Failure Analysis and Treatments of Tunnel Entrance Collapse Due to Sustained Rainfall: A Case Study
Abstract
:1. Introduction
2. Project Background
2.1. Tunnel Location
2.2. Geological Characteristics
2.3. Precipitation
3. Collapse Overview and Failure Mechanisms
3.1. Collapse Overview
3.2. Collapse Failure Mechanism Analysis
3.3. Factors Analysis
3.3.1. Rainfall
3.3.2. Topography and Geology
3.3.3. Unacceptable Construction
4. Countermeasures after Collapse
4.1. Anti−Slide Pile
4.2. Grouting
4.3. Slope Reinforcement
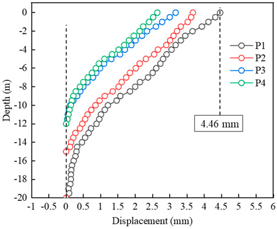
4.4. Analysis on Effects of the Countermeasures
5. Conclusions
- (1)
- In the process of construction at tunnel entrance, rainfall should be emphasized. It reduces the shearing strength of the soil and damages the structure of tunnel, which often causes collapse failures. Other factors including unacceptable construction, topography, and geology also contribute to tunnel entrance collapse. Particularly, improving the quality of slope protection is highly recommended.
- (2)
- The basic causes of the collapse were the infiltration of surface water and the increase of water content of silty clay. The matrix suction decreased with the increase of soil water content, which led to the decline of soil shear strength.
- (3)
- Field investigation showed that abnormal phenomena appeared before large−scale tunnel collapse, such as local collapse of tunnel face, primary support cracking, and shotcrete spalling of slope protection. Timely discovery of abnormal phenomena is of great significance for the prevention of large−scale tunnel collapse accidents. When these phenomena occur on the construction site, it is strongly recommended that the construction personnel evacuate the tunnel immediately.
- (4)
- To prevent a secondary collapse in construction, targeted treatment measures were implemented at this tunnel, such as anti−slide pipe, grouting, and slope reinforcement. Grouting can prevent the seepage of water in soil and improve the stability of surrounding rock. After the collapse treatment was completed, the vault settlement of the monitoring section was only about 24 mm. The countermeasures are effective for collapse at tunnel entrance under rainfall conditions based on the monitoring results and can be applied to similar tunnel entrance slope. Lessons learned from this case provide a reference for the reinforcement of tunnel entrance slope.
Author Contributions
Funding
Institutional Review Board Statement
Informed Consent Statement
Data Availability Statement
Conflicts of Interest
References
- Lai, J.; Wang, X.; Qiu, J.; Chen, J.; Hu, Z.; Wang, H. Extreme deformation characteristics and countermeasures for a tunnel in difficult grounds in southern Shaanxi. Environ. Earth Sci. 2018, 77, 706. [Google Scholar] [CrossRef]
- Aberle, J.; Henry, P.Y.; Kleischmann, F.; Navaratnam, C.U.; Vold, M.; Eikenberg, R.; Olsen, N.R.B. Experimental and Numerical Determination of the Head Loss of a Pressure Driven Flow through an Unlined Rock-Blasted Tunnel. Water 2021, 12, 3492. [Google Scholar] [CrossRef]
- Lai, J.; He, S.; Qiu, J.; Chen, J.; Shi, S.; Wang, L.; Wang, K.; Wang, J. Cause analysis of soft and hard rock tunnel collapse and information management. Environ. Earth Sci. 2018, 76, 94. [Google Scholar] [CrossRef]
- Soga, K.; Laver, R.G.; Li, Z.L. Long-term tunnel behaviour and ground movements after tunnelling in clayey soils. Undergr. Space 2018, 2, 149–167. [Google Scholar] [CrossRef]
- Zhang, N.; Zheng, Q.; Elbaz, K.; Xu, Y. Water Inrush Hazards in the Chaoyang Tunnel, Guizhou, China: A Preliminary Investigation. Water 2020, 12, 1083. [Google Scholar] [CrossRef]
- Kim, J.; Kim, C.; Kim, G.; Kim, I.; Abbas, Q.; Lee, J. Probabilistic tunnel collapse risk evaluation model using analytical hierarchy process (AHP) and Delphi survey technique. Tunn. Undergr. Space Technol. 2022, 120, 104262. [Google Scholar] [CrossRef]
- Zheng, X.; Zhang, L.; Wu, S.; Song, K. Study on the Shape of the Aerator of High-Head Discharge Tunnel with Mild Bottom Slope. Water 2021, 13, 2128. [Google Scholar] [CrossRef]
- Farghaly, A.A.; Kontoni, D.P.N. Train induced dynamic response of a pedestrian tunnel under a four-track surface railway for different soil water contents. Geomech. Eng. 2019, 16, 341–353. [Google Scholar] [CrossRef]
- Gattinoni, P.; Consonni, M.; Francani, V.; Leonelli, G.; Lorenzo, C. Tunnelling in landslide areas connected to deep seated gravitational deformations: An example in Central Alps (northern Italy). Tunn. Undergr. Space Technol. 2019, 93, 103100. [Google Scholar] [CrossRef]
- Xue, Y.; Zhang, S.; Zhou, M.; Zhu, H. Novel SfM-DLT method for metro tunnel 3D reconstruction and visualization. Undergr. Space 2021, 6, 134–141. [Google Scholar] [CrossRef]
- Guo, C.; Guo, Q.; Zhang, T.; Li, W.; Zhu, H.; Yan, Z. Study on real-time heat release rate inversion for dynamic reconstruction and visualization of tunnel fire scenarios. Tunn. Undergr. Space Technol. 2022, 122, 104333. [Google Scholar] [CrossRef]
- Fraldi, M.; Guarracino, F. Analytical solutions for collapse mechanisms in tunnels with arbitrary cross sections. Int. J. Solids Struct. 2010, 47, 216–223. [Google Scholar] [CrossRef]
- Sun, W.; Liang, Q.; Qin, S.; Yuan, Y.; Zhang, T. Evaluation of groundwater effects on tunnel engineering in loess. Bull. Eng. Geol. Environ. 2021, 80, 1947–1962. [Google Scholar] [CrossRef]
- Wang, J.; Lin, G.; Xu, G.; Wei, Y.; Li, S.; Tang, X.; He, C. Face stability of EPB shield tunnels in multilayered ground with soft sand lying on hard rock considering dynamic excavation process: A DEM study. Tunn. Undergr. Space Technol. 2022, 120, 104268. [Google Scholar] [CrossRef]
- Prendes-Gero, M.B.; Lopez-Gayarre, F.; Menendez-Fernandez, C.; Llardent, M.R.A. Forensic analysis of the failure of the foundations of a tunnel built to channel the course of a river. Eng. Fail. Anal. 2013, 32, 152–166. [Google Scholar] [CrossRef]
- Xu, Z.; Cai, N.; Li, X.; Xian, M.; Dong, T. Risk assessment of loess tunnel collapse during construction based on an attribute recognition model. Bull. Eng. Geol. Environ. 2021, 80, 6205–6220. [Google Scholar] [CrossRef]
- Wu, B.; Qiu, W.; Huang, W.; Meng, G.; Huang, J.; Xu, S. Dynamic risk evaluation method for collapse disasters of drill-and-blast tunnels: A case study. Math. Biosci. Eng. 2021, 19, 309–330. [Google Scholar] [CrossRef]
- Han, K.; Ju, J.W.W.; Kong, H.; Wang, M. Functional catastrophe analysis of progressive failures for deep tunnel roof considering variable dilatancy angle and detaching velocity. Rock Mech. Rock Eng. 2019, 52, 3987–3997. [Google Scholar] [CrossRef]
- Zhang, C.; Han, K. Collapsed shape of shallow unlined tunnels based on functional catastrophe theory. Math. Probl. Eng. 2015, 2015, 681257. [Google Scholar] [CrossRef]
- Ma, E.; Lai, J.; Xu, S.; Shi, S.; Zhang, J.; Zhong, Y. Failure analysis and treatments of a loess tunnel being constructed in ground fissure area. Eng. Fail. Anal. 2022, 134, 106034. [Google Scholar] [CrossRef]
- Xu, S.; Lei, H.; Li, C.; Liu, H.; Lai, J.; Liu, T. Model test on mechanical characteristics of shallow tunnel excavation failure in gully topography. Eng. Fail. Anal. 2020, 119, 104978. [Google Scholar] [CrossRef]
- Yu, L.; Zhang, D.; Fang, Q.; Cao, L.; Zhang, Y.; Xu, T. Face stability of shallow tunnelling in sandy soil considering unsupported length. Tunn. Undergr. Space Technol. 2020, 102, 103445. [Google Scholar] [CrossRef]
- Hu, X.; Fu, W.; Wu, S.; Fang, Y.; Wang, J.; He, C. Numerical study on the tunnel stability in granular soil using DEM virtual air bag model. Acta Geotech. 2021, 16, 3285–3300. [Google Scholar] [CrossRef]
- Wu, Y.; Wang, K.; Zhang, L.; Peng, S. Sand-layer collapse treatment: An engineering example from Qingdao Metro subway tunnel. J. Clean Prod. 2018, 197, 19–24. [Google Scholar] [CrossRef]
- Xu, H.; Shao, Z.; Chen, C.; Wang, Z.; Cai, L.; Li, Z.; Huang, C. Characteristics and evolution of tunnel collapse in fully-weathered coastal red sandstone strata. J. Coast. Res. 2022, 38, 289–301. [Google Scholar] [CrossRef]
- Xu, H.; Wang, Z.; Chen, C.; Cai, L.; Li, Z.; Deng, Y.; Xia, Y. Model tests on characteristics and evolution of tunnel collapse in soil-sand interbedded strata. Chin. J. Geotech. Eng. 2021, 43, 1050–1058. (In Chinese) [Google Scholar]
- Wang, Z.; Xie, Y.; Lai, J.; Xie, Y.; Su, X.; Shi, Y.; Guo, C. Designing an innovative support system in loess tunnel. Geomech. Eng. 2021, 24, 253–266. [Google Scholar] [CrossRef]
- Senent, S.; Jimenez, R. A tunnel face failure mechanism for layered ground, considering the possibility of partial collapse. Tunn. Undergr. Space Technol. 2015, 47, 182–192. [Google Scholar] [CrossRef]
- Wang, B.; Li, T.; HE, C.; Zhou, Y. Analysis of failure properties and formatting mechanism of soft rock tunnel in meizoseismal areas. Chin. J. Rock Mech. Eng. 2012, 31, 928–936. (In Chinese) [Google Scholar]
- Toulkeridis, T.; Rodriguez, F.; Jimenez, N.A.; Baile, D.S.; Martinez, R.S.; Addison, A.; Freyre, D.C.; Mato, F.; Perez, C.D. Causes and consequences of the sinkhole at El Trebol of Quito, Ecuador-implications for economic damage and risk assessment. Nat. Hazards Earth Syst. Sci. 2016, 16, 2031–2041. [Google Scholar] [CrossRef]
- Liu, X.; Liu, F.; Song, K. Mechanism analysis of tunnel collapse in a soft-hard interbedded surrounding rock mass: A case study of the Yangshan Tunnel in China. Eng. Fail. Anal. 2022, 138, 106304. [Google Scholar] [CrossRef]
- Wang, Y. Collapse mechanism and preventive measures of mountain tunnel. Chin. J. Rock Mech. Eng. 2012, 30, 2376. (In Chinese) [Google Scholar]
- Wang, Z.; Shen, S.; Modoni, G.; Zhou, A. Excess pore water pressure caused by the installation of jet grouting columns in clay. Comput. Geotech. 2020, 125, 103667. [Google Scholar] [CrossRef]
- Jiang, Z.; Duan, S.; Zhao, X. Manipulation of tunnelling in a quantum dot array. J. Phys.-Condes. Matter 2005, 17, 4207–4222. [Google Scholar] [CrossRef]
- Niu, J.; Sun, Y.; Wang, B.; Zhang, K.; Huang, Y.; Huang, S.; Yu, J.; Qiu, L. Grouting Treatment of Water and Mud Inrush in Fully Weathered Granite Tunnel: A Case Study. Disaster Adv. 2020, 2020, 8838769. [Google Scholar] [CrossRef]
- Zhang, T.; Taylor, R.N.; Zheng, G.; Sun, J.; Fan, Q.; Diao, Y.; Zhou, H. Modelling ground movements near a pressurised tunnel heading in drained granular soil. Comput. Geotech. 2018, 104, 152–166. [Google Scholar] [CrossRef]
- Wu, D.; Deng, T.; Zhao, R.; Wang, Y. THM modeling of ground subsidence induced by excavation of subway tunnel. Comput. Geotech. 2018, 94, 1–11. [Google Scholar] [CrossRef]
- Wang, Z.; Cheng, W. Predicting jet-grout column diameter to mitigate the environmental impact using an artificial intelligence algorithm. Undergr. Space. 2021, 6, 267–280. [Google Scholar] [CrossRef]
- Yang, Z.; Wu, S.; Gao, Y.; Jin, A.; Cong, Z. Time and technique of rehabilitation for large deformation of tunnels in jointed rock masses based on FDM and DEM numerical modeling. Tunn. Undergr. Space Technol. 2018, 81, 669–681. [Google Scholar] [CrossRef]
- Yuan, J.; Chen, W.; Tan, X.; Yang, D.; Wang, S. Countermeasures of water and mud inrush disaster in completely weathered granite tunnels: A case study. Environ. Earth Sci. 2019, 78, 576. [Google Scholar] [CrossRef]
- Zhang, N.; Shen, J.; Lin, C.; Arulrajah, A.; Chai, J. Investigation of a large ground collapse and countermeasures during mountain tunnelling in Hangzhou: A case study. Bull. Eng. Geol. Environ. 2019, 78, 991–1003. [Google Scholar] [CrossRef]
- Zheng, G.; Cui, T.; Cheng, X.; Diao, Y.; Zhang, T.; Sun, J.; Ge, L. Study of the collapse mechanism of shield tunnels due to the failure of segments in sandy ground. Eng. Fail. Anal. 2017, 79, 464–490. [Google Scholar] [CrossRef]
- Zheng, H.; Li, P.; Ma, G.; Zhang, Q. Experimental investigation of mechanical characteristics for linings of twins tunnels with asymmetric cross-section. Tunn. Undergr. Space Technol. 2021, 119, 104209. [Google Scholar] [CrossRef]
- Qiu, J.; Wang, X.; Lai, J.; Zhang, Q.; Wang, J. Response characteristics and preventions for seismic subsidence of loess in Northwest China. Nat. Hazards 2018, 98, 1909–1935. [Google Scholar] [CrossRef]
- Wang, Z.; Shen, S.; Modoni, G. Enhancing discharge of spoil to mitigate disturbance induced by horizontal jet grouting in clayey soil: Theoretical model and application. Comput. Geotech. 2019, 111, 222–228. [Google Scholar] [CrossRef]
- Koyama, T.; Nishiyama, S.; Yang, M.; Ohnishi, Y. Modeling the interaction between fluid flow and particle movement with discontinuous deformation analysis (DDA) method. Int. J. Numer. Anal. Methods Geomech. 2011, 35, 1–20. [Google Scholar] [CrossRef]
- Yang, Q.; He, J.; Luan, M. Comparative study on shear strength of unsaturated red clay and expansive soils. Rock Soil Mech. 2003, 24, 13–16. (In Chinese) [Google Scholar]
- Shiau, J.; Al-Asadi, F. Revisiting circular tunnel stability using Broms and Bennermarks’ original stability number. Int. J. Geomech. 2021, 21, 06021009. [Google Scholar] [CrossRef]
- Cho, S.E. Stability analysis of unsaturated soil slopes considering water-air flow caused by rainfall infiltration. Eng. Geol. 2016, 211, 184–197. [Google Scholar] [CrossRef]
- Lin, H.; Li, G.; Yu, Y.; Lu, H. Influence of matric suction on shear strength behavior of unsaturated soils. Rock Soil Mech. 2007, 28, 1931–1936. (In Chinese) [Google Scholar]
- Mahmood, K.; Kim, J.M.; Khan, H.; Safdar, M.; Khan, U. The probabilistic stability analysis of saturated-unsaturated MH and CL soil slope with rainfall infiltration. KSCE J. Civ. Eng. 2018, 22, 1742–1749. [Google Scholar] [CrossRef]
- Lan, W.; Deng, X.; Sutton, M.A. Investigation of crack tunneling in ductile materials. Eng. Fract. Mech. 2010, 77, 2800–2812. [Google Scholar] [CrossRef]
- Stark, T.D.; Jafari, N.H.; Zhindon, J.S.L.; Baghdady, A. Unsaturated and Transient Seepage Analysis of San Luis Dam. J. Geotech. Geoenviron. Eng. 2017, 14, 04016093. [Google Scholar] [CrossRef]
- Zhang, Y.; Pu, S.; Li, R.T.Y.M.; Zhang, J. Microscopic and mechanical properties of undistributed and remoulded red clay from Guiyang, China. Sci. Rep. 2021, 10, 18003. [Google Scholar] [CrossRef] [PubMed]
- Lu, C.; Qin, W.; Zhao, G.; Zhang, Y.; Wang, W. Better-Fitted Probability of Hydraulic Conductivity for a Silty Clay Site and Its Effects on Solute Transport. Water 2017, 9, 466. [Google Scholar] [CrossRef]
- John, D.; Jaye, C.; Robert, L.; Kemp, G.P. Sediment Deposition at the Caernarvon Crevasse during the Great Mississippi Flood of 1927: Implications for Coastal Restoration. Water 2016, 8, 38. [Google Scholar] [CrossRef]
- Zhang, W.; Cai, F.; Zhou, J.; Hua, Y. Experimental Investigation on Air-Water Interaction in a Hydropower Station Combining a Diversion Tunnel with a Tailrace Tunnel. Water. Stud. 2019, 9, 274. [Google Scholar] [CrossRef]
- Xue, Y.; Li, X.; Li, G.; Qiu, D.; Gong, H.; Kong, F. An analytical model for assessing soft rock tunnel collapse risk and its engineering application. Geomech. Eng. 2020, 23, 441–454. [Google Scholar] [CrossRef]
- Huang, F.; Zhao, L.; Ling, T.; Yang, X. Rock mass collapse mechanism of concealed karst cave beneath deep tunnel. Int. J. Rock Mech. Min. Sci. 2017, 91, 133–138. [Google Scholar] [CrossRef]
- Niu, F.; Cai, Y.; Liao, H.; Li, J.; Tang, K.; Wang, Q.; Wang, Z.; Liu, D.; Liu, T.; Liu, C. Unfavorable Geology and Mitigation Measures for Water Inrush Hazard during Subsea Tunnel Construction: A Global Review. Water 2022, 14, 1592. [Google Scholar] [CrossRef]















| Mineral Name | Quartz | Gibbsite | Kaolinite | Illite | Montmorillonite | Goethite | Anatase |
|---|---|---|---|---|---|---|---|
| Mass fraction (%) | 27 | 9 | 6 | 40 | 14 | 3 | 1 |
Publisher’s Note: MDPI stays neutral with regard to jurisdictional claims in published maps and institutional affiliations. |
© 2022 by the authors. Licensee MDPI, Basel, Switzerland. This article is an open access article distributed under the terms and conditions of the Creative Commons Attribution (CC BY) license (https://creativecommons.org/licenses/by/4.0/).
Share and Cite
Chen, L.-L.; Wang, Z.-F.; Wang, Y.-Q. Failure Analysis and Treatments of Tunnel Entrance Collapse Due to Sustained Rainfall: A Case Study. Water 2022, 14, 2486. https://doi.org/10.3390/w14162486
Chen L-L, Wang Z-F, Wang Y-Q. Failure Analysis and Treatments of Tunnel Entrance Collapse Due to Sustained Rainfall: A Case Study. Water. 2022; 14(16):2486. https://doi.org/10.3390/w14162486
Chicago/Turabian StyleChen, Long-Long, Zhi-Feng Wang, and Ya-Qiong Wang. 2022. "Failure Analysis and Treatments of Tunnel Entrance Collapse Due to Sustained Rainfall: A Case Study" Water 14, no. 16: 2486. https://doi.org/10.3390/w14162486
APA StyleChen, L.-L., Wang, Z.-F., & Wang, Y.-Q. (2022). Failure Analysis and Treatments of Tunnel Entrance Collapse Due to Sustained Rainfall: A Case Study. Water, 14(16), 2486. https://doi.org/10.3390/w14162486
