Spatial and Seasonal Drinking Water Quality Assessment in a Sub-Saharan Country (Guinea-Bissau)
Abstract
1. Introduction
2. Materials and Methods
2.1. Study Area
2.2. Sample Collection and Analytical Procedures
2.3. Statistical Analysis
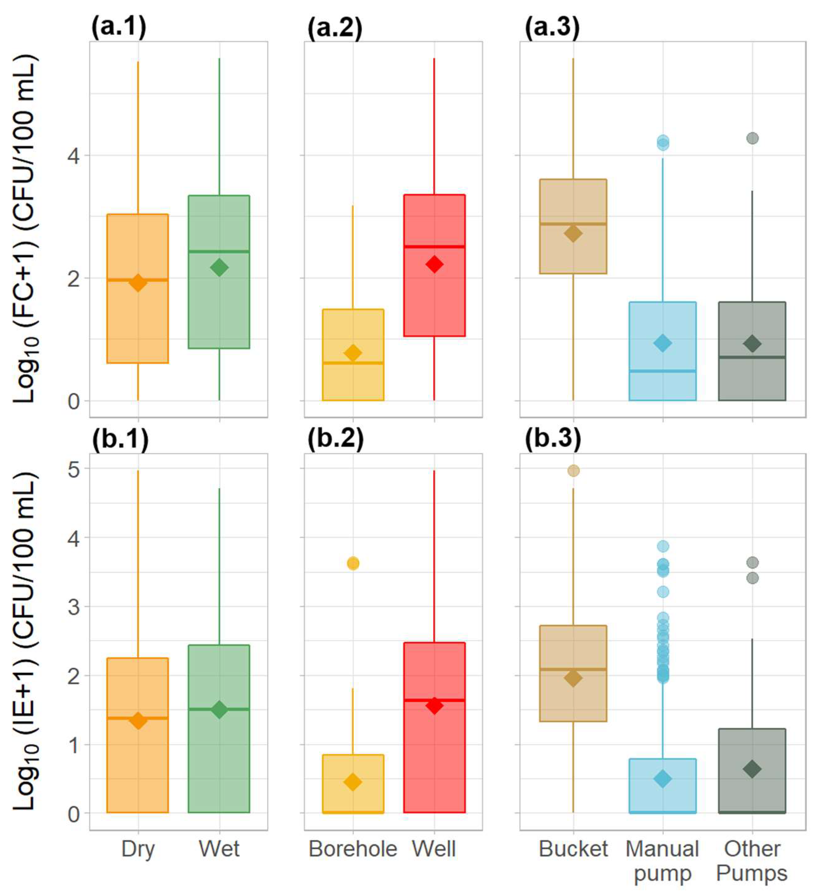
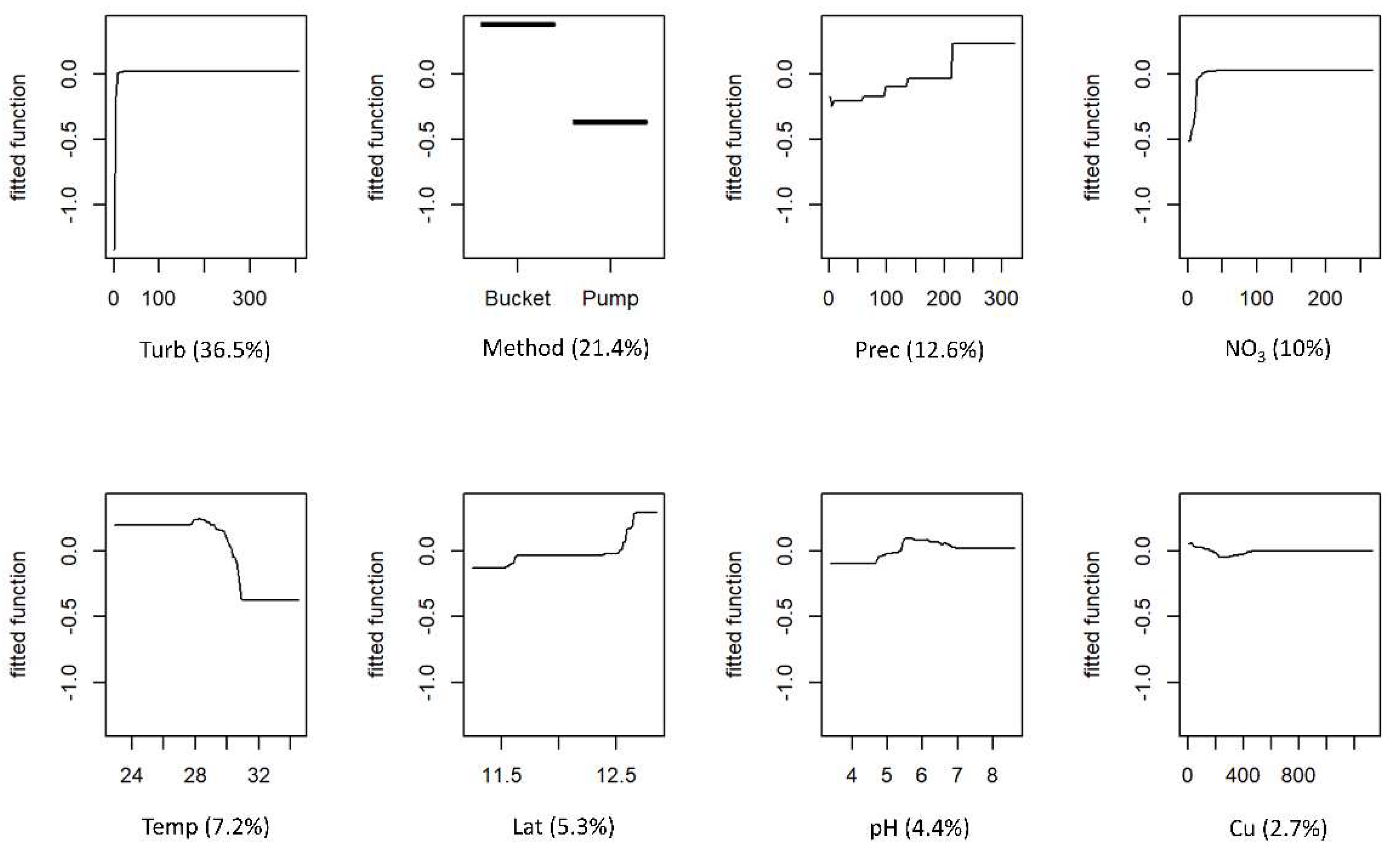
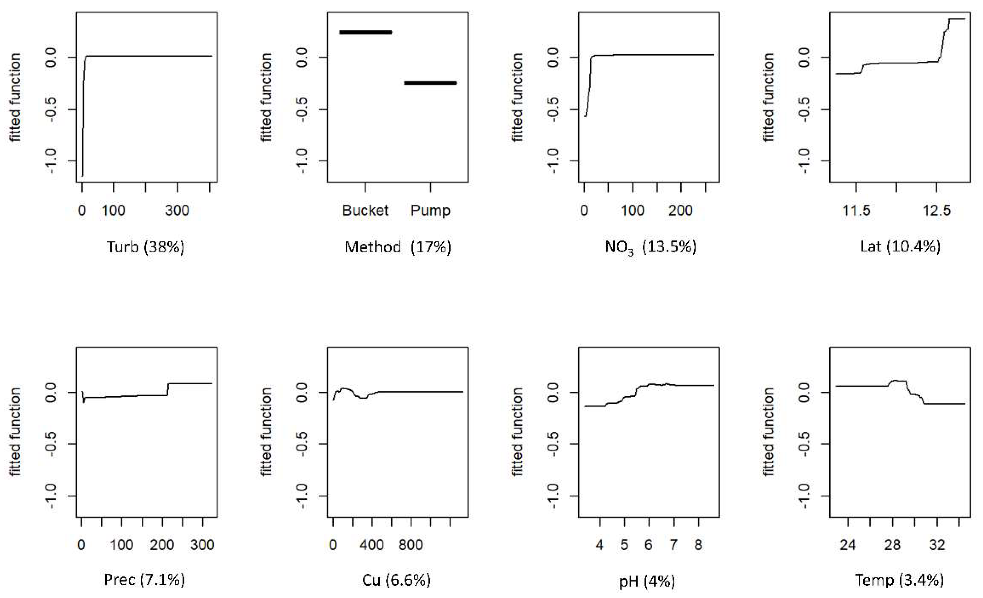
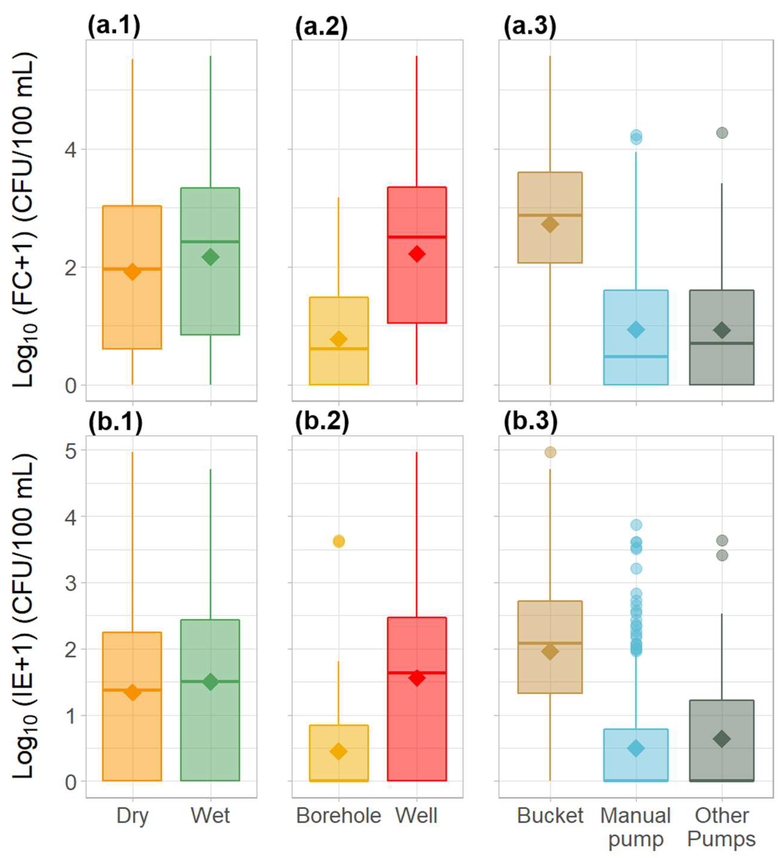
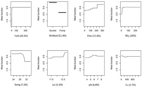
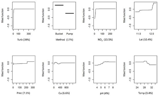
3. Results
4. Discussion
- Remove potential contamination sources, such as latrines and garbage dumps from the vicinity of the water sources (>30 m). Promote latrine disinfection with quicklime and the controlled disposal of waste. Quicklime is easily available and can be used to disinfect faecal solids [52], with <90% efficiency in removing bacterial and viral pathogens [53].
- Whenever possible, favour the supply of water from boreholes over shallow wells. When using wells, favour those fitted with pumps, over buckets, proven to endure the harsh country conditions.
- Build and maintain proper security perimeters around water sources, deterring wandering animals by fencing and waterproofing the nearby terrain to prevent mud accumulation and avoiding the stagnation of water, particularly in the wet season.
- Fit the wells with covers and support systems for buckets and ropes in order to avoid contact with the soil.
- Promote the household storage of water in narrow-mouth containers fitted with faucets, avoiding contact between drinking water and hands or small containers used to collect water. Therefore, secondary contamination may be prevented. Promote the efficient and correct time frames to perform the disinfection of these containers.
- Promote household-level disinfection of drinking water to decrease the microbial load by filtration, chlorination, boiling, solar water disinfection (SODIS), or using plant extracts. Favouring household-level disinfection will prevent secondary contamination. Filtration through naturally occurring materials is a cost-effective and efficient treatment. For instance, slow sand filtration, ceramic filters, and biochar are widely used as disinfection techniques [50]. Chlorination with commercial bleach can also successfully decrease the bacterial load [50,54]. Although boiling water can be an efficient method of disinfection, in most situations is an unpractical solution, because it implies a time and economic expend. Moreover, boiling water can enhance metal concentrations, generating an additional problem. SODIS is a simple-to-use and inexpensive technique capable of microbial inactivation [55]. Plant extracts, such Moringa oleifera, can also be used as water treatment strategy, due to their antimicrobial and coagulant properties [56]. However, caution should be taken when water presents high turbidity values (>1 NTU), because this can interfere with the disinfection kinetics and efficiency, by providing protection and subtract for organisms [31,57,58]. Thus, resorting to multiple methods may be necessary to reduce particulate matter before disinfection. Filtration through easily available cotton cloth has been shown to be effective in the reduction of particulate matter and associated microbial loads [59]. The addition of Moringa oleifera has also been evaluated as a pretreatment for SODIS, reducing turbidity [60].
5. Conclusions
Supplementary Materials
Author Contributions
Funding
Institutional Review Board Statement
Informed Consent Statement
Data Availability Statement
Acknowledgments
Conflicts of Interest
References
- UN, United Nations. The Human Right to Water and Sanitation [A/RES/64/292]; United Nations General Assembly; UN, United Nations: New York, NY, USA, 2010; Available online: www.un.org/ga/search/view_doc.asp?symbol=A/RES/64/292 (accessed on 7 July 2021).
- UN, United Nations. Transforming Our World: The 2030 Agenda for Sustainable Development [A/RES/70/1]; United Nations General Assembly. UN, United Nations: New York, NY, USA, 2015. Available online: https://www.un.org/en/development/desa/population/migration/generalassembly/docs/globalcompact/A_RES_70_1_E.pdf (accessed on 3 July 2021).
- WHO, World Health Organization. Results of Round II of the WHO International Scheme to Evaluate Household Water Treatment Technologies; WHO: Geneva Switzerland, 2019; Available online: https://apps.who.int/iris/handle/10665/325896 (accessed on 2 July 2021).
- WHO, World Health Organization. Key Facts from 2015 JMP Report; WHO, World Health Organization: Geneva, Switzerland, 2015. Available online: http://www.who.int/water_sanitation_health/publications/JMP-2015-keyfacts-en-rev.pdf?ua=1 (accessed on 3 July 2021).
- UN, United Nations. World Population Prospects 2019: Highlights [ST/ESA/SER.A/423]; United Nations General Assembly, Department of Economic and Social Affairs, Population Division. UN, United Nations: New York, NY, USA, 2019. Available online: https://www.un.org/development/desa/publications/world-population-prospects-2019-highlights.html (accessed on 3 July 2021).
- WHO, World Health Organization. Guinea-Bissau Data. Global Health Observatory Data Repository; WHO, World Health Organization: Geneva, Switzerland, 2021; Available online: https://apps.who.int/gho/data/view.main.SUBREGchildmortality-GNB (accessed on 3 July 2021).
- WHO, World Health Organization. Global Supply and Sanitation Assessment 2000 Report. Part II: Water Resources Development; Joint Monitoring Programme for Water Supply and Sanitation; WHO: Geneva Switzerland, 2000; Available online: https://www.who.int/publications/i/item/9241562021 (accessed on 4 July 2021).
- Gleick, P.H. The human right to water. Water Policy 1998, 1, 487–503. [Google Scholar] [CrossRef]
- UN, United Nations. Global SDG Indicators Database—Guinea-Bissau. United Nations Statistics Division. 2021. Available online: https://www.sdg6data.org/country-or-area/Guinea-Bissau#anchor_6.1.1 (accessed on 12 October 2021).
- INASA, National Institute of Public Health. Relatório Nacional Sobre Casos de Diarreias em 2018 e 2019; Ministry of Health: Bissau, Guinea-Bissau, 2019.
- UNICEF, United Nations Children’s Fund. Cholera Factsheet Guinea-Bissau; WHO, UNICEF West and Central Africa Regional Office: Geneva, Switzerland, 2017; Available online: https://www.unicef.org/cholera/files/UNICEF-Factsheet-Guinea-Bissau-EN-FINAL.pdf (accessed on 5 July 2021).
- Bancessi, A.; Catarino, L.; José Silva, M.; Ferreira, A.; Duarte, E.; Nazareth, T. Quality Assessment of Three Types of Drinking Water Sources in Guinea-Bissau. Int. J. Environ. Res. Public Health 2020, 17, 7254. [Google Scholar] [CrossRef] [PubMed]
- Bordalo, A.A.; Savva-Bordalo, J. The quest for safe drinking water: An example from Guinea-Bissau (West Africa). Water Res. 2007, 41, 2978–2986. [Google Scholar] [CrossRef] [PubMed]
- Ferrante, M.; Signorelli, S.S.; Ferlito, S.L.; Grasso, A.; Dimartino, A.; Copat, C. Groundwater-based water wells characterization from Guinea Bissau (Western Africa): A risk evaluation for the local population. Sci. Total Environ. 2018, 619, 916–926. [Google Scholar] [CrossRef] [PubMed]
- FAO, Food and Agriculture Organization of the United Nations. World Soil Resources Report 84; Food and Agriculture Organization of the United Nations; International Society of Soil Science: Rome, Italy, 1998; Available online: https://edepot.wur.nl/493579 (accessed on 10 July 2021).
- Hijmans, R.; University of California. Second-Level Administrative Divisions, Guinea-Bissau, 2015. UC Berkeley, Museum of Vertebrate Zoology. 2015. Available online: http://purl.stanford.edu/hy559qv799. (accessed on 1 July 2021).
- Bordalo, A.A. Microbiological water quality in urban coastal beaches: The influence of water dynamics and optimization of the sampling strategy. Water Res. 2003, 37, 3233–3241. [Google Scholar] [CrossRef]
- WHO, World Health Organization. Guidelines for Drinking-Water Quality, Incorporating 1st and 2nd Addenda, Recommendations, 3rd ed.; WHO: Geneva, Switzerland, 2008; Volume 1, Available online: http://www.who.int/water_sanitation_health/dwq/fulltext.pdf?ua=1 (accessed on 5 July 2021).
- EU, European Union. Council Directive 98/83/EC of 3 November on the Quality of Water Intended for Human Consumption; European Union: Brussels, Belgium, 1998; Available online: https://eur-lex.europa.eu/legal-content/EN/TXT/PDF/?uri=CELEX:31998L0083&from=EN (accessed on 5 July 2021).
- Tebutt, T.H.Y. Principles of Water Quality Control, 5th ed.; Butter Worth-Heinemann: Oxford, UK, 1998. [Google Scholar]
- Leathwick, J.; Elith, J.; Francis, M.; Hastie, T.; Taylor, P. Variation in demersal fish species richness in the oceans surrounding New Zealand: An analysis using boosted regression trees. Mar. Ecol. Prog. Ser. 2006, 321, 267–281. [Google Scholar] [CrossRef]
- Elith, J.; Leathwick, J.R.; Hastie, T. A working guide to boosted regression trees. J. Anim. Ecol. 2008, 77, 802–813. [Google Scholar] [CrossRef]
- R Core Team. R: A Language and Environment for Statistical Computing; R Foundation for Statistical Computing: Vienna, Austria, 2021; Available online: https://www.R-project.org/ (accessed on 13 November 2021).
- Ridgeway, G. Generalized Boosted Regression Models. Documentation on the R Package ‘gbm’. Version 1.6-3. 2007. Available online: https://cran.r-project.org/web/packages/gbm/gbm.pdf (accessed on 13 November 2021).
- Machado, A.; Bordalo, A.A. Analysis of the bacterial community composition in acidic well water used for drinking in Guinea-Bissau, West Africa. J. Environ. Sci. 2014, 26, 1605–1614. [Google Scholar] [CrossRef]
- Colombatti, R.; Vieira, C.S.; Bassani, F.; Cristofoli, R.; Coin, A.; Bertinato, L.; Riccardi, F. Contamination of drinking water sources during the rainy season in an urban post-conflict community in Guinea Bissau: Implications for sanitation priority. Afr. J. Med. Med. Sci. 2009, 38, 155–161. [Google Scholar]
- Graham, J.P.; Polizzotto, M.L. Pit latrines and their impacts on groundwater quality: A systematic review. Environ. Health Perspect. 2013, 121, 521–530. [Google Scholar] [CrossRef]
- Escamilla, V.; Knappett, P.S.K.; Yunus, M.; Streatfield, P.K.; Emch, M. Influence of Latrine Proximity and Type on Tubewell Water Quality and Diarrheal Disease in Bangladesh. Ann. Assoc. Am. Geogr. 2013, 103, 299–308. [Google Scholar] [CrossRef]
- Martínez-Santos, P.; Martín-Loeches, M.; García-Castro, N.; Solera, D.; Díaz-Alcaide, S.; Montero, E.; García-Rincón, J. A survey of domestic wells and pit latrines in rural settlements of Mali: Implications of on-site sanitation on the quality of water supplies. Int. J. Hyg. Environ. Health 2017, 220, 1179–1189. [Google Scholar] [CrossRef] [PubMed]
- Sander, B.C.; Kalff, J. Factors controlling bacterial production in marine and freshwater sediments. Microb. Ecol. 1993, 26, 79–99. [Google Scholar] [CrossRef] [PubMed]
- WHO, World Health Organization. Guidelines for Drinking-Water Quality; Fourth Edition Incorporating 1st Addendum; WHO: Geneva, Switzerland, 2017; Available online: https://www.who.int/publications/i/item/9789241549950 (accessed on 8 August 2021).
- Muoio, R.; Caretti, C.; Rossi, L.; Santianni, D.; Lubello, C. Water safety plans and risk assessment: A novel procedure applied to treated water turbidity and gastrointestinal diseases. Int. J. Hyg. Environ. Health 2020, 223, 281–288. [Google Scholar] [CrossRef] [PubMed]
- Mølbak, K.; Jensen, H.; Lngholt, L.; Aaby, P. Risk Factors for Diarrheal Disease Incidence in Early Childhood: A Community Cohort Study from Guinea-Bissau. Am. J. Epidemiol. 1997, 146, 273–282. [Google Scholar] [CrossRef] [PubMed]
- Alves, S. Water Diseases: Dynamic of Malaria and Gastrointestinal Diseases in the Tropical Guinea-Bissau (West Africa). Master’s Thesis, University of Porto, Porto, Portugal, 2018. Available online: https://repositorio-aberto.up.pt/bitstream/10216/119094/2/316303.pdf (accessed on 12 October 2021).
- Shiah, F.K.; Ducklow, H.W. Bacterioplankton growth responses to temperature and chlorophyll variations in estuaries measured by thymidine: Leucine incorporation ratio. Aquatic Microb. Ecol. 1997, 13, 151–159. [Google Scholar] [CrossRef][Green Version]
- WHO, World Health Organization. Nitrate and Nitrite in Drinking-Water. Background Document for Preparation of WHO Guidelines for Drinking-Water Quality; [WHO/HSE/AMR/07.01/16/Rev/1]; WHO: Geneva, Switzerland, 2011; Available online: https://www.who.int/water_sanitation_health/dwq/chemicals/nitratenitrite2ndadd.pdf. (accessed on 8 August 2021).
- Sadeq, M.; Moe, C.L.; Attarassi, B.; Cherkaoui, I.; Elaouad, R.; Idrissi, L. Drinking water nitrate and prevalence of methemoglobinemia among infants and children aged 1–7 years in Moroccan areas. Int. J. Hyg. Environ. Health 2008, 211, 546–554. [Google Scholar] [CrossRef]
- Carvalho, A.C.; Machado, A.; Embalo, A.R.; Bordalo, A.A. Endemic goiter and iodine deficiency status among Guinea-Bissau school-age children. Eur. J. Clin. Nutr. 2018, 72, 1576–1582. [Google Scholar] [CrossRef]
- Republic of Guinea-Bissau. Third National Communication: Report to the United Nations Framework Convention on Climate Change; Government of the Republic of Guinea-Bissau: Bissau, Guinea-Bissau, 2018. Available online: https://unfccc.int/sites/default/files/resource/TCN_Guinea_Bissau.pdf (accessed on 29 October 2021).
- BOAD, Banque Ouest Africaine de Développement. Enhancing Livestock Resilience to Drought in Guinea Bissau. Project Concept Note. Green Climate Fund. 2018. Available online: https://www.greenclimate.fund/sites/default/files/document/19670-enhancing-livestock-resilience-drought-guinea-bissau.pdf (accessed on 29 October 2021).
- Jalloh, A.; Roy-Macauley, H.; Sereme, P. Major agro-ecosystems of west and central Africa: Brief description, species richness, management, environmental limitations and concerns. Agric. Ecosyst. Environ. 2012, 157, 5–16. [Google Scholar] [CrossRef]
- O’Sullivan, E.; Milosevic, A. UK national clinical guidelines in paediatric dentistry: Diagnosis, prevention and management of dental erosion. Int. J. Paediatr. Dent. 2008, 18, 29–38. [Google Scholar] [CrossRef]
- West, N.X.; Hughes, J.A.; Addy, M. The effect of pH on the erosion of dentine and enamel by dietary acids in vitro. J. Oral Rehabil. 2008, 28, 860–864. [Google Scholar] [CrossRef]
- Calmano, W.; Hong, J.; Förstner, U. Binding and Mobilization of Heavy Metals in Contaminated Sediments Affected by pH and Redox Potential. Water Sci. Technol. 1993, 28, 223–235. [Google Scholar] [CrossRef]
- Merrel, D.S.; Camilli, A. The cadA gene of Vibrio cholerae is induced during infection and plays a role in acid tolerance. Mol. Microbiol. 1999, 34, 836–949. [Google Scholar] [CrossRef] [PubMed]
- WHO, World Health Organization. 2019. Drinking Water [Fact Sheet 391]; WHO: Geneva, Switzerland, 2017; Available online: https://www.who.int/news-room/fact-sheets/detail/drinking-water (accessed on 19 October 2021).
- Prüss, A.; Kay, D.; Fewtrell, L.; Bartram, J. Estimating the burden of disease from water, sanitation, and hygiene at a global level. Environ. Health Perspect. 2002, 110, 537–542. [Google Scholar] [CrossRef]
- Ashbolt, N.J. Microbial contamination of drinking water and disease outcomes in developing regions. Toxicology 2004, 198, 229–238. [Google Scholar] [CrossRef] [PubMed]
- Alhassan, S.; Hadwen, W.L. Challenges and Opportunities for Mainstreaming Climate Change Adaptation into WaSH Development Planning in Ghana. Int. J. Environ. Res. Public Health 2017, 14, 749. [Google Scholar] [CrossRef] [PubMed]
- Pandit, A.B.; Kumar, J.K. Clean water for developing countries. Annu. Rev. Chem. Biomol. Eng. 2015, 6, 217–246. [Google Scholar] [CrossRef]
- Thomas, B.; Vinka, C.; Pawan, L.; David, S. Sustainable groundwater treatment technologies for underserved rural communities in emerging economies. Sci. Total Environ. 2022, 813, 152633. [Google Scholar] [CrossRef]
- Meckes, M.C.; Rhodes, E.R. Evaluation of bacteriological indicators of disinfection for alkaline treated biosolids. J. Environ. Engin. Sci. 2004, 3, 231–236. [Google Scholar] [CrossRef]
- EPA, Environmental Protection Agency. White House Document: Environmental Regulations and Technology: Control of Pathogens and Vector Attraction in Sewage Sludge; EPA/625/R-92/013 [Revised in 2003]; US Environmental Protection Agency: Washington, DC, USA, 1995. Available online: https://www.epa.gov/sites/production/files/2015-07/documents/epa-625-r-92-013.pdf. (accessed on 19 October 2021).
- Quick, R.E.; Kimura, A.; Thevos, A.; Tembo, M.; Shamputa, I.; Hutwagner, L.; Mintz, E. Diarrhea prevention through household-level water disinfection and safe storage in Zambia. Am. J. Trop. Med. Hyg. 2002, 66, 584–589. [Google Scholar] [CrossRef]
- McGuigan, K.G.; Conroy, R.M.; Mosler, H.J.; du Preez, M.; Ubomba-Jaswa, E.; Fernandez-Ibañez, P. Solar water disinfection (SODIS): A review from bench-top to roof-top. J. Hazard. Mater. 2012, 235-236, 29–46. [Google Scholar] [CrossRef] [PubMed]
- Bancessi, A.; Pinto, M.M.F.; Duarte, E.; Catarino, L.; Nazareth, T. The antimicrobial properties of Moringa oleifera Lam. for water treatment: A systematic review. SN Appl. Sci. 2020, 2, 323. [Google Scholar] [CrossRef]
- Rowe, A.R. Chlorinating well water with liquid bleach was not an effective water disinfection strategy in Guinea-Bissau. Int. J. Environ. Health Res. 1998, 8, 339–340. [Google Scholar] [CrossRef]
- Sichel, C.; Blanco, J.; Malato, S.; Fernández-Ibáñez, P. Effects of experimental conditions on E. coli survival during solar photocatalytic water disinfection. J. Photochem. Photobiol. A 2007, 189, 239–246. [Google Scholar] [CrossRef]
- Huq, A.; Yunus, M.; Sohel, S.S.; Bhuiya, A.; Emch, M.; Luby, S.P.; Russek-Cohen, E.; Nair, G.B.; Sack, R.B.; Colwell, R.R. Simple sari cloth filtration of water is sustainable and continues to protect villagers from cholera in Matlab, Bangladesh. MBio 2010, 1, e00034-10. [Google Scholar] [CrossRef] [PubMed]
- Keogh, M.B.; Elmusharaf, K.; Borde, P.; McGuigan, K.G. Evaluation of the natural coagulant Moringa oleifera as a pretreatment for SODIS in contaminated turbid water. Sol. Energy 2017, 158, 448–454. [Google Scholar] [CrossRef]
- Tudor, H.E.A.; Gryte, C.C.; Harris, C.C. Seashells: Detoxifying Agents for Metal-Contaminated Waters. Water Air Soil Pollut. 2006, 173, 209–242. [Google Scholar] [CrossRef]
- Xu, Z.; Valeo, C.; Chu, A.; Zhao, Y. The Efficacy of Whole Oyster Shells for Removing Copper, Zinc, Chromium, and Cadmium Heavy Metal Ions from Stormwater. Sustainability 2021, 13, 4184. [Google Scholar] [CrossRef]




| Parameter | Unit | Season | Water Source | EU | WHO | ||
|---|---|---|---|---|---|---|---|
| Wet | Dry | Well | Borehole | ||||
| Temperature | °C | 24.4–35.3 (n = 650) 99% (n = 204) | 22.9–34.5 (n = 351) 99% (n = 204) | 22.9–35.3 (n = 903) 98% (n = 216) | 25.3–32.8 (n = 98) 100% (n = 35) | - | - |
| Conductivity | µS/cm | 12.0–2550 (n = 648) 0.5% (n = 204) | 12.2–3125 (n = 350) 0.6% (n = 165) | 12.0–2550 (n = 900) 0.5% (n = 216) | 19.1–3125 (n = 98) 3% (n = 35) | 2500 | - |
| DO saturation | % | 3.4–130 (n = 595) | 7.3–97.6 (n = 347) | 3.4–107.9 (n = 847) | 12.5–130 (n = 95) | - | - |
| pH | - | 3.37–8.62 (n = 647) 85% (n = 204) | 3.36–8.33 (n = 352) 88% (n = 165) | 3.36–8.62 (n = 900) 89% (n = 216) | 3.88–8.57 (n = 99) 49% (n = 35) | ≥6.5 and ≤9.5 | - |
| Colour | PtCo | 1–1210 (n = 651) 54% (n = 204) | 1–520 (n = 351) 58% (n = 163) | 1–1210 (n = 902) 59% (n = 212) | 1–720 (n = 100) 40% (n = 35) | a | a |
| Turbidity | NTU | 0.1–407 (n = 610) 42% (n = 191) | 0.1–82 (n = 339) 25% (n = 165) | 0.1–407 (n = 856) 45% (n = 206) | 0.1–45 (n = 93) 13% (n = 31) | a | - |
| Ammonium | mg NH4/L | 0.01–20.70 (n = 650) 22% (n = 204) | 0.01–14.50 (n = 353) 12% (n = 165) | 0.01–20.70 (n = 903) 22% (n = 216) | 0.01–1.22 (n = 100) 23% (n = 35) | 0.5 | - |
| Nitrate | mg NO3/L | 0.1–450 (n = 649) 19% (n = 204) | 0.1–473 (n = 354) 14% (n = 166) | 0.1–473 (n = 903) 20% (n = 216) | 0.1–88 (n = 100) 3% (n = 35) | 50 | 50 |
| Nitrite | mg NO2/L | 0.01–4.50 (n = 649) 4% (n = 204) | 0.01–0.90 (n = 352) 1% (n = 166) | 0.01–4.50 (n = 901) 5% (n = 216) | 0.01–0.24 (n = 100) 0% (n = 35) | 0.5 | 0.2 |
| Aluminium | mg/L | 0.01–1.30 (n = 573) 37% (n = 200) | 0.01–1.42 (n = 166) 36% (n = 166) | 0.01–1.42 (n = 818) 42% (n = 215) | 0.01–0.54 (n = 90) 18% (n = 34) | 0.2 | 0.2 |
| Arsenic | µg/L | 5–250 (n = 174) 27% (n = 51) | 5–22 (n = 75) 39% (n = 44) | 5–290 (n = 241) 80% (n = 30) | 5–10 (n = 8) 25% (n = 4) | 10 | 10 |
| Chromium | µg/L | 1–300 (n = 482) 8% (n = 190) | 1–226 (n = 243) 4% (n = 136) | 1–300 (n = 673) 10% (n = 199) | 1–46 (n = 52) 0% (n = 30) | 50 | 50 |
| Copper | µg/L | 1–1000 (n = 506) 0% (n = 171) | 1–1330 (n = 243) 0% (n = 136) | 1–330 (n = 702) 0% (n = 202) | 1–629 (n = 47) 0% (n = 19) | 2000 | 2000 |
| Cyanide | µg/L | 1–250 (n = 468) 4% (n = 167) | 1–47 (n = 197) 0% (n = 103) | 1–250 (n = 631) 3% (n = 199) | 1–19 (n = 34) 0% (n = 18) | 50 | 70 |
| Iron | µg/L | 1–4770 (n = 649) 23% (n = 204) | 1–2560 (n = 352) 20% (n = 166) | 1–4770 (n = 901) 26% (n = 216) | 2–1050 (n = 100) 29% (n = 35) | 200 | - |
| Faecal coliforms | CFU/100 mL | 0–376,850 (n = 636) 84% (n = 204) | 0–30,000 (n = 354) 83% (n = 166) | 0–376,850 (n = 891) 65% (n = 216) | 0–1520 (n = 99) 66% (n = 35) | 0 | 0 |
| Intestinal enterococci | CFU/100 mL | 0–51,300 (n = 625) 83% (n = 204) | 0–91,800 (n = 354) 73% (n = 166) | 0–91,800 (n = 881) 81% (n = 216) | 0–4320 (n = 98) 54% (n = 35) | 0 | 0 |
| Faecal Coliforms | Intestinal Enterococci | |
|---|---|---|
| Number of trees | 7650 | 6950 |
| Deviance explained (%) | 49 | 45 |
| CV correlation | 0.7 | 0.68 |
Publisher’s Note: MDPI stays neutral with regard to jurisdictional claims in published maps and institutional affiliations. |
© 2022 by the authors. Licensee MDPI, Basel, Switzerland. This article is an open access article distributed under the terms and conditions of the Creative Commons Attribution (CC BY) license (https://creativecommons.org/licenses/by/4.0/).
Share and Cite
Machado, A.; Amorim, E.; Bordalo, A.A. Spatial and Seasonal Drinking Water Quality Assessment in a Sub-Saharan Country (Guinea-Bissau). Water 2022, 14, 1987. https://doi.org/10.3390/w14131987
Machado A, Amorim E, Bordalo AA. Spatial and Seasonal Drinking Water Quality Assessment in a Sub-Saharan Country (Guinea-Bissau). Water. 2022; 14(13):1987. https://doi.org/10.3390/w14131987
Chicago/Turabian StyleMachado, Ana, Eva Amorim, and Adriano A. Bordalo. 2022. "Spatial and Seasonal Drinking Water Quality Assessment in a Sub-Saharan Country (Guinea-Bissau)" Water 14, no. 13: 1987. https://doi.org/10.3390/w14131987
APA StyleMachado, A., Amorim, E., & Bordalo, A. A. (2022). Spatial and Seasonal Drinking Water Quality Assessment in a Sub-Saharan Country (Guinea-Bissau). Water, 14(13), 1987. https://doi.org/10.3390/w14131987

