Regional-Scale Distribution of Helium Isotopes in Aquifers: How Informative Are They as Groundwater Tracers and Chronometers?
Abstract
1. Introduction
2. Materials and Methods
2.1. Study Area
2.2. Analytical Methods
3. Results and Discussion
3.1. Helium Sources
3.2. Helium Isotopic Spatial Distribution and Recharge Confinement Conditions
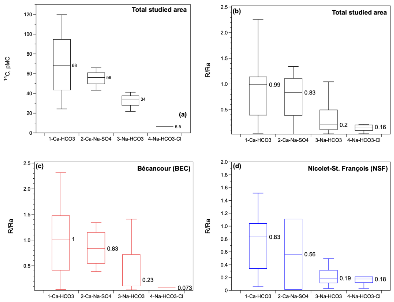
3.3. Helium Isotopic Signature and Groundwater Chemistry
3.4. Helium as a Water Chronometer
3.5. Noble Gas Paleotemperatures and Recharge Conditions during the Holocene
4. Conclusions
Supplementary Materials
Author Contributions
Funding
Data Availability Statement
Acknowledgments
Conflicts of Interest
References
- Beyerle, U.; Aeschbach-Hertig, W.; Hofer, M.; Imboden, D.; Baur, H.; Kipfer, R. Infiltration of river water to a shallow aquifer investigated with 3H/3He, noble gases and CFCs. J. Hydrol. 1999, 220, 169–185. [Google Scholar] [CrossRef]
- Hall, C.M.; Castro, M.C.; Lohmann, K.C.; Ma, L. Noble gases and stable isotopes in a shallow aquifer in southern Michigan: Implications for noble gas paleotemperature reconstructions for cool climates. Geophys. Res. Lett. 2005, 32, L18404. [Google Scholar] [CrossRef]
- Wen, T.; Castro, M.C.; Hall, C.M.; Pinti, D.L.; Lohmann, K.C. Constraining groundwater flow in the glacial drift and saginaw aquifers in the Michigan Basin through helium concentrations and isotopic ratios. Geofluids 2016, 16, 3–25. [Google Scholar] [CrossRef]
- Medici, G.; Engdahl, N.B.; Langman, J.B. A Basin-Scale Groundwater Flow Model of the Columbia Plateau Regional Aquifer System in the Palouse (USA): Insights for Aquifer Vulnerability Assessment. Int. J. Environ. Res. 2021, 15, 299–312. [Google Scholar] [CrossRef]
- Duckett, K.A.; Langman, J.B.; Bush, J.H.; Brooks, E.S.; Dunlap, P.; Stanley, J.R. Noble gases, dead carbon, and reinterpretation of groundwater ages and travel time in local aquifers of the Columbia River Basalt Group. J. Hydrol. 2020, 581, 124400. [Google Scholar] [CrossRef]
- Castro, M.C.; Jambon, A.; De Marsily, G.; Schlosser, P. Noble gases as natural tracers of water circulation in the Paris Basin: 1. Measurements and discussion of their origin and mechanisms of vertical transport in the basin. Water Resour. Res. 1998, 34, 2443–2466. [Google Scholar] [CrossRef]
- Ma, L.; Castro, M.C.; Hall, C.M. Crustal noble gases in deep brines as natural tracers of vertical transport processes in the Michigan Basin. Geochem. Geophys. Geosyst. 2009, 10, Q06001. [Google Scholar] [CrossRef]
- Pinti, D.L.; Béland-Otis, C.; Tremblay, A.; Castro, M.C.; Hall, C.M.; Marcil, J.-S.; Lavoie, J.-Y.; Lapointe, R. Fossil brines preserved in the St-Lawrence Lowlands, Québec, Canada as revealed by their chemistry and noble gas isotopes. Geochim. Cosmochim. Acta 2011, 75, 4228–4243. [Google Scholar] [CrossRef]
- Aggarwal, P.K.; Matsumoto, T.; Sturchio, N.; Chang, H.K.; Gastmans, D.; Araguas-Araguas, L.J.; Jiang, W.; Lu, Z.-T.; Mueller, P.; Yokochi, R.; et al. Continental degassing of 4He by surficial discharge of deep groundwater. Nat. Geosci. 2014, 8, 35–39. [Google Scholar] [CrossRef]
- Tolstikhin, N.I.; Kamensky, I.L. On the Possibility of Groundwater Dating by the Tritium-Helium-3 Method. Geokhimiya 1969, 8, 1027–1029. [Google Scholar]
- Torgersen, T. Controls on pore-fluid concentration of 4He and 222Rn and the calculation of 4He/222Rn ages. J. Geochem. Explor. 1980, 13, 57–75. [Google Scholar] [CrossRef]
- Kulongoski, T.J.; Hilton, D.R. Applications of Groundwater Helium. In Handbook of Environmental Isotop Geochemistry; Springer Isotope Handbook: Reston, VA, USA, 2011; Volume 1, pp. 285–304. [Google Scholar]
- Holland, G.P.; Lollar, B.S.; Li, L.; Lacrampe-Couloume, G.; Slater, G.F.; Ballentine, C. Deep fracture fluids isolated in the crust since the Precambrian era. Nature 2013, 497, 357–360. [Google Scholar] [CrossRef]
- Heard, A.W.; Warr, O.; Borgonie, G.; Linage, B.; Kuloyo, O.; Fellowes, J.W.; Magnabosco, C.; Lau, M.C.Y.; Erasmus, M.; Cason, E.D.; et al. South African Crustal Fracture Fluids Preserve Paleometeoric Water Signatures for up to Tens of Millions of Years. Chem. Geol. 2018, 493, 379–395. [Google Scholar] [CrossRef]
- Mazor, E. Paleotemperatures and other hydrological parameters deduced from noble gases dissolved in groundwaters; Jordan Rift Valley, Israel. Geochim. Cosmochim. Acta 1972, 36, 1321–1336. [Google Scholar] [CrossRef]
- Stute, M.; Schlosser, P. Principles and Applications of the Noble Gas Paleothermometer. In Climate Change in Continental Isotopic Records; Swart, P.K., Lohmann, K.C., McKenzie, J., Savin, S., Eds.; AGU: Washington, DC, USA, 1993; pp. 89–100. [Google Scholar]
- Aeschbach-Hertig, W.; Peeters, F.; Beyerle, U.; Kipfer, R. Palaeotemperature reconstruction from noble gases in ground water taking into account equilibration with entrapped air. Nature 2000, 405, 1040–1044. [Google Scholar] [CrossRef]
- Castro, M.C.; Warrier, R.B.; Hall, C.M.; Lohmann, K.C. A late Pleistocene-Mid-Holocene noble gas and stable isotope climate and subglacial record in southern Michigan. Geophys. Res. Lett. 2012, 39, L19709. [Google Scholar] [CrossRef]
- Seltzer, A.M.; Ng, J.; Aeschbach, W.; Kipfer, R.; Kulongoski, J.T.; Severinghaus, J.P.; Stute, M. Widespread six degrees Celsius cooling on land during the Last Glacial Maximum. Nature 2021, 593, 228–232. [Google Scholar] [CrossRef]
- Beyerle, U.; Purtschert, R.; Aeschbach-Hertig, W.; Imboden, D.M.; Loosli, H.H.; Wieler, R.; Kipfer, R. Climate and Groundwater Recharge during the Last Glaciation in an Ice-Covered Region. Science 1998, 282, 731–734. [Google Scholar] [CrossRef]
- Piotrowski, J.A. Groundwater under Ice Sheets and Glaciers. Glacier Sci. Environ. Chang. 2006, 50–60. [Google Scholar] [CrossRef]
- Lemieux, J.-M.; Sudicky, E.A.; Peltier, W.R.; Tarasov, L. Dynamics of groundwater recharge and seepage over the Canadian landscape during the Wisconsinian glaciation. J. Geophys. Res. Earth Surf. 2008, 113. [Google Scholar] [CrossRef]
- Carrier, A.M.; Lefebvre, R.; Rivard, C.; Parent, M.; Ballard, J.-M.; Benoit, N.; Vigneault, H.; Beaudry, C.; Malet, X.; Laurencelle, M.; et al. Portrait des Ressources en Eau Souterraine en Montérégie Est; Institut National de la Recherche Scientifique (INRS-Eau): Montréal, QC, Canada, 2013. [Google Scholar]
- Larocque, M.; Gagné, S.; Tremblay, L.; Meyzonnat, G. Projet de Connaissance des Eaux Souterraines du Bassin Versant de la RivièRe BéCancour et de la Mrc de BéCancour; Université du Québec à Montréal: Montréal, QC, Canada, 2013; p. 219. [Google Scholar]
- Larocque, M.; Gagné, S.; Barnetche, D.; Meyzonnat, G.; Graveline, M.H.; Ouellet, M.A. Projet de Connaissance des Eaux Souterraines de la Zone Nicolet et de la Partie Basse de la Zone Saint-François; Université du Québec à Montréal: Montréal, QC, Canada, 2015; p. 241. [Google Scholar]
- Beaudry, C.; Lefebvre, R.; Rivard, C.; Cloutier, V. Conceptual model of regional groundwater flow based on hydrogeochemistry (Montérégie Est, Québec, Canada). Can. Water Resour. J. 2018, 43, 152–172. [Google Scholar] [CrossRef]
- Vautour, G.; Pinti, D.L.; Méjean, P.; Saby, M.; Meyzonnat, G.; Larocque, M.; Castro, M.C.; Hall, C.M.; Boucher, C.; Roulleau, E.; et al. 3H/3He, 14C and (U–Th)/He groundwater ages in the St. Lawrence Lowlands, Quebec, Eastern Canada. Chem. Geol. 2015, 413, 94–106. [Google Scholar] [CrossRef]
- Saby, M.; Larocque, M.; Pinti, D.L.; Barbecot, F.; Sano, Y.; Castro, M.C. Linking groundwater quality to residence times and regional geology in the St. Lawrence Lowlands, southern Quebec, Canada. Appl. Geochem. 2016, 65, 1–13. [Google Scholar] [CrossRef]
- Globensky, Y. Géologie des Basses Terres Du Saint-Laurent; Ministère des Richesses Naturelles du Québec: Québec, QC, Canada, 1987; p. 63. [Google Scholar]
- Tremblay, A.; Pinet, N. Late Neoproterozoic to Permian tectonic evolution of the Quebec Appalachians, Canada. Earth-Sci. Rev. 2016, 160, 131–170. [Google Scholar] [CrossRef]
- Lavoie, D.; Rivard, C.; Lefebvre, R.; Séjourné, S.; Thériault, R.; Duchesne, M.; Ahad, J.; Wang, B.; Benoit, N.; Lamontagne, C. The Utica Shale and gas play in southern Quebec: Geological and hydrogeological syntheses and methodological approaches to groundwater risk evaluation. Int. J. Coal Geol. 2014, 126, 77–91. [Google Scholar] [CrossRef]
- Perrot, M.; Tremblay, A. Structural characterization of late Silurian normal faults in the Quebec Appalachians: Implications for sedimentary basin formation and Laurentian margin exhumation during the Salinic orogeny. J. Struct. Geol. 2021, 150, 104397. [Google Scholar] [CrossRef]
- Globensky, Y.; et collaborateurs. Lexique Stratigraphique Canadien: Région des Appalaches, des Basses-Terres du Saint-Laurent et des ÎLes de la Madeleine; Ministère de l’énergie et des Ressources: Québec, QC, Canada, 1993; p. 327. [Google Scholar]
- Lamothe, M. A New Framework for the Pleistocene Stratigraphy of the Central St. Lawrence Lowland, Southern Québec. Geogr. Phys. Quat. 1989, 43, 119–129. [Google Scholar] [CrossRef][Green Version]
- Malgrange, J.; Gleeson, T. Shallow, old, and hydrologically insignificant fault zones in the Appalachian orogen. J. Geophys. Res. Solid Earth 2014, 119, 346–359. [Google Scholar] [CrossRef]
- Occhietti, S.; Richard, P.J. Effet réservoir sur les âges 14C de la Mer de Champlain à la transition Pléistocène-Holocène: Révision de la chronologie de la déglaciation au Québec méridional. Geogr. Phys. Quat. 2003, 57, 115–138. [Google Scholar]
- Gagné, S.; Larocque, M.; Pinti, D.L.; Saby, M.; Meyzonnat, G.; Méjean, P. Benefits and limitations of using isotope-derived groundwater travel times and major ion chemistry to validate a regional groundwater flow model: Example from the Centre-du-Québec region, Canada. Can. Water Resour. J. Rev. Can. Ressour. Hydr. 2017, 43, 195–213. [Google Scholar] [CrossRef]
- Dubois, E.; Larocque, M.; Gagné, S.; Meyzonnat, G. Simulation of long-term spatiotemporal variations in regional-scale groundwater recharge: Contributions of a water budget approach in cold and humid climates. Hydrol. Earth Syst. Sci. 2021, 25, 6567–6589. [Google Scholar] [CrossRef]
- Meyzonnat, G.; Larocque, M.; Barbecot, F.; Pinti, D.; Gagne, S. The potential of major ion chemistry to assess groundwater vulnerability of a regional aquifer in southern Quebec (Canada). Environ. Earth Sci. 2015, 75, 1–12. [Google Scholar] [CrossRef]
- Cloutier, V.; Lefebvre, R.; Savard, M.M.; Bourque, É.; Therrien, R. Hydrogeochemistry and groundwater origin of the Basses-Laurentides sedimentary rock aquifer system, St. Lawrence Lowlands, Québec, Canada. Appl. Hydrogeol. 2005, 14, 573–590. [Google Scholar] [CrossRef]
- Cloutier, V.; Lefebvre, R.; Savard, M.M.; Therrien, R. Desalination of a sedimentary rock aquifer system invaded by Pleistocene Champlain Sea water and processes controlling groundwater geochemistry. Environ. Earth Sci. 2010, 59, 977–994. [Google Scholar] [CrossRef]
- Castro, M.C.; Ma, L.; Hall, C.M. A primordial, solar He–Ne signature in crustal fluids of a stable continental region. Earth Planet. Sci. Lett. 2009, 279, 174–184. [Google Scholar] [CrossRef]
- Matsuda, J.; Matsumoto, T.; Sumino, H.; Nagao, K.; Yamamoto, J.; Miura, Y.; Kaneoka, I.; Takahata, N.; Sano, Y. The 3He/4He ratio of the new internal He Standard of Japan (HESJ). Geochem. J. 2002, 36, 191–195. [Google Scholar] [CrossRef]
- Pinti, D.L.; Van Drom, E. PALEOTEMP: A Mathematica® program for evaluating paleotemperatures from the concentration of atmosphere-derived noble gases in ground water. Comput. Geosci. 1998, 24, 33–41. [Google Scholar] [CrossRef]
- Ballentine, C.; Hall, C. Determining paleotemperature and other variables by using an error-weighted, nonlinear inversion of noble gas concentrations in water. Geochim. Cosmochim. Acta 1999, 63, 2315–2336. [Google Scholar] [CrossRef]
- Heaton, E.T.H.; Vogel, J.C. Excess Air in Groundwater. J. Hydrol. 1981, 50, 201–208. [Google Scholar] [CrossRef]
- Fontes, J.-C.; Garnier, J.-M. Determination of the initial 14C activity of the total dissolved carbon: A review of the existing models and a new approach. Water Resour. Res. 1979, 15, 399–413. [Google Scholar] [CrossRef]
- El-Kadi, A.I.; Plummer, L.N.; Aggarwal, P. NETPATH-WIN: An Interactive User Version of the Mass-Balance Model, NETPATH. Ground Water 2011, 49, 593–599. [Google Scholar] [CrossRef]
- Clarke, W.; Jenkins, W.; Top, Z. Determination of tritium by mass spectrometric measurement of 3He. Int. J. Appl. Radiat. Isot. 1976, 27, 515–522. [Google Scholar] [CrossRef]
- Smith, S.; Kennedy, B. The solubility of noble gases in water and in NaCl brine. Geochim. Cosmochim. Acta 1983, 47, 503–515. [Google Scholar] [CrossRef]
- Craig, H.; Lupton, J.E.; Welhan, J.A.; Poreda, R. Helium isotope ratios in Yellowstone and Lassen Park volcanic gases. Geophys. Res. Lett. 1978, 5, 897–900. [Google Scholar] [CrossRef]
- Benson, B.B.; Krause, D. Isotopic fractionation of helium during solution: A probe for the liquid state. J. Solut. Chem. 1980, 9, 895–909. [Google Scholar] [CrossRef]
- IAEA/WMO. Global Network of Isotopes in Precipitation. The Gnip Database. 2004. Available online: https://websso.iaea.org/ (accessed on 13 June 2022).
- Méjean, P.; Pinti, D.L.; Kagoshima, T.; Roulleau, E.; Demarets, L.; Poirier, A.; Takahata, N.; Sano, Y.; Larocque, M. Mantle helium in Southern Quebec groundwater: A possible fossil record of the New England hotspot. Earth Planet. Sci. Lett. 2020, 545, 116352. [Google Scholar] [CrossRef]
- Moritz, A.; Hélie, J.-F.; Pinti, D.L.; Larocque, M.; Barnetche, D.; Retailleau, S.; Lefebvre, R.; Gélinas, Y. Methane Baseline Concentrations and Sources in Shallow Aquifers from the Shale Gas-Prone Region of the St. Lawrence Lowlands (Quebec, Canada). Environ. Sci. Technol. 2015, 49, 4765–4771. [Google Scholar] [CrossRef]
- Ma, L.; Castro, M.C.; Hall, C.M.; Walter, L.M. Cross-formational flow and salinity sources inferred from a combined study of helium concentrations, isotopic ratios, and major elements in the Marshall aquifer, southern Michigan. Geochem. Geophys. Geosyst. 2005, 6, Q10004. [Google Scholar] [CrossRef]
- Buttitta, D.; Caracausi, A.; Chiaraluce, L.; Favara, R.; Gasparro, M.; Sulli, A. Continental Degassing of Helium in an Active Tectonic Setting (Northern Italy): The Role of Seismicity. Sci. Rep. 2020, 10, 162. [Google Scholar] [CrossRef]
- Méjean, P.; Pinti, D.L.; Ghaleb, B.; Larocque, M. Fracturing-induced release of radiogenic 4 He and 234 U into groundwater during the last deglaciation: An alternative source to crustal helium fluxes in periglacial aquifers. Water Resour. Res. 2017, 53, 5677–5689. [Google Scholar] [CrossRef]
- Torgersen, T.; Clarke, W. Helium accumulation in groundwater, I: An evaluation of sources and the continental flux of crustal 4He in the Great Artesian Basin, Australia. Geochim. Cosmochim. Acta 1985, 49, 1211–1218. [Google Scholar] [CrossRef]
- Torgersen, T.; Ivey, G. Helium accumulation in groundwater. II: A model for the accumulation of the crustal 4He degassing flux. Geochim. Cosmochim. Acta 1985, 49, 2445–2452. [Google Scholar] [CrossRef]
- Meynier, V.; O’Nions, R.K.; De Marsily, G.; Marty, B.; Torgersen, T. Helium isotope fluxes and groundwater ages in the Dogger Aquifer, Paris Basin. Water Resour. Res. 1993, 29, 1025–1035. [Google Scholar]
- Kulongoski, J.; Hilton, D.R.; Izbicki, J.A. Source and movement of helium in the eastern Morongo groundwater Basin: The influence of regional tectonics on crustal and mantle helium fluxes. Geochim. Cosmochim. Acta 2005, 69, 3857–3872. [Google Scholar] [CrossRef]
- Torgersen, T.; Clarke, W. Helium accumulation in groundwater, III. Limits on helium transfer across the mantle-crust boundary beneath Australia and the magnitude of mantle degassing. Earth Planet. Sci. Lett. 1987, 84, 345–355. [Google Scholar] [CrossRef]
- Torgersen, T. Defining the role of magmatism in extensional tectonics: Helium 3 fluxes in extensional basins. J. Geophys. Res. Earth Surf. 1993, 98, 16257–16269. [Google Scholar] [CrossRef]
- Torgersen, T. Continental degassing flux of 4He and its variability. Geochem. Geophys. Geosyst. 2010, 11, Q06002. [Google Scholar] [CrossRef]
- Sano, Y.; Nakajima, J. Geographical distribution of 3He/4He ratios and seismic tomography in Japan. Geochem. J. 2008, 42, 51–60. [Google Scholar] [CrossRef]
- Ngoc, T.D.T.; Lefebvre, R.; Konstantinovskaya, E.; Malo, M. Characterization of deep saline aquifers in the Bécancour area, St. Lawrence Lowlands, Québec, Canada: Implications for CO2 geological storage. Environ. Earth Sci. 2014, 72, 119–146. [Google Scholar] [CrossRef]
- Wang, M.; Wang, J.; Xu, G.; Zheng, Y.; Kang, X. Improved model for predicting the hydraulic conductivity of soils based on the Kozeny–Carman equation. Water Policy 2021, 52, 719–733. [Google Scholar] [CrossRef]
- Chapuis, R.P.; Aubertin, M. On the use of the Kozeny–Carman equation to predict the hydraulic conductivity of soils. Can. Geotech. J. 2003, 40, 616–628. [Google Scholar] [CrossRef]
- Méjean, P.; Pinti, D.L.; Larocque, M.; Ghaleb, B.; Meyzonnat, G.; Gagné, S. Processes controlling 234 U and 238 U isotope fractionation and helium in the groundwater of the St. Lawrence Lowlands, Quebec: The potential role of natural rock fracturing. Appl. Geochem. 2016, 66, 198–209. [Google Scholar] [CrossRef]
- Comtois, P. Histoire holocène du climat et de la végétation à Lanoraie (Québec). Can. J. Earth Sci. 1982, 19, 1938–1952. [Google Scholar] [CrossRef]
- Mott, R.J. Late-Pleistocene and Holocene palynology in southeastern Québec. Geogr. Phys. Quat. 2010, 31, 139–149. [Google Scholar]
- Pickler, C.; Beltrami, H.; Mareschal, J.-C. Laurentide Ice Sheet basal temperatures during the last glacial cycle as inferred from borehole data. Clim. Past 2016, 12, 115–127. [Google Scholar] [CrossRef]
- Pinti, D.L.; Marty, B. Separation of noble gas mixtures from petroleum and their isotopic analysis by mass spectrometry. J. Chromatogr. A 1998, 824, 109–117. [Google Scholar] [CrossRef]
- Brennwald, M.S.; Schmidt, M.; Oser, J.; Kipfer, R. A Portable and Autonomous Mass Spectrometric System for On-Site Environmental Gas Analysis. Environ. Sci. Technol. 2016, 50, 13455–13463. [Google Scholar] [CrossRef]
- McMurtry, G.M.; DaSilveira, L.A.; Horn, E.L.; Deluze, J.R.; Blessing, J.E. High 3He/4He ratios in lower East Rift Zone steaming vents precede a new phase of Kilauea 2018 eruption by 8 months. Sci. Rep. 2019, 9, 11860. [Google Scholar] [CrossRef]







Publisher’s Note: MDPI stays neutral with regard to jurisdictional claims in published maps and institutional affiliations. |
© 2022 by the authors. Licensee MDPI, Basel, Switzerland. This article is an open access article distributed under the terms and conditions of the Creative Commons Attribution (CC BY) license (https://creativecommons.org/licenses/by/4.0/).
Share and Cite
Pinti, D.L.; Larocque, M.; Méjean, P.; Saby, M.; Hernández-Hernández, M.A.; Gagné, S.; Roulleau, E.; Sano, Y.; Castro, M.C.; Matsumoto, T.; et al. Regional-Scale Distribution of Helium Isotopes in Aquifers: How Informative Are They as Groundwater Tracers and Chronometers? Water 2022, 14, 1940. https://doi.org/10.3390/w14121940
Pinti DL, Larocque M, Méjean P, Saby M, Hernández-Hernández MA, Gagné S, Roulleau E, Sano Y, Castro MC, Matsumoto T, et al. Regional-Scale Distribution of Helium Isotopes in Aquifers: How Informative Are They as Groundwater Tracers and Chronometers? Water. 2022; 14(12):1940. https://doi.org/10.3390/w14121940
Chicago/Turabian StylePinti, Daniele Luigi, Marie Larocque, Pauline Méjean, Marion Saby, Mario Alberto Hernández-Hernández, Sylvain Gagné, Emilie Roulleau, Yuji Sano, Maria Clara Castro, Takuya Matsumoto, and et al. 2022. "Regional-Scale Distribution of Helium Isotopes in Aquifers: How Informative Are They as Groundwater Tracers and Chronometers?" Water 14, no. 12: 1940. https://doi.org/10.3390/w14121940
APA StylePinti, D. L., Larocque, M., Méjean, P., Saby, M., Hernández-Hernández, M. A., Gagné, S., Roulleau, E., Sano, Y., Castro, M. C., Matsumoto, T., & Horoi, V. (2022). Regional-Scale Distribution of Helium Isotopes in Aquifers: How Informative Are They as Groundwater Tracers and Chronometers? Water, 14(12), 1940. https://doi.org/10.3390/w14121940

