to the rainfall of 10 April 2005, with indication of the critical threshold, u c , at the depth of 0.80 m.
Figure 14. Evolution of the change in pore water pressure, u w , with time due to the rainfall of 10 April 2005, with indication of the critical threshold, u c , at the depth of 0.80 m.
Water 14 03180 g014
Figure 15. Evolution of the change in pore water pressure, u w , with time due to the rainfall of 5 October 2005, with indication of the critical threshold, u c , at the depth of 0.80 m.
Figure 15. Evolution of the change in pore water pressure, u w , with time due to the rainfall of 5 October 2005, with indication of the critical threshold, u c , at the depth of 0.80 m.
Water 14 03180 g015
Figure 16. Evolution of the change in pore water pressure, u w , with time due to the rainfall of 1 May 2006, with indication of the critical threshold, u c , at the depth of 0.80 m.
Figure 16. Evolution of the change in pore water pressure, u w , with time due to the rainfall of 1 May 2006, with indication of the critical threshold, u c , at the depth of 0.80 m.
Water 14 03180 g016
Figure 17. Evolution of the change in pore water pressure, u w , with time due to the rainfall of 10 April 2005, with indication of the critical threshold, u c , at the depth of 1.40 m.
Figure 17. Evolution of the change in pore water pressure, u w , with time due to the rainfall of 10 April 2005, with indication of the critical threshold, u c , at the depth of 1.40 m.
Water 14 03180 g017
Figure 18. Evolution of the change in pore water pressure, u w , with time due to the rainfall of 5 October 2005, with indication of the critical threshold, u c , at the depth of 1.40 m.
Figure 18. Evolution of the change in pore water pressure, u w , with time due to the rainfall of 5 October 2005, with indication of the critical threshold, u c , at the depth of 1.40 m.
Water 14 03180 g018
Figure 19. Evolution of the change in pore water pressure, u w , with time due to the rainfall of 1 May 2006, with indication of the critical threshold, u c , at the depth of 1.40 m.
Figure 19. Evolution of the change in pore water pressure, u w , with time due to the rainfall of 1 May 2006, with indication of the critical threshold, u c , at the depth of 1.40 m.
Water 14 03180 g019
Figure 20. Schematic section of the embankment affected by failure (modified from [55]).
Figure 20. Schematic section of the embankment affected by failure (modified from [55]).
Water 14 03180 g020
Figure 21. Available rainfall recordings (modified from [55]).
Figure 21. Available rainfall recordings (modified from [55]).
Water 14 03180 g021
Figure 22. Comparison between the considered rainfall event and the critical curve calculated at the depth of 1.50 m.
Figure 22. Comparison between the considered rainfall event and the critical curve calculated at the depth of 1.50 m.
Water 14 03180 g022
Table 1. Van Genuchten model’s parameters (data drawn from [50]).
Table 1. Van Genuchten model’s parameters (data drawn from [50]).
ϑ R ϑ S β (kPa−1)n
0.070.540.0951.3
Table 2. Rainfall intensity and initial suction for the events considered in the analyses (data drawn from [50]), along with the corresponding values of mw.
Table 2. Rainfall intensity and initial suction for the events considered in the analyses (data drawn from [50]), along with the corresponding values of mw.
RainfallR (mm/day) u w o   ( kPa ) m w   ( kPa 1 )
10 April 200554−330.0036
5 October 200577.5−400.0019
1 May 200632.5−4.90.0072
Table 3. Values of the critical duration d c (in hours) calculated considering the initial suction existing before the considered rainfall events.
Table 3. Values of the critical duration d c (in hours) calculated considering the initial suction existing before the considered rainfall events.
10 April 20055 October 20051 May 2006
z s = 0.80 m26420020
z s = 1.40 m30522710
Table 4. Soil properties of the embankment (data from [54,55]).
Table 4. Soil properties of the embankment (data from [54,55]).
γ (kN/m3) c’ (kPa) ϕ   ( ° ) k (m/s)
2002010−7
Publisher’s Note: MDPI stays neutral with regard to jurisdictional claims in published maps and institutional affiliations.

Share and Cite

MDPI and ACS Style

Troncone, A.; Pugliese, L.; Conte, E. A Simplified Analytical Method to Predict Shallow Landslides Induced by Rainfall in Unsaturated Soils. Water 2022, 14, 3180. https://doi.org/10.3390/w14193180

AMA Style

Troncone A, Pugliese L, Conte E. A Simplified Analytical Method to Predict Shallow Landslides Induced by Rainfall in Unsaturated Soils. Water. 2022; 14(19):3180. https://doi.org/10.3390/w14193180

Chicago/Turabian Style

Troncone, Antonello, Luigi Pugliese, and Enrico Conte. 2022. "A Simplified Analytical Method to Predict Shallow Landslides Induced by Rainfall in Unsaturated Soils" Water 14, no. 19: 3180. https://doi.org/10.3390/w14193180

APA Style

Troncone, A., Pugliese, L., & Conte, E. (2022). A Simplified Analytical Method to Predict Shallow Landslides Induced by Rainfall in Unsaturated Soils. Water, 14(19), 3180. https://doi.org/10.3390/w14193180

Note that from the first issue of 2016, this journal uses article numbers instead of page numbers. See further details here.

Article Metrics

Back to TopTop