Economic Risk Potential of Infrastructure Failure Considering In-Land Waterways
Abstract
1. Introduction
- Which industries and company locations are directly affected by IWT failure?
- What business decisions may result from lasting availability reductions of IWT?
2. Literature Review
2.1. Externalities of Transport Infrastructure
2.2. Risk Assessment of Waterways Infrastructure
2.2.1. Inland Waterway Transport
2.2.2. Criticality Assessment of IWT
2.3. Supply Chain Management and Dependency on Transport Infrastructure
2.3.1. Supply Chain Risk Management and Risks as Disruptive Events
2.3.2. Proximity of Business Locations and Transport Infrastructure
2.3.3. Impact of Transport Disruptions on Business Activities
3. Research Methodology
3.1. Concept
3.2. Economic Risk Potential
3.2.1. Proximity Analysis
3.2.2. Empirical Studies
4. Economic Risk Potential of Infrastructure Failure in Case of the West German Canal Network
4.1. West German Canal Network
4.2. Economic Risk Potential
4.2.1. Proximity Analysis
4.2.2. Empirical Studies
- ▪
- Early warning time is of high importance for firms to be able to react to restrictions of IWT,
- ▪
- Infrastructure disruptions hit firms especially hard due to a lack of road and rail capacities, and
- ▪
- Whether the adverse effects of reduced infrastructure availability can be considerably reduced by sufficient early warning time depends on the vulnerability of the company.
5. Summary, Discussion, and Conclusions
Author Contributions
Funding
Institutional Review Board Statement
Informed Consent Statement
Data Availability Statement
Acknowledgments
Conflicts of Interest
References
- Haimes, Y.Y.; Jiang, P. Leontief-Based Model of Risk in Complex Interconnected Infrastructures. J. Infrastruct. Syst. 2001, 7, 1–12. [Google Scholar] [CrossRef]
- Rinaldi, S.M.; Peerenboom, J.; Kelly, T.K. Identifying, understanding, and analyzing critical infrastructure interdependencies. IEEE Control Syst. 2001, 21, 11–25. [Google Scholar] [CrossRef]
- Buldyrev, S.V.; Parshani, R.; Paul, G.; Stanley, H.E.; Havlin, S. Catastrophic cascade of failures in interdependent networks. Nature 2010, 464, 1025–1028. [Google Scholar] [CrossRef] [PubMed]
- Masterplan Binnenschifffahrt; BMVI: Berlin, Germany, 2019.
- Hosseini, S.; Barker, K. Modeling infrastructure resilience using Bayesian networks: A case study of inland waterway ports. Comput. Ind. Eng. 2016, 93, 252–266. [Google Scholar] [CrossRef]
- Kotowska, I.; Mańkowska, M.; Pluciński, M. Inland Shipping to Serve the Hinterland: The Challenge for Seaport Authorities. Sustainability 2018, 10, 3468. [Google Scholar] [CrossRef]
- Wang, S.-L.; Schonfeld, P. Scheduling Interdependent Waterway Projects through Simulation and Genetic Optimization. J. Waterw. Port Coast. Ocean Eng. 2005, 131, 89–97. [Google Scholar] [CrossRef]
- Oztanriseven, F.; Nachtmann, H. Modeling dynamic behavior of navigable inland waterways. Marit. Econ. Logist. 2020, 22, 173–195. [Google Scholar] [CrossRef]
- Hasan, K.R.; Zhang, W.; Shi, W. Barriers to intermodal freight diversion: A total logistics cost approach. Marit. Econ. Logist. 2021, 23, 569–586. [Google Scholar] [CrossRef]
- Janic, M. An assessment of risk and safety in civil aviation. J. Air Transp. Manag. 2000, 6, 43–50. [Google Scholar] [CrossRef]
- Ranieri, L.; Digiesi, S.; Silvestri, B.; Roccotelli, M. A Review of Last Mile Logistics Innovations in an Externalities Cost Reduction Vision. Sustainability 2018, 10, 782. [Google Scholar] [CrossRef]
- Santos, G.; Behrendt, H.; Maconi, L.; Shirvani, T.; Teytelboym, A. Part I: Externalities and economic policies in road transport. Res. Transp. Econ. 2010, 28, 2–45. [Google Scholar] [CrossRef]
- Dubé, J.; Thériault, M.; Des Rosiers, F. Commuter rail accessibility and house values: The case of the Montreal South Shore, Canada, 1992–2009. Transp. Res. Part A Policy Pract. 2013, 54, 49–66. [Google Scholar] [CrossRef]
- Efthymiou, D.; Antoniou, C. How do transport infrastructure and policies affect house prices and rents? Evidence from Athens, Greece. Transp. Res. Part A Policy Pract. 2013, 52, 1–22. [Google Scholar] [CrossRef]
- Vierth, I.; Merkel, A. Internalization of external and infrastructure costs related to maritime transport in Sweden. Res. Transp. Bus. Manag. 2020, 58, 100580. [Google Scholar] [CrossRef]
- Deng, T. Impacts of Transport Infrastructure on Productivity and Economic Growth: Recent Advances and Research Challenges. Transp. Rev. 2013, 33, 686–699. [Google Scholar] [CrossRef]
- Hulten, C.R.; Bennathan, E.; Srinivasan, S. Infrastructure, Externalities, and Economic Development: A Study of the Indian Manufacturing Industry. World Bank Econ. Rev. 2006, 20, 291–308. [Google Scholar] [CrossRef]
- Knowles, R.D.; Ferbrache, F. Evaluation of wider economic impacts of light rail investment on cities. J. Transp. Geogr. 2016, 54, 430–439. [Google Scholar] [CrossRef]
- Eberts, R.W.; McMillen, D. Chapter 38 Agglomeration economies and urban public infrastructure. Handb. Reg. Urban Economics. Appl. Urban Econ. 1999, 3, 1455–1495. [Google Scholar] [CrossRef]
- Graham, D.J. Agglomeration, Productivity and Transport Investment. J. Transp. Econ. Policy 2007, 41, 317–343. Available online: http://www.jstor.org/stable/20054024 (accessed on 1 February 2022).
- Bernacki, D.; Lis, C. Investigating the Sustainable Impact of Seaport Infrastructure Provision on Maritime Component of Supply Chain. Energies 2021, 14, 3519. [Google Scholar] [CrossRef]
- Rohács, J.; Simongáti, G. The role of inland waterway navigation in a sustainable transport system. Transport 2007, 22, 148–153. [Google Scholar] [CrossRef]
- Verkehr: Güterverkehrsstatistik der Binnenschifffahrt; Fachserie 8 Reihe 4; Destatis: Wiesbaden, Germany, 2019.
- Verkehrsinfrastrukturbericht; BMVI: Berlin, Germany, 2015.
- Ouyang, M. Review on modeling and simulation of interdependent critical infrastructure systems. Reliab. Eng. Syst. Saf. 2014, 121, 43–60. [Google Scholar] [CrossRef]
- Amiri-Ardakani, Y.; Najafzadeh, M. Pipe Break Rate Assessment While Considering Physical and Operational Factors: A Methodology based on Global Positioning System and Data-Driven Techniques. Water Resour. Manag. 2021, 35, 3703–3720. [Google Scholar] [CrossRef]
- Homaei, F.; Najafzadeh, M. A reliability-based probabilistic evaluation of the wave-induced scour depth around marine structure piles. Ocean Eng. 2020, 196, 106818. [Google Scholar] [CrossRef]
- Lenz, S. Vulnerabilität kritischer Infrastrukturen; Forschung im Bevölkerungsschutz: Volume 4; Bundesamt für Bevölkerungsschutz und Katastrophenhilfe: Bonn, Germany, 2009. [Google Scholar] [CrossRef]
- Fekete, A. Common criteria for the assessment of critical infrastructures. Int. J. Disaster Risk Sci. 2011, 2, 15–24. [Google Scholar] [CrossRef]
- Schutz Kritischer Infrastrukturen–Risiko- und Krisenmanagement: Leitfaden für Unternehmen und Behörden; Federal Ministry of the Interior and Community: Berlin, Germany, 2011.
- Theoharidou, M.; Kotzanikolaou, P.; Gritzalis, D. Risk-Based Criticality Analysis. In Critical Infrastructure Protection III; Palmer, C., Shenoi, S., Eds.; Springer: Berlin/Heidelberg, Germany, 2009; pp. 35–49. [Google Scholar]
- Utne, I.B.; Hokstad, P.; Vatn, J. A method for risk modeling of interdependencies in critical infrastructures. Reliab. Eng. Syst. Saf. 2011, 96, 671–678. [Google Scholar] [CrossRef]
- Ukkusuri, S.V.; Yushimito, W.F. A methodology to assess the criticality of highway transportation networks. J. Transp. Secur. 2009, 2, 29–46. [Google Scholar] [CrossRef]
- Novotný, P.; Markuci, J.; Titko, M.; Slivková, S.; Ŕehák, D. Practical Application of A Model For Assessing The Criticality of Railway Infrastructure Elements. Trans. VŠB Tech. Univ. Ostrav. Saf. Eng. Ser. 2015, 10, 26–32. [Google Scholar] [CrossRef][Green Version]
- Heidarzadeh, M.; Feizi, S. A cascading risk model for the failure of the concrete spillway of the Toddbrook dam, England during the August 2019 flooding. Int. J. Disaster Risk Reduct. 2022, 80, 103214. [Google Scholar] [CrossRef]
- Peng, M.; Zhang, L.M. Analysis of human risks due to dam-break floods—part 1: A new model based on Bayesian networks. Nat. Hazards 2012, 64, 903–933. [Google Scholar] [CrossRef]
- Haraguchi, M.; Lall, U. Flood risks and impacts: A case study of Thailand’s floods in 2011 and research questions for supply chain decision making. Int. J. Disaster Risk Reduct. 2015, 14, 256–272. [Google Scholar] [CrossRef]
- MacKenzie, C.A.; Santos, J.R.; Barker, K. Measuring changes in international production from a disruption: Case study of the Japanese earthquake and tsunami. Int. J. Prod. Econ. 2012, 138, 293–302. [Google Scholar] [CrossRef]
- Pakoksung, K.; Suppasri, A.; Matsubae, K.; Imamura, F. Estimating Tsunami Economic Losses of Okinawa Island with Multi-Regional-Input-Output Modeling. Geosciences 2019, 9, 349. [Google Scholar] [CrossRef]
- Oumeraci, H. Flood Risk Assessment and Mitigation for Coasts and Estuaries. In Proceedings of the Risk-Based Maintenance of Civil Structures, Delft, The Netherlands, 21 January 2003; Research School Structural Engineering: Delft, The Netherlands, 2004. [Google Scholar]
- Baroud, H.; Ramirez-Marquez, J.E.; Barker, K.; Rocco, C.M. Stochastic measures of network resilience: Applications to waterway commodity flows. Risk Anal. 2014, 34, 1317–1335. [Google Scholar] [CrossRef]
- Baroud, H.; Barker, K.; Ramirez-Marquez, J.E.; Rocco, C.M. Inherent costs and interdependent impacts of infrastructure network resilience. Risk Anal. 2015, 35, 642–662. [Google Scholar] [CrossRef]
- He, Z.; Navneet, K.; van Dam, W.; van Mieghem, P. Robustness assessment of multimodal freight transport networks. Reliab. Eng. Syst. Saf. 2021, 207, 107315. [Google Scholar] [CrossRef]
- Wang, N.; Yuen, K.F. Resilience assessment of waterway transportation systems: Combining system performance and recovery cost. Reliab. Eng. Syst. Saf. 2022, 226, 108673. [Google Scholar] [CrossRef]
- Wehrle, R.; Wiens, M.; Schultmann, F.; Akkermann, J.; Bödefeld, J. Ebenensystem zur Resilienzbewertung kritischer Verkehrsinfrastrukturen am Beispiel der Wasserstraßen. Bautechnik 2020, 97, 395–403. [Google Scholar] [CrossRef]
- Chopra, S.; Meindl, P. Supply Chain Management: Strategy, Planning, and Operation, 3rd ed.; Pearson/Prentice Hall: Hoboken, NJ, USA, 2007. [Google Scholar]
- Khan, O.; Burnes, B. Risk and supply chain management: Creating a research agenda. Int. J. Logist. Manag. 2007, 18, 197–216. [Google Scholar] [CrossRef]
- Zsidisin, G.A. A grounded definition of supply risk. J. Purch. Supply Manag. 2003, 9, 217–224. [Google Scholar] [CrossRef]
- Jüttner, U.; Peck, H.; Christopher, M. Supply chain risk management: Outlining an agenda for future research. Int. J. Logist. Res. Appl. 2003, 6, 197–210. [Google Scholar] [CrossRef]
- Rezaei, J.; van Roekel, W.S.; Tavasszy, L. Measuring the relative importance of the logistics performance index indicators using Best Worst Method. Transp. Policy 2018, 68, 158–169. [Google Scholar] [CrossRef]
- Owen, S.H.; Daskin, M.S. Strategic facility location: A review. Eur. J. Oper. Res. 1998, 111, 423–447. Available online: https://econpapers.repec.org/article/eeee-jores/v_3a111_3ay_3a1998_3ai_3a3_3ap_3a423-447.htm (accessed on 1 September 2022). [CrossRef]
- Holl, A. Manufacturing location and impacts of road transport infrastructure: Empirical evidence from Spain. Reg. Sci. Urban Econ. 2004, 34, 341–363. [Google Scholar] [CrossRef]
- García -Menéndez, L.; Martínez -Zarzoso, I.; Miguel, D.D. Determinants of Mode Choice between Road and Shipping for Freight Transport: Evidence for Four Spanish Exporting Sectors. J. Transp. Econ. Policy 2004, 38, 447–466. Available online: https://ideas.repec.org/a/tpe/jtecpo/v38y2004i3p447-466.html (accessed on 1 September 2022).
- de Bok, M. Estimation and validation of a microscopic model for spatial economic effects of transport infrastructure. Transp. Res. Part A Policy Pract. 2009, 43, 44–59. [Google Scholar] [CrossRef]
- De Bok, M.; Sanders, F. Firm Relocation and Accessibility of Locations. Transp. Res. Rec. J. Transp. Res. Board 2005, 1902, 35–43. [Google Scholar] [CrossRef]
- De Bok, M.; van Oort, F. Agglomeration economies, accessibility and the spatial choice behavior of relocating firms. J. Transp. Land Use 2011, 4, 5. [Google Scholar] [CrossRef]
- Thomas, I.; Hermia, J.; Vanelslander, T.; Verhetsel, A. Accessibility to freight transport networks in Belgium: A geographical approach. Tijdschrift voor Economische en Sociale Geografie 2003, 94, 424–438. Available online: https://www.semanticscholar.org/paper/Accessibility-to-freight-transport-networks-in-A-Thomas-Her-mia/bc9daf328b695cc05ba91132230e11819c819883 (accessed on 1 September 2022). [CrossRef]
- Bierwirth, C.; Kirschstein, T.; Meisel, F. On Transport Service Selection in Intermodal Rail/Road Distribution Networks. Bus. Res. 2012, 5, 198–219. [Google Scholar] [CrossRef]
- Meixell, M.J.; Norbis, M. A review of the transportation mode choice and carrier selection literature. Int. J. Logist. Manag. 2008, 19, 183–211. [Google Scholar] [CrossRef]
- SteadieSeifi, M.; Dellaert, N.; Nuijten, W.; van Woensel, T.; Raoufi, R. Multimodal freight transportation planning: A literature review. Eur. J. Oper. Res. 2014, 233, 1–15. [Google Scholar] [CrossRef]
- Zotti, J.; Danielis, R. Freight transport demand in the mechanical sector of Friuli Venezia Giulia: The choice between intermodal and road transport. Eur. Transp. 2004, 25–26, 9–20. Available online: https://ideas.repec.org/a/sot/journl/y2004i25-26p9-20.html (accessed on 1 September 2022).
- Arunotayanun, K.; Polak, J.W. Taste heterogeneity and market segmentation in freight shippers’ mode choice behaviour. Transp. Res. Part E: Logist. Transp. Rev. 2011, 47, 138–148. [Google Scholar] [CrossRef]
- Oum, T. A cross sectional study of freight transport demand and rail-truck competition in canada. Bell J. Econ. 1979, 10, 463–482. [Google Scholar] [CrossRef]
- Bolis, S.; Maggi, R. Logistics Strategy and Transport Service Choices: An Adaptive Stated Preference Experiment. Growth Chang. 2003, 34, 490–504. [Google Scholar] [CrossRef]
- Malmberg, A.; Maskell, P. Toward an explanation of regional specialization and industry agglomeration. Eur. Plan. Stud. 1997, 5, 25–41. [Google Scholar] [CrossRef]
- Carboni, O.A. Spatial and industry proximity in collaborative research: Evidence from Italian manufacturing firms. J. Technol. Transf. 2013, 38, 896–910. [Google Scholar] [CrossRef]
- Vedovello, C. Science parks and university-industry interaction: Geographical proximity between the agents as a driving force. Technovation 1997, 17, 491–531. [Google Scholar] [CrossRef]
- Mulley, C.; Ma, L.; Clifton, G.; Yen, B.; Burke, M. Residential property value impacts of proximity to transport infrastructure: An investigation of bus rapid transit and heavy rail networks in Brisbane, Australia. J. Transp. Geogr. 2016, 54, 41–52. [Google Scholar] [CrossRef]
- Jin, F.; Wang, C.; Li, X.; Wang, J.E. China’s regional transport dominance: Density, proximity, and accessibility. J. Geogr. Sci. 2010, 20, 295–309. [Google Scholar] [CrossRef]
- Van, V.; Coetzee, P.J.; Swanepoel, P.A. Spatial relationships and movement patterns of the air cargo industry in airport regions. J. Transp. Supply Chain Manag. 2017, 11, 10. [Google Scholar] [CrossRef]
- Button, K.J.; Leitham, S.; McQuaid, R.W.; Nelson, J.D. Transport and industrial and commercial location. Ann. Reg. Sci. 1995, 29, 189–206. [Google Scholar] [CrossRef]
- McCalla, R.J.; Slack, B.; Comtois, C. Intermodal freight terminals: Locality and industrial linkages. Can. Geogr. Géographe Can. 2001, 45, 404–413. [Google Scholar] [CrossRef]
- Shukla, V.; Waddell, P. Firm location and land use in discrete urban space: A study of the spatial structure of Dallas-Fort worth. Reg. Sci. Urban Econ. 1991, 21, 225–253. [Google Scholar] [CrossRef]
- Mejia-Dorantes, L.; Paez, A.; Vassallo, J.M. Transportation infrastructure impacts on firm location: The effect of a new metro line in the suburbs of Madrid. J. Transp. Geogr. 2012, 22, 236–250. [Google Scholar] [CrossRef]
- Huth, M.; Romeike, F. (Eds.) Risikomanagement in der Logistik: Konzepte—Instrumente—Anwendungsbeispiele, 1st ed.; Springer Gabler: Wiesbaden, Germany, 2016. [Google Scholar] [CrossRef]
- New Zealand Ministry of Foreign Affairs and Trade. The Importance of the Suez Canal to Global Trade. Available online: https://www.mfat.govt.nz/de/trade/mfat-market-reports/market-reports-middle-east/the-importance-of-the-suez-canal-to-global-trade-18-april-2021/ (accessed on 18 April 2021).
- Elliott, V.; Theodoulou, M. Merry Christmas, Your PlayStation 2 Is Stuck in Suez. The Times. Available online: https://www.thetimes.co.uk/article/merry-christmas-your-playstation-2-is-stuck-in-suez-5l8j7g2wrtm (accessed on 9 December 2004).
- Larocco, L.A. Suez Canal Blockage Is Delaying an Estimated $400 Million an Hour in Goods. CNBC. Available online: https://www.cnbc.com/2021/03/25/suez-canal-blockage-is-delaying-an-estimated-400-million-an-hour-in-goods.html (accessed on 25 March 2021).
- Craighead, C.W.; Blackhurst, J.; Rungtusanatham, M.J.; Handfield, R.B. The Severity of Supply Chain Disruptions: Design Characteristics and Mitigation Capabilities. Decis. Sci. 2007, 38, 131–156. [Google Scholar] [CrossRef]
- Fujimoto, T. Supply Chain Competitiveness and Robustness: A Lesson from the 2011 Tohoku Earthquake and Supply Chain “Virtual Dualization”. Manuf. Manag. Res. Cent. 2011, 354, 1–27. [Google Scholar]
- Ivanov, D.; Dolgui, A. Low-Certainty-Need (LCN) supply chains: A new perspective in managing disruption risks and resilience. Int. J. Prod. Res. 2019, 57, 5119–5136. [Google Scholar] [CrossRef]
- Lücker, F.; Seifert, R.W.; Biçer, I. Roles of inventory and reserve capacity in mitigating supply chain disruption risk. Int. J. Prod. Res. 2019, 57, 1238–1249. [Google Scholar] [CrossRef]
- Park, Y.; Hong, P.; Roh, J.J. Supply chain lessons from the catastrophic natural disaster in Japan. Bus. Horiz. 2013, 56, 75–85. [Google Scholar] [CrossRef]
- Farahani, R.Z.; Drezner, Z.; Asgari, N. Single facility location and relocation problem with time dependent weights and discrete planning horizon. Ann. Oper. Res. 2009, 167, 353–368. [Google Scholar] [CrossRef]
- Christopher, M. Logistics & Supply Chain Management; Pearson Education: Harlow, UK, 2016. [Google Scholar]
- Lim, M.K.; Bassamboo, A.; Chopra, S.; Daskin, M.S. Facility Location Decisions with Random Disruptions and Imperfect Estimation. Manuf. Serv. Oper. Manag. 2013, 15, 239–249. [Google Scholar] [CrossRef]
- Cui, T.; Ouyang, Y.; Shen, Z.-J.M. Reliable Facility Location Design Under the Risk of Disruptions. Oper. Res. 2010, 58 Pt 1, 998–1011. [Google Scholar] [CrossRef]
- Snyder, L.V.; Atan, Z.; Peng, P.; Rong, Y.; Schmitt, A.J.; Sinsoysal, B. OR/MS models for supply chain disruptions: A review. IIE Trans. 2016, 48, 89–109. [Google Scholar] [CrossRef]
- Snyder, L.V.; Daskin, M.S. Reliability Models for Facility Location: The Expected Failure Cost Case. Transp. Sci. 2005, 39, 400–416. [Google Scholar] [CrossRef]
- Wu, T.; Blackhurst, J.; O’grady, P. Methodology for supply chain disruption analysis. Int. J. Prod. Res. 2007, 45, 1665–1682. [Google Scholar] [CrossRef]
- Yu, H.; Zeng, A.Z.; Zhao, L. Single or dual sourcing: Decision-making in the presence of supply chain disruption risks. Omega 2009, 37, 788–800. [Google Scholar] [CrossRef]
- Boloori Arabani, A.; Farahani, R.Z. Facility location dynamics: An overview of classifications and applications. Comput. Ind. Eng. 2012, 62, 408–420. [Google Scholar] [CrossRef]
- Hossain, N.U.; Amrani, S.E.; Jaradat, R.; Marufuzzaman, M.; Buchanan, R.; Rinaudo, C.; Hamilton, M. Modeling and assessing interdependencies between critical infrastructures using Bayesian network: A case study of inland waterway port and surrounding supply chain network. Reliab. Eng. Syst. Saf. 2020, 198, 106898. [Google Scholar] [CrossRef]
- DiPietro, G.S.; Scott Matthews, H.; Hendrickson, C.T. Estimating economic and resilience consequences of potential navigation infrastructure failures: A case study of the Monongahela River. Transp. Res. Part A Policy Pract. 2014, 69, 142–164. [Google Scholar] [CrossRef]
- WSA Westdeutsche Kanäle. Wasserstraßen des WSA. Available online: https://www.wsa-westdeutsche-kanaele.wsv.de/Webs/WSA/Westdeutsche-Kanaele/DE/Wasserstrassen/wasserstrassen_node.html (accessed on 1 September 2022).
- Wasser-und Schifffahrtsverwaltung des Bundes (Ed.) Verkehrsbericht 2013 Niederrhein und Westdeutsches Kanalnetz. 2014. Available online: https://henry.baw.de/handle/20.500.11970/105054?show=full (accessed on 1 September 2022).
- OpenStreetMap Foundation (Ed.) DE:Overpass API. 2019. Available online: https://wiki.open-streetmaorg/wiki/DE:Overpass_API, (accessed on 1 September 2022).
- Destatis (Ed.) Klassifikation der Wirtschaftszweige. 2008. Available online: https://www.destatis.de/static/DE/dokumente/klassifikation-wz-2008-3100100089004.pdf (accessed on 1 September 2022).
- Geofabrik GmbH. Europe. 2020. Available online: https://download.geofabrik.de/europe.html (accessed on 1 September 2022).
- Deutsche Umschlaggesellschaft Schiene—Straße (DUSS) mbH. DUSS-Terminals. 2017. Available online: https://www1.deutschebahn.com/ecm2-duss/terminals_uebersicht (accessed on 1 September 2022).
- Bundesverband der Deutschen Luftverkehrswirtschaft (Ed.) Was Wird per Luftfracht Transportiert? 2017. Available online: https://www.bdl.aero/de/publikation/was-wird-per-luftfracht-transportiert/ (accessed on 1 September 2022).


















| Literature | Location Planning | Transportation Choice | Spatial Structure | Company | Branch | Access Points | Distance Measurement | Goods |
|---|---|---|---|---|---|---|---|---|
| [58] | X | X | X | |||||
| [59] | X | X | X | |||||
| [60] | X | X | X | |||||
| [53] | X | X | X | X | ||||
| [61] | X | X | X | |||||
| [62] | X | X | X * | X | ||||
| [63] | X | X | X * | X | ||||
| [64] | X | X | X * | X | ||||
| [65] | X | X | ||||||
| [66] | X | X | X | |||||
| [67] | X | X | X | |||||
| [68] | X | X | ||||||
| [69] | X | X | ||||||
| [70] | X | X | X | X | X | X | ||
| [71] | X | X | X | |||||
| [72] | X | X | X | X | X | X | ||
| [73] | X | X | X | X | X | X | ||
| [54] | X | X | X | X | X | X | ||
| [55] | X | X | X | X | X | X | ||
| [56] | X | X | X | X | X | X | ||
| [74] | X | X | X | X | X | X | ||
| [57] | X | X ** | X | X |
| Category | Name | Section * | Division * | Number |
|---|---|---|---|---|
| B | Mining and quarrying | B | all | 44 |
| C1 | Production of food and feed, beverage production | C | 10, 11 | 137 |
| C2 | Coking plant and mineral oil processing | C | 19 | 15 |
| C3 | Production of chemical and pharmaceutical products | C | 20, 21 | 61 |
| C4 | Manufacture of rubber and plastic products | C | 22 | 80 |
| C5 | Manufacture of glassware, ceramics, processing of stones and earths | C | 23 | 118 |
| C6 | Metal production and processing | C | 24 | 59 |
| C7 | Production of metal products | C | 25 | 325 |
| C8 | Manufacture of computer, electronic and optical products, manufacture of electrical equipment | C | 26, 27 | 106 |
| C9 | Mechanical Engineering | C | 28 | 238 |
| C10 | Manufacture of motor vehicles and parts of motor vehicles | C | 29 | 45 |
| CX | Other manufacturing | C | 12–18, 30–33 | 221 |
| D | Energy supply | D except DX | all | 30 |
| DX | Biogas and solar plants | D | additionally defined | 23 |
| E | Water supply; wastewater and solid waste management & pollution cleanup | E | all | 453 |
| Dijkstra | Radius Analysis | |||||||
|---|---|---|---|---|---|---|---|---|
| Industry Category | Number | Highway | Airport | Railroad Terminal | Public Port | Port (Not Public) * | Track Connection (Generous) * | Track Connection (Narrow) * |
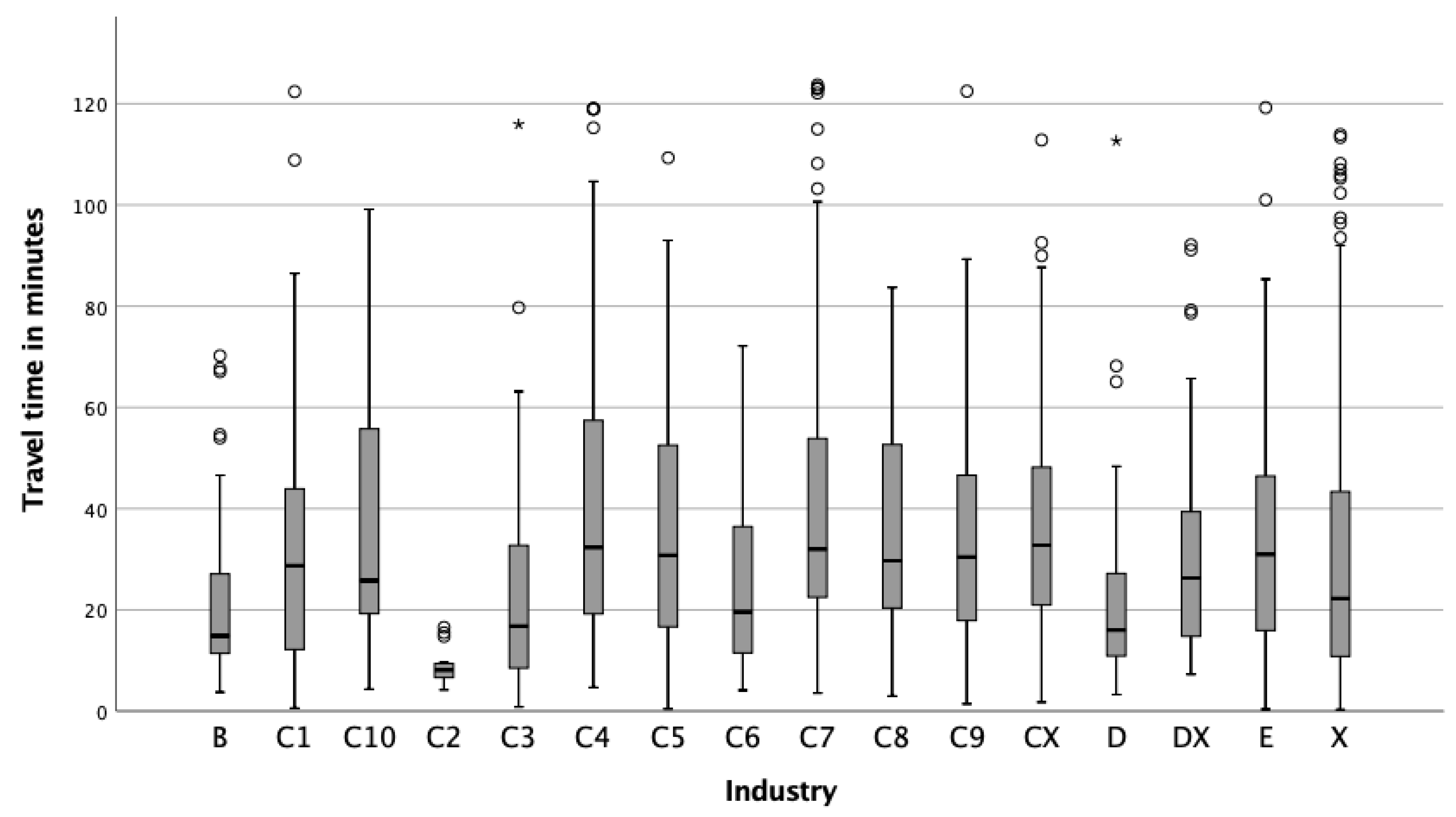
| B | 44 | 9.17 min | 45.37 min | 25.27 min | 22.20 min | 4.55% | 29.55% | 15.91% |
| C1 | 137 | 8.77 min | 42.29 min | 29.38 min | 30.68 min | 0.73% | 16.06% | 6.57% |
| C2 | 15 | 6.52 min | 35.58 min | 13.03 min | 8.95 min | 53.33% | 66.67% | 33.33% |
| C3 | 61 | 7.15 min | 41.05 min | 24.94 min | 22.57 min | 13.11% | 54.10% | 29.51% |
| C4 | 80 | 12.45 min | 51.23 min | 33.40 min | 40.86 min | 1.25% | 18.75% | 7.50% |
| C5 | 118 | 10.26 min | 40.89 min | 32.92 min | 36.32 min | 2.54% | 22.03% | 13.56% |
| C6 | 59 | 7.19 min | 42.18 min | 22.72 min | 26.32 min | 8.47% | 50.85% | 20.34% |
| C7 | 325 | 9.36 min | 52.35 min | 30.48 min | 39.86 min | 1.54% | 19.08% | 11.69% |
| C8 | 106 | 10.06 min | 48.95 min | 31.76 min | 34.53 min | 0.94% | 19.81% | 14.15% |
| C9 | 238 | 8.57 min | 44.70 min | 28.04 min | 33.70 min | 0.84% | 23.11% | 9.66% |
| C10 | 45 | 8.02 min | 40.21 min | 30.12 min | 36.02 min | 0.00% | 31.11% | 22.22% |
| CX | 221 | 10.21 min | 47.21 min | 33.37 min | 36.56 min | 0.90% | 15.84% | 10.41% |
| D | 30 | 11.06 min | 50.06 min | 29.26 min | 23.76 min | 13.33% | 56.67% | 46.67% |
| DX | 23 | 13.13 min | 46.36 min | 36.18 min | 34.55 min | 0.00% | 8.70% | 4.35% |
| E | 423 (453) * | 9.56 min | 43.94 min | 31.17 min | 32.58 min | 2.65% | 11.92% | 6.18% |
| X | 898 (912) * | 8.20 min | 43.11 min | 27.85 min | 28.61 min | 3.95% | 28.84% | 15.24% |
| All industries | 2.823 (2.867) * | 9.06 min | 45.06 min | 29.52 min | 32.28 min | 3.14% | 23.44% | 12.69% |
| Preference Category | Assumed Preference | Interval of the Industry Mean Values of the Travel Times | Industry Category | Interval of the Industry Mean Values of the Travel Times | Industry Category |
|---|---|---|---|---|---|
| Railroad Terminals | Public Ports | ||||
| 1 | Very large | (13.03 min; 25.09 min) | C2, C3, C6 | (8.95 min; 27.44 min) | B, C2, C3, C6, D |
| 2 | Large | (25.09 min; 28.04 min) | B, X | (27.44 min; 30.67 min) | X |
| 3 | Average | (28.04 min; 31.00 min) | C1, C7, C9, C10, D | (30.67 min; 33.89 min) | C1, C9, E |
| 4 | Low | (31.00 min; 33.95 min) | C4, C5, C8, CX, E | (33.89 min; 37.12 min) | C5, C8, C10, CX, DX |
| 5 | Very low | (33.95 min; 36.18 min) | DX | (37.12 min; 40.86 min) | C4, C7 |
| Parameters | Pearson Correlation Coefficient | |
|---|---|---|
| Freight statistics | Highway junctions | r = 0.280 (p = 0.433) |
| Railroad terminals | r = −0.596 (p = 0.053) | |
| Public ports | r = −0.862 (p = 0.001) | |
| Nr | Research Topic |
|---|---|
| R1 | Flow of goods and supply relationships |
| R2 | Temporal disturbance progressions |
| R3 | Vulnerabilities of various industries |
| R4 | Application of risk reduction measures |
| R5 | Assessment of damage caused by interrupted supply chains |
| R6 | Identification of highly critical event scenarios |
| R7 | Effect of water contamination and shortage of cooling water |
| R8 | Connections with other CI: power supply and water supply |
| Nr | Research Topic | Hypothesis |
|---|---|---|
| H1 | R1, R4 | For transports currently transported via waterways, there are hardly any alternative options |
| H2 | R2, R5 | It is feared that dependence on IWT will lead to considerable problems in the future |
Publisher’s Note: MDPI stays neutral with regard to jurisdictional claims in published maps and institutional affiliations. |
© 2022 by the authors. Licensee MDPI, Basel, Switzerland. This article is an open access article distributed under the terms and conditions of the Creative Commons Attribution (CC BY) license (https://creativecommons.org/licenses/by/4.0/).
Share and Cite
Wehrle, R.; Wiens, M.; Neff, F.; Schultmann, F. Economic Risk Potential of Infrastructure Failure Considering In-Land Waterways. Water 2022, 14, 2874. https://doi.org/10.3390/w14182874
Wehrle R, Wiens M, Neff F, Schultmann F. Economic Risk Potential of Infrastructure Failure Considering In-Land Waterways. Water. 2022; 14(18):2874. https://doi.org/10.3390/w14182874
Chicago/Turabian StyleWehrle, Rebecca, Marcus Wiens, Fabian Neff, and Frank Schultmann. 2022. "Economic Risk Potential of Infrastructure Failure Considering In-Land Waterways" Water 14, no. 18: 2874. https://doi.org/10.3390/w14182874
APA StyleWehrle, R., Wiens, M., Neff, F., & Schultmann, F. (2022). Economic Risk Potential of Infrastructure Failure Considering In-Land Waterways. Water, 14(18), 2874. https://doi.org/10.3390/w14182874

