Coupling Two-Stage Stochastic Robust Programming with Improved Export Coefficient for Water Allocation among Industrial Sectors
Abstract
:1. Introduction
2. Development of Methodology
2.1. Two-Stage Stochastic Robust Programming Model
2.2. An Improved Export Coefficient Model
3. Application
3.1. Study Problem
3.2. Data Collection and Treatment
3.3. Model Formulation
- (1)
- Production constraints:Primary industry production constraints:
- (2)
- Resources constraints:Water supply-demand balance constraints:
- (3)
- Environmental constraints:
- (4)
- Non-negative constraints:
4. Results and Discussion
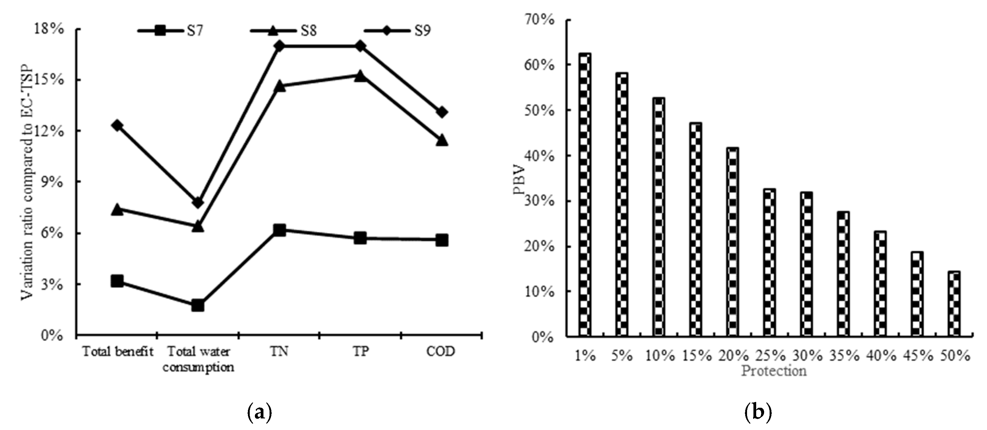
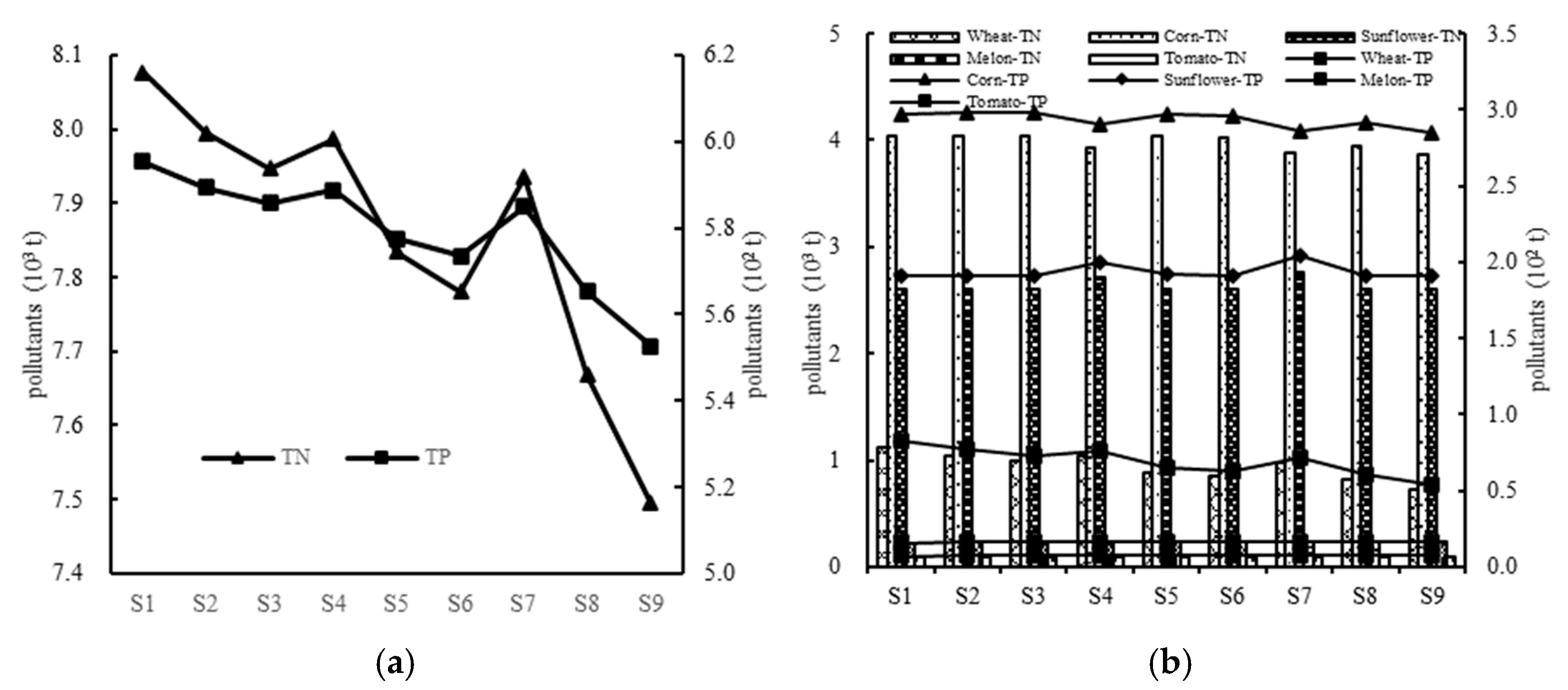
4.1. Results and Sensitivity Analysis
4.2. Discussion
5. Conclusions
Author Contributions
Funding
Institutional Review Board Statement
Informed Consent Statement
Data Availability Statement
Acknowledgments
Conflicts of Interest
References
- Veldkamp, T.I.E.; Wada, Y.; Aerts, J.; Doll, P.; Gosling, S.N.; Liu, J.; Masaki, Y.; Oki, T.; Ostberg, S.; Pokhrel, Y.; et al. Water scarcity hotspots travel downstream due to human interventions in the 20th and 21st century. Nat. Commun. 2017, 8, 15697. [Google Scholar] [CrossRef]
- Cai, Y.; Cai, J.; Xu, L.; Tan, Q.; Xu, Q. Integrated risk analysis of water-energy nexus systems based on systems dynamics, orthogonal design and copula analysis. Renew. Sustain. Energy Rev. 2019, 99, 125–137. [Google Scholar] [CrossRef]
- Li, Y.; Zhang, Z.; Shi, M. What should be the future industrial structure of the Beijing-Tianjin-Hebei city region under water resource constraint? An inter-city input-output analysis. J. Clean. Prod. 2019, 239, 118117. [Google Scholar] [CrossRef]
- Wang, X.-J.; Zhang, J.-Y.; Shahid, S.; Guan, E.-H.; Wu, Y.-X.; Gao, J.; He, R.-M. Adaptation to climate change impacts on water demand. Mitig. Adapt. Strateg. Glob. Change 2014, 21, 81–99. [Google Scholar] [CrossRef]
- Ouyang, W.; Skidmore, A.K.; Toxopeus, A.G.; Hao, F. Long-term vegetation landscape pattern with non-point source nutrient pollution in upper stream of Yellow River basin. J. Hydrol. 2010, 389, 373–380. [Google Scholar] [CrossRef]
- Chen, H.; Wang, Z. An inexact multi-stage interval-parameter partial information programming model for water resources management under uncertainties. Water Supply 2021, 21, 2139–2157. [Google Scholar] [CrossRef]
- An, M.; Fan, L.; Huang, J.; Yang, W.; Wu, H.; Wang, X.; Khanal, R. The gap of water supply-Demand and its driving factors: From water footprint view in Huaihe River Basin. PLoS ONE 2021, 16, e0247604. [Google Scholar] [CrossRef] [PubMed]
- Roozbahani, R.; Schreider, S.; Abbasi, B. Optimal water allocation through a multi-objective compromise between environmental, social, and economic preferences. Environ. Model. Softw. 2015, 64, 18–30. [Google Scholar] [CrossRef]
- Wei, Y.; Sun, B. Optimizing Water Use Structures in Resource-Based Water-Deficient Regions Using Water Resources Input–Output Analysis: A Case Study in Hebei Province, China. Sustainability 2021, 13, 3939. [Google Scholar] [CrossRef]
- Li, N.; Yang, H.; Wang, L.; Huang, X.; Zeng, C.; Wu, H.; Ma, X.; Song, X.; Wei, Y. Optimization of industry structure based on water environmental carrying capacity under uncertainty of the Huai River Basin within Shandong Province, China. J. Clean. Prod. 2016, 112, 4594–4604. [Google Scholar] [CrossRef]
- Zhang, X.; Dong, Z.; Luo, B. Industrial Structure Optimization based on Water Quantity and Quality Restrictions. J. Hydrol. Eng. 2013, 18, 1107–1113. [Google Scholar] [CrossRef]
- Bailey, T.G.; Jensen, P.A.; Morton, D.P. Response surface analysis of two-stage stochastic linear programming with recourse. Nav. Res. Logist. 1999, 46, 753–776. [Google Scholar] [CrossRef]
- Perevozchikov, A.G. The stochastic method of generalized Clarke gradients for solving two- stage problems of stochastic programming with coupled variables. Comput. Math. Math. Phys. 1993, 33, 453–455. [Google Scholar]
- Fu, Q.; Li, L.; Li, M.; Li, T.; Liu, D.; Hou, R.; Zhou, Z. An interval parameter conditional value-at-risk two-stage stochastic programming model for sustainable regional water allocation under different representative concentration pathways scenarios. J. Hydrol. 2018, 564, 115–124. [Google Scholar] [CrossRef]
- Xie, Y.L.; Huang, G.H.; Li, W.; Li, J.B.; Li, Y.F. An inexact two-stage stochastic programming model for water resources management in Nansihu Lake Basin, China. J. Environ. Manag. 2013, 127, 188–205. [Google Scholar] [CrossRef]
- Yue, W.; Cai, Y.; Su, M.; Zhi, D.; Yang, Z. A two-stage stochastic programming model for industrial adjustment on water and energy resources in Guangdong Province, China. In Proceedings of the 2017 6th International Conference on Energy and Environmental Protection (ICEEP 2017), Zhuhai, China, 29–30 June 2017. [Google Scholar]
- Meng, C.; Wang, X.; Li, Y. An Optimization Model for Waste Load Allocation under Water Carrying Capacity Improvement Management, A Case Study of the Yitong River, Northeast China. Water 2017, 9, 573. [Google Scholar] [CrossRef]
- Wilby, R.L. Uncertainty in water resource model parameters used for climate change impact assessment. Hydrol. Processes 2005, 19, 3201–3219. [Google Scholar] [CrossRef]
- Hart, O.E.; Halden, R.U. On the need to integrate uncertainty into U.S. water resource planning. Sci. Total Environ. 2019, 691, 1262–1270. [Google Scholar] [CrossRef]
- Yao, L.; Xu, Z.; Chen, X. Sustainable water allocation strategies under various climate scenarios: A case study in China. J. Hydrol. 2019, 574, 529–543. [Google Scholar] [CrossRef]
- Li, Y.P.; Huang, G.H.; Nie, S.L. An interval-parameter multi-stage stochastic programming model for water resources management under uncertainty. Adv. Water Resour. 2006, 29, 776–789. [Google Scholar] [CrossRef]
- Meng, C.; Li, W.; Cheng, R.; Zhou, S. An Improved Inexact Two-Stage Stochastic with Downside Risk-Control Programming Model for Water Resource Allocation under the Dual Constraints of Water Pollution and Water Scarcity in Northern China. Water 2021, 13, 1318. [Google Scholar] [CrossRef]
- Huang, G.H. An Inexact Two-Stage Stochastic Programming Model for Water Resources Management under Uncertainty. Civ. Eng. Environ. Syst. 2000, 17, 95–118. [Google Scholar] [CrossRef]
- Guo, P.; Huang, G.H. Two-stage fuzzy chance-constrained programming: Application to water resources management under dual uncertainties. Stoch. Environ. Res. Risk Assess. 2008, 23, 349–359. [Google Scholar] [CrossRef]
- Xie, Y.L.; Huang, G.H. Development of an inexact two-stage stochastic model with downside risk control for water quality management and decision analysis under uncertainty. Stoch. Environ. Res. Risk Assess. 2014, 28, 1555–1575. [Google Scholar] [CrossRef]
- Zhou, Y.; Huang, G.; Wang, S.; Zhai, Y.; Xin, X. Water resources management under dual uncertainties: A factorial fuzzy two-stage stochastic programming approach. Stoch. Environ. Res. Risk Assess. 2015, 30, 795–811. [Google Scholar] [CrossRef]
- Khosrojerdi, T.; Moosavirad, S.H.; Ariafar, S.; Ghaeini-Hessaroeyeh, M. Optimal Allocation of Water Resources Using a Two-Stage Stochastic Programming Method with Interval and Fuzzy Parameters. Nat. Resour. Res. 2018, 28, 1107–1124. [Google Scholar] [CrossRef]
- Cai, Y.P.; Huang, G.H.; Yang, Z.F.; Lin, Q.G.; Tan, Q. Community-scale renewable energy systems planning under uncertainty—An interval chance-constrained programming approach. Renew. Sustain. Energy Rev. 2009, 13, 721–735. [Google Scholar] [CrossRef]
- Tan, Q.; Zhang, T. Robust fractional programming approach for improving agricultural water-use efficiency under uncertainty. J. Hydrol. 2018, 564, 1110–1119. [Google Scholar] [CrossRef]
- Cai, Y.P.; Huang, G.H.; Yang, Z.F.; Tan, Q. Identification of optimal strategies for energy management systems planning under multiple uncertainties. Appl. Energ. 2009, 86, 480–495. [Google Scholar] [CrossRef]
- Gabrel, V.; Murat, C.; Thiele, A. Recent advances in robust optimization: An overview. Eur. J. Oper. Res. 2014, 235, 471–483. [Google Scholar] [CrossRef]
- Naderi, M.J.; Pishvaee, M.S. Robust bi-objective macroscopic municipal water supply network redesign and rehabilitation. Water Resour. Manag. 2017, 31, 2689–2711. [Google Scholar] [CrossRef]
- Palma, C.D.; Nelson, J.D. Bi-objective multi-period planning with uncertain weights: A robust optimization approach. Eur. J. For. Res. 2010, 129, 1081–1091. [Google Scholar] [CrossRef]
- Palma, C.D.; Nelson, J.D. A robust optimization approach protected harvest scheduling decisions against uncertainty. Can. J. For. Res. 2009, 39, 342–355. [Google Scholar] [CrossRef]
- Tan, Q.; Huang, G.H.; Cai, Y. Radial-Interval Linear Programming for Environmental Management under Varied Protection Levels. J. Air Waste Manag. Assoc. 2010, 60, 1078–1093. [Google Scholar] [CrossRef]
- Shang, Y.; Lu, S.; Li, X.; Sun, G.; Shang, L.; Shi, H.; Lei, X.; Ye, Y.; Sang, X.; Wang, H. Drivers of industrial water use during 2003–2012 in Tianjin, China: A structural decomposition analysis. J. Clean. Prod. 2017, 140, 1136–1147. [Google Scholar] [CrossRef]
- Xu, Y.; Huang, K.; Yu, Y.; Wang, X. Changes in water footprint of crop production in Beijing from 1978 to 2012: A logarithmic mean Divisia index decomposition analysis. J. Clean. Prod. 2015, 87, 180–187. [Google Scholar] [CrossRef]
- Zhou, X.Y.; Lei, K.; Meng, W.; Khu, S.T. Industrial structural upgrading and spatial optimization based on water environment carrying capacity. J. Clean. Prod. 2017, 165, 1462–1472. [Google Scholar] [CrossRef]
- Zhang, X.; Yong, Z.; Ge, J.; Hao, X. Water resources carrying capacity and industrial structure optimization based on interval fuzzy bi-level programming mosel. J. Hydraul. Eng. 2019, 50, 565–577. [Google Scholar]
- Ding, X.; Shen, Z.; Hong, Q.; Yang, Z.; Wu, X.; Liu, R. Development and test of the Export Coefficient Model in the Upper Reach of the Yangtze River. J. Hydrol. 2010, 383, 233–244. [Google Scholar] [CrossRef]
- Cai, Y.; Rong, Q.; Yang, Z.; Yue, W.; Tan, Q. An export coefficient based inexact fuzzy bi-level multi-objective programming model for the management of agricultural nonpoint source pollution under uncertainty. J. Hydrol. 2018, 557, 713–725. [Google Scholar] [CrossRef]
- Rong, Q.; Cai, Y.; Chen, B.; Yue, W.; Yin, X.A.; Tan, Q. An enhanced export coefficient based optimization model for supporting agricultural nonpoint source pollution mitigation under uncertainty. Sci. Total Environ. 2017, 580, 1351–1362. [Google Scholar] [CrossRef] [Green Version]
- Tan, Q.; Huang, G.; Cai, Y.; Yang, Z. A non-probabilistic programming approach enabling risk-aversion analysis for supporting sustainable watershed development. J. Clean. Prod. 2016, 112, 4771–4788. [Google Scholar] [CrossRef]
- Song, G.; Dai, C.; Tan, Q.; Zhang, S. Agricultural Water Management Model Based on Grey Water Footprints under Uncertainty and its Application. Sustainability 2019, 11, 5567. [Google Scholar] [CrossRef] [Green Version]
- Liu, X.; Han, X.; Zhang, X.; Wang, X.; Yang, L.; Chang, Z.; Liu, H. Using SEBAL Model and HJ Satellite Data to Calculate Regional Evapotranspiration and Irrigation Water Use Efficiency. J. Irrig. Drain. 2021, 40, 136–144. [Google Scholar]
- Zhang, B.L.; Cui, B.H.; Zhang, S.M.; Wu, Q.Y.; Yao, L. Source apportionment of nitrogen and phosphorus from non-point source pollution in Nansi Lake Basin, China. Environ. Sci. Pollut. Res. Int. 2018, 25, 19101–19113. [Google Scholar] [CrossRef]
- Wu, L.; Li, P.; Ma, X.-Y. Estimating nonpoint source pollution load using four modified export coefficient models in a large easily eroded watershed of the loess hilly–gully region, China. Environ. Earth Sci. 2016, 75, 1056. [Google Scholar] [CrossRef]
- Dong, F.; Liu, X.B.; Peng, W.Q.; Wang, L. Estimation of non-point source pollution loads by improvising export coefficient model in watershed with a modified planting pattern. IOP Conf. Ser. Earth Environ. Sci. 2017, 82, 012068. [Google Scholar] [CrossRef] [Green Version]
- Zhu, Y.; Li, C.; Shi, X.; Zhen, Z.; Xi, X.; Yun, T.; Zhang, J.; Yang, J. Estimation of Pollution Loads from Agricultural Non point sources in Chifeng Region Based on Export Coefficient Modeling Approach. J. Irrig. Drain. 2016, 35, 109–112. [Google Scholar]
- Sun, X.; Bao, L.; Hao, Y.; Cheng, H.; Wang, C.; Huang, K. Estimization and analysis of agricultural non-point source pollution load in Harbin. J. Saf. Environ. 2016, 15, 300–305. [Google Scholar]
- Zhang, A. Evaluation of agricultural non-point source pollution in the Ningxia Yellow Diversion Irrigation District. Chin. J. Ecol. 2013, 32, 156–163. [Google Scholar]
- Hu, W.; Li, G.; Guo, Y.; Jia, Y. Construction and validation of an empirical statistical model for agricultural non-point source pollution in the Fen River irrigation area. J. China Agric. Univ. 2015, 20, 207–215. [Google Scholar]
- Cheng, X.; Chen, L.; Sun, R.; Jing, Y. An improved export coefficient model to estimate non-point source phosphorus pollution risks under complex precipitation and terrain conditions. Environ. Sci. Pollut. Res. 2018, 25, 20946–20955. [Google Scholar] [CrossRef]
















| LH | WY | DK | UF | UM | UR | HH | Bayan Nur | ||
|---|---|---|---|---|---|---|---|---|---|
| Crop Yield (kg/hm2) | Crop Irrigation Quota (m³/hm2) | Crop Price (¥/kg) | |||||||
| Wheat | 5940 | 5265 | 5340 | 5198 | 3428 | 5738 | 6015 | 5300 | 3.3 |
| Corn | 11,295 | 10,853 | 10,260 | 10,733 | 9690 | 9608 | 11,040 | 4400 | 2.4 |
| Sunflower | 3488 | 3293 | 3038 | 2588 | 2385 | 2783 | 3668 | 3150 | 6.5 |
| Melon | 42,938 | 34,883 | 36,098 | 35,933 | 34,200 | 40,823 | 50,685 | 2000 | 3.6 |
| Tomato | 75,390 | 62,580 | 66,885 | 72,983 | 44,123 | 41,445 | 80,153 | 2800 | 4.8 |
| Unit output value (¥/ca) | Water demand (m³/ca/year) | ||||||||
| Cattle | 6287 | 18,598 | 3524 | 8201 | 6503 | 7095 | 7025 | 21.90 | |
| Sheep | 793 | 718 | 822 | 933 | 756 | 841 | 971 | 3.65 | |
| Pig | 3349 | 2988 | 1738 | 3153 | 3340 | 2025 | 2734 | 18.25 | |
| Quota of added value of ¥104 (m³/¥104) | COD discharge coefficient (kg/¥104/year) | ||||||||
| Industry | 25.8 | 22.7 | 28.54 | 47.05 | 22.07 | 36.03 | 23.18 | 3.16 | |
| Construction | 12 | 12 | 12 | 12 | 12 | 12 | 12 | 1.90 | |
| Quota of added value of ¥104 (m³/¥104) | COD discharge coefficient (kg/¥104/year) | ||||||||
| Service | 10 | 10 | 10 | 10 | 10 | 10 | 10 | 18.96 | |
| LH | WY | DK | ||||||||
| Agr | Liv | Ins | Agr | Liv | Ins | Agr | Liv | Ins | ||
| P1 | L | 9.57 | 0.08 | 0.29 | 9.08 | 0.07 | 0.06 | 5.65 | 0.02 | 0.08 |
| M | 9.85 | 0.09 | 0.30 | 9.35 | 0.07 | 0.07 | 5.81 | 0.02 | 0.09 | |
| H | 10.11 | 0.09 | 0.31 | 9.59 | 0.07 | 0.07 | 5.96 | 0.03 | 0.09 | |
| P2 | L | 9.47 | 0.08 | 0.34 | 8.99 | 0.07 | 0.11 | 5.59 | 0.02 | 0.11 |
| M | 9.74 | 0.09 | 0.35 | 9.25 | 0.07 | 0.12 | 5.75 | 0.02 | 0.12 | |
| H | 10.00 | 0.09 | 0.36 | 9.49 | 0.07 | 0.12 | 5.90 | 0.03 | 0.12 | |
| P3 | L | 9.36 | 0.08 | 0.40 | 8.89 | 0.07 | 0.16 | 5.52 | 0.02 | 0.14 |
| M | 9.64 | 0.09 | 0.41 | 9.15 | 0.07 | 0.17 | 5.69 | 0.02 | 0.15 | |
| H | 9.89 | 0.09 | 0.42 | 9.39 | 0.07 | 0.17 | 5.83 | 0.03 | 0.15 | |
| UF | UM | UR | ||||||||
| Agr | Liv | Ins | Agr | Liv | Ins | Agr | Liv | Ins | ||
| P1 | L | 7.13 | 0.05 | 0.25 | 2.90 | 0.04 | 0.10 | 0.49 | 0.02 | 0.14 |
| M | 7.34 | 0.05 | 0.26 | 2.98 | 0.04 | 0.10 | 0.51 | 0.02 | 0.15 | |
| H | 7.53 | 0.05 | 0.27 | 3.06 | 0.05 | 0.10 | 0.52 | 0.02 | 0.15 | |
| P2 | L | 7.05 | 0.05 | 0.29 | 2.86 | 0.04 | 0.12 | 0.48 | 0.02 | 0.15 |
| M | 7.25 | 0.05 | 0.30 | 2.95 | 0.04 | 0.12 | 0.50 | 0.02 | 0.15 | |
| H | 7.44 | 0.05 | 0.31 | 3.02 | 0.05 | 0.12 | 0.51 | 0.02 | 0.16 | |
| P3 | L | 6.97 | 0.05 | 0.34 | 2.83 | 0.04 | 0.13 | 0.48 | 0.02 | 0.15 |
| M | 7.17 | 0.05 | 0.35 | 2.91 | 0.04 | 0.14 | 0.49 | 0.02 | 0.16 | |
| H | 7.36 | 0.05 | 0.35 | 2.99 | 0.05 | 0.14 | 0.50 | 0.02 | 0.16 | |
| HH | Bayan Nur | |||||||||
| Agr | Liv | Ins | Con | Ser | ||||||
| P1 | L | 7.49 | 0.06 | 0.09 | 0.05 | 0.13 | ||||
| M | 7.70 | 0.06 | 0.09 | 0.05 | 0.13 | |||||
| H | 7.91 | 0.07 | 0.10 | 0.05 | 0.13 | |||||
| P2 | L | 7.39 | 0.06 | 0.14 | 0.08 | 0.17 | ||||
| M | 7.61 | 0.06 | 0.14 | 0.08 | 0.17 | |||||
| H | 7.81 | 0.07 | 0.15 | 0.08 | 0.17 | |||||
| P3 | L | 7.30 | 0.06 | 0.19 | 0.11 | 0.20 | ||||
| M | 7.51 | 0.06 | 0.19 | 0.11 | 0.21 | |||||
| H | 7.70 | 0.07 | 0.20 | 0.12 | 0.21 | |||||
| Wheat | Corn | Sunflower | Melon | Tomato | Cattle | Sheep | Pig | |
|---|---|---|---|---|---|---|---|---|
| TN | 22.77 | 18.9 | 13.53 | 12.03 | 8.59 | 10.21 | 0.4 | 0.74 |
| TP | 1.68 | 1.39 | 1 | 0.89 | 0.63 | 0.31 | 0.05 | 0.14 |
| L1 | L5 | L10 | |
|---|---|---|---|
| B10 | S1 | S2 | S3 |
| B20 | S4 | S5 | S6 |
| B30 | S7 | S8 | S9 |
Publisher’s Note: MDPI stays neutral with regard to jurisdictional claims in published maps and institutional affiliations. |
© 2022 by the authors. Licensee MDPI, Basel, Switzerland. This article is an open access article distributed under the terms and conditions of the Creative Commons Attribution (CC BY) license (https://creativecommons.org/licenses/by/4.0/).
Share and Cite
Zhao, H.; Tan, Q.; Zhang, S.; Zhang, T.; Zhang, T.; Hu, K. Coupling Two-Stage Stochastic Robust Programming with Improved Export Coefficient for Water Allocation among Industrial Sectors. Water 2022, 14, 1947. https://doi.org/10.3390/w14121947
Zhao H, Tan Q, Zhang S, Zhang T, Zhang T, Hu K. Coupling Two-Stage Stochastic Robust Programming with Improved Export Coefficient for Water Allocation among Industrial Sectors. Water. 2022; 14(12):1947. https://doi.org/10.3390/w14121947
Chicago/Turabian StyleZhao, Hang, Qian Tan, Shan Zhang, Tong Zhang, Tianyuan Zhang, and Kejia Hu. 2022. "Coupling Two-Stage Stochastic Robust Programming with Improved Export Coefficient for Water Allocation among Industrial Sectors" Water 14, no. 12: 1947. https://doi.org/10.3390/w14121947
APA StyleZhao, H., Tan, Q., Zhang, S., Zhang, T., Zhang, T., & Hu, K. (2022). Coupling Two-Stage Stochastic Robust Programming with Improved Export Coefficient for Water Allocation among Industrial Sectors. Water, 14(12), 1947. https://doi.org/10.3390/w14121947
