Analyzing and Assessing Dynamic Behavior of a Physical Supply and Demand System for Sustainable Water Management under a Semi-Arid Environment
Abstract
:1. Introduction
2. Materials and Methods
2.1. Study Area Description
2.2. System Dynamics Modeling Theory
2.3. System Dynamics Model Development
2.4. Model Calibration and Statistical Performance Criteria
2.5. Sensitivity Analysis
2.6. Policy Scenario Design
3. Results and Discussion
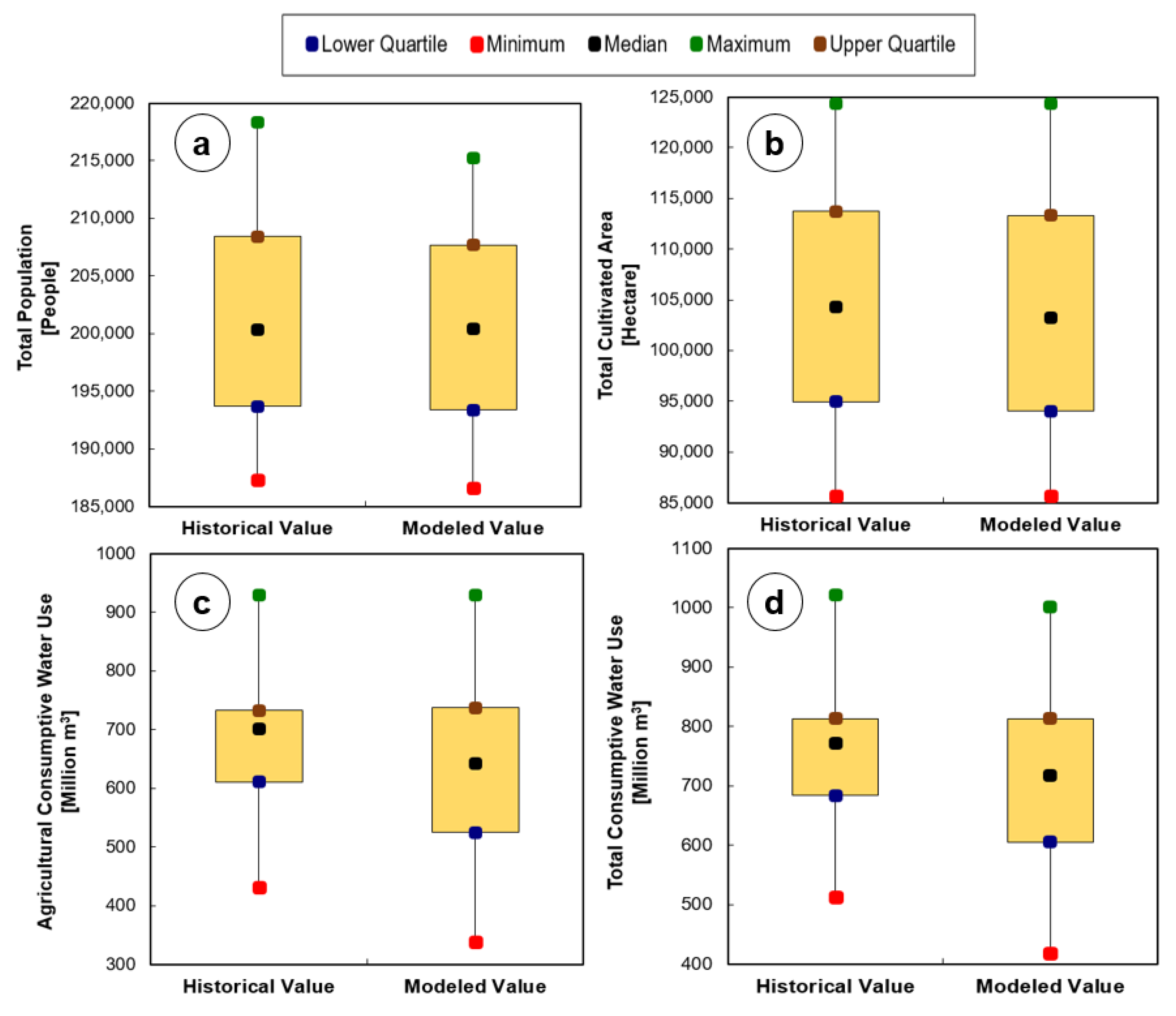
3.1. The SE-NM Model’s Performance and Calibration
3.2. Sensitivity Analysis Assessment of Scenarios’ Parameters
3.3. Scenarios Analysis and Comparison
3.4. Policy Solutions Suggestions and Recommendations
4. Challenges and Limitations, and Future Research Directions
5. Summary and Conclusions
Supplementary Materials
Author Contributions
Funding
Institutional Review Board Statement
Informed Consent Statement
Data Availability Statement
Acknowledgments
Conflicts of Interest
Appendix A
| Subsystem | Parameter Name | Parameter Type | Data Sources and References |
|---|---|---|---|
| Population | Total population | Stock | [40,45,48,49,51] |
| Population change | Flow | This study | |
| Population growth rate | Variable | [41,45,48,49,51] | |
| Water Supply | Surface water and groundwater storage | Stock | [45] |
| Surface water inflow, groundwater inflow, surface water outflow, groundwater outflow, surface water return flows, groundwater return flows, groundwater evaporation, surface recharge and infiltration, total surface water withdrawals, and total groundwater withdrawals. | Flow | [45,46,48,49,50] | |
| Precipitation, surface water evapotranspiration, land evapotranspiration, natural groundwater inflow, natural groundwater outflow, reservoir evaporation, USGS surface water inflow and outflow, surface runoff, surface water recharge, riparian evaporation, infiltration rate, commerce surface water returns, public surface water returns, irrigated surface water returns, irrigated groundwater returns, mining groundwater returns, industrial surface water returns, total OSE surface water withdrawals, total OSE groundwater withdrawals, commercial surface water withdrawal, domestic surface water withdrawal, public surface water withdrawal, power surface water withdrawal, mining surface water withdrawal, irrigated surface water withdrawal, livestock surface water withdrawal, industrial surface water withdrawal, commercial groundwater withdrawal, domestic groundwater withdrawal, public groundwater withdrawal, power groundwater withdrawal, mining groundwater withdrawal, irrigated groundwater withdrawal, livestock groundwater withdrawal, and industrial groundwater withdrawal. | Variable | [39,45,46,48,49,50] | |
| Water Demand | Available water supply storage change (total withdrawals) | Stock | [48,49,50] |
| Commercial sector water use, domestic sector water use, public sector water use, power sector water use, mining sector water use, irrigated sector water use, livestock sector water use, and industrial sector water us. | Flow | This study | |
| Commercial water demand, domestic water demand, public water demand, power water demand, mining water demand, irrigated water demand, livestock water demand, industrial water demand, total consumptive use, and agricultural consumptive use. | Variable | [40,46,48,49,50] | |
| Livestock | Total livestock population | Stock | [45,48,49] |
| Livestock change | Flow | This study | |
| Livestock growth rate | Variable | [45,48,49] | |
| Cultivated Area | Total cultivated area | Stock | [45,47] |
| Cultivated area change | Flow | This study | |
| Cultivated area growth rate | Variable | [45,47] |
Appendix B
- Area Change Rate = Area Growth Rate*Cultivated Area, Units: hectare/year
- Available Fresh Water = INTEG (Total Groundwater Withdrawals + Total Surface Water Withdrawals: Commercial Sector Water Use, Domestic Sector Water use, Industrial Sector Water Use, Irrigated Sector Water Use, Livestock Sector Water Use, Mining Sector Water Use, Power Sector Water Use, and Public Sector Water Use), Units: Million Cubic Meter
- Change in Livestock = Livestock Growth Rate*Livestock Population, Units: animal/year
- Commerce GW Returns = Total Commerce Withdrawals, Commercial Sector Water Use, Units: Million Cubic Meter/year
- Commercial Sector Water Use = Population*Commercial Water Demand, Units: Million Cubic Meter/year
- Cultivated Area = INTEG (Area Change Rate), Units: hectare
- Domestic Sector Water use = Domestic Water Demand*Population, Units: Million Cubic Meter/year
- Groundwater Return Flows = Irrigated GW Returns + Mining GW Returns, Units: Million Cubic Meter/year
- Groundwater Storage = INTEG (Groundwater Return Flows+ GW Inflow + Infiltration + Surface Recharge, GW Evaporation, GW Outflow, Total Groundwater Withdrawals), Units: Million Cubic Meter
- GW Inflow = Groundwater Storage*Natural GW Inflow, Units: Million Cubic Meter/year
- GW Outflow = Groundwater Storage*Natural GW Outflow, Units: Million Cubic Meter/year
- Industrial SW Returns = Total Industrial Withdrawals, Industrial Sector Water Use, Units: Million Cubic Meter/year
- Irrigated Sector Water Use = Cultivated Area*Irrigation Water Demand Units: Million Cubic Meter/year
- Irrigated SW Returns = Total Irrigated Withdrawals, Irrigated Sector Water Use, Units: Million Cubic Meter/year
- Livestock Population = INTEG (Change in Livestock), Units: animal
- Livestock Sector Water Use = Livestock Population*Livestock Water Demand, Units: Million Cubic Meter/year
- Mining GW Returns = Total Mining Withdrawals, Mining Sector Water Use, Units: Million Cubic Meter/year
- Population = INTEG (Population Change), Units: People
- Population Change = Population Growth Rate*Population, Units: People/year
- Public Sector Water Use = Public Water Demand*Population, Units: Million Cubic Meter/year
- Public SW Returns = Total Public Withdrawals, Public Sector Water Use, Units: Million Cubic Meter/year
- Surface Water = INTEG (Surface Water Returns Flows + Surface Water Inflow, Infiltration-Surface Water Outflows, Total Surface Water Withdrawals), Units: Million Cubic Meter
- Surface Water Outflows = SW Evapotranspiration + USGS outflow + Reservoir Evaporation + Land Evapotranspiration, Units: Million Cubic Meter/year
- Surface Water Returns Flows = Commerce GW Returns + Industrial SW Returns + Irrigated SW Returns + Public SW Returns, Units: Million Cubic Meter/year
- Total Commerce Withdrawals = SW with Commercial + GW with Commercial, Units: Million Cubic Meter/year
- Total Consumptive Use = Commercial Sector Water Use + Domestic Sector Water use + Industrial Sector Water Use + Public Sector Water Use + Power Sector Water Use + Mining Sector Water Use + Agricultural Consumptive Use, Units: Million Cubic Meter/year
- Total Domestic Withdrawals = GW with Domestic + SW with Domestic, Units: Million Cubic Meter/year
- Total Industrial Withdrawals = SW with Industrial + GW with Industrial, Units: Million Cubic Meter/year
- Total Irrigated Withdrawals = GW with Irrigated + SW with Irrigation, Units: Million Cubic Meter/year
- Total Livestock Withdrawals = SW with Livestock+ GW with Livestock, Units: Million Cubic Meter/year
- Total Mining Withdrawals = SW with Mining+ GW with Mining, Units: Million Cubic Meter/year
- Total OSE GW with = GW with Commercial + GW with Domestic + GW with Industrial + GW with Irrigated + GW with Livestock + GW with Mining + GW with Power + GW with Public, Units: Million Cubic Meter/year
- Total OSE SW with = SW with Commercial + SW with Domestic + SW with Industrial + SW with Irrigation + SW with Livestock + SW with Mining + SW with Power + SW with Public, Units: Million Cubic Meter/year
- Total Power Withdrawals = SW with Power + GW with Power, Units: Million Cubic Meter/year
- Total Public Withdrawals = GW with Public + SW with Public, Units: Million Cubic Meter/year
References
- Zisopoulou, K.; Zisopoulos, D.; Panagoulia, D. Water Economics: An In-Depth Analysis of the Connection of Blue Water with Some Primary Level Aspects of Economic Theory I. Water 2022, 14, 103. [Google Scholar] [CrossRef]
- Xi, X.; Poh, K.L. Using system dynamics for sustainable water resources management in Singapore. Proc. Comput. Sci. 2013, 16, 157–166. [Google Scholar] [CrossRef] [Green Version]
- Wei, S.; Yang, H.; Song, J.; Abbaspour, K.C.; Xu, Z. System dynamics simulation model for assessing socio-economic impacts of different levels of environmental flow allocation in the Weihe River Basin, China. Eur. J. Oper. Res. 2012, 221, 248–262. [Google Scholar] [CrossRef]
- Li, Y.-H.; Chen, P.-Y.; Lo, W.-H.; Tung, C.-P. Integrated water resources system dynamics modeling and indicators for sustainable rural community. Paddy Water Environ. 2015, 13, 29–41. [Google Scholar] [CrossRef]
- Balali, H.; Viaggi, D. Applying a system dynamics approach for modeling groundwater dynamics to depletion under different economical and climate change scenarios. Water 2015, 7, 5258–5271. [Google Scholar] [CrossRef] [Green Version]
- Subagadis, Y.H.; Grundmann, J.; Schütze, N.; Schmitz, G.H. An integrated approach to conceptualise hydrological and socio-economic interaction for supporting management decisions of coupled groundwater–agricultural systems. Environ. Earth Sci. 2014, 72, 4917–4933. [Google Scholar] [CrossRef]
- Wu, R.S.; Liu, J.S.; Chang, S.Y.; Hussain, F. Modeling of mixed crop field water demand and a smart irrigation system. Water 2017, 9, 885. [Google Scholar] [CrossRef] [Green Version]
- Langsdale, S.; Beall, A.; Carmichael, J.; Cohen, S.; Forster, C. An exploration of water resources futures under climate change using system dynamics modeling. Integr. Assess. 2007, 7, 51–79. [Google Scholar]
- Niazi, A.; Prasher, S.; Adamowski, J.; Gleeson, T. A system dynamics model to conserve arid region water resources through aquifer storage and recovery in conjunction with a dam. Water 2014, 6, 2300–2321. [Google Scholar] [CrossRef] [Green Version]
- Giordano, M. Global groundwater? Issues and solutions. Annu. Rev. Environ. Resour. 2009, 34, 153–178. [Google Scholar] [CrossRef]
- Chaudhuri, S.; Ale, S. Long term (1960–2010) trends in groundwater contamination and salinization in the Ogallala aquifer in Texas. J. Hydrol. 2014, 513, 376–390. [Google Scholar] [CrossRef]
- Ogallala Aquifer Initiative 2011 Report. Natural Resources Conservation Service. United States Department of Agriculture. 2011. Available online: https://www.nrcs.usda.gov/Internet/FSE_DOCUMENTS/stelprdb1048827.pdf (accessed on 5 January 2022).
- Dangar, S.; Asoka, A.; Mishra, V. Causes and implications of groundwater depletion in India: A review. J. Hydrol. 2021, 596, 126103. [Google Scholar] [CrossRef]
- Konikow, L.F.; Kendy, E. Groundwater depletion: A global problem. Hydrogeol. J. 2005, 13, 317–320. [Google Scholar] [CrossRef]
- Sterman, J.D. Business Dynamics: Systems Thinking and Modeling for a Complex World; Irwin/McGraw-Hill: Boston, MA, USA, 2000. [Google Scholar]
- Forrester, J.W. Industrial dynamics: A major breakthrough for decision makers. Harv. Bus. Rev. 1958, 36, 37–66. [Google Scholar]
- Forrester, J.W. System dynamics—A personal view of the first fifty years. Syst. Dynam. Rev. 2007, 23, 345–358. [Google Scholar] [CrossRef]
- Wang, X.-J.; Zhang, J.-Y.; Liu, J.-F.; Wang, G.-Q.; He, R.-M.; Elmahdi, A.; Elsawah, S. Water resources planning and management based on system dynamics: A case study of Yulin city. Environ. Dev. Sustain. 2011, 13, 331–351. [Google Scholar] [CrossRef]
- Winz, I.; Brierley, G.; Trowsdale, S. The use of system dynamics simulation in water resources management. Water Resour. Manag. 2009, 23, 1301–1323. [Google Scholar] [CrossRef]
- Chen, Z.; Wei, S. Application of system dynamics to water security research. Water Resour. Manag. 2014, 28, 287–300. [Google Scholar] [CrossRef]
- Sterman, J.D. System Dynamics Modeling for Project Management; System Dynamics Group Sloan, School of Managment, Massachusetts Institute of Technology: Cambridge, MA, USA, 1992. [Google Scholar]
- Hirsch, G.B.; Levine, R.; Miller, R.L. Using system dynamics modeling to understand the impact of social change initiatives. Am. J. Commun. Psychol. 2007, 39, 239–253. [Google Scholar] [CrossRef]
- Srijariya, W.; Riewpaiboon, A.; Chaikledkaew, U. System dynamic modeling: An alternative method for budgeting. Value Health 2008, 11, S115–S123. [Google Scholar] [CrossRef] [Green Version]
- Guo, H.C.; Liu, L.; Huang, G.H.; Fuller, G.A.; Zou, R.; Yin, Y.Y. A system dynamics approach for regional environmental planning and management: A study for the Lake Erhai Basin. Environ. Manag. 2001, 61, 93–111. [Google Scholar] [CrossRef] [PubMed] [Green Version]
- Sharifi, A.; Kalin, L.; Tajrishy, M. System dynamics approach for hydropower generation assessment in developing watersheds: Case study of karkheh river basin, Iran. J. Hydrol. Eng. 2013, 18, 1007–1017. [Google Scholar] [CrossRef]
- Venkatesan, A.K.; Ahmad, S.; Johnson, W.; Batista, J.R. Salinity reduction and energy conservation in direct and indirect potable water reuse. Desalination 2011, 72, 120–127. [Google Scholar] [CrossRef]
- Venkatesan, A.K.; Ahmad, S.; Johnson, W.; Batista, J.R. System dynamics model to forecast salinity load to the Colorado River due to urbanization within the Las Vegas Valley. Sci. Total Environ. 2011, 409, 2616–2625. [Google Scholar] [CrossRef] [PubMed]
- Tidwell, V.C.; Passell, H.D.; Conrad, S.H.; Thomas, R.P. System dynamics modeling for community-based water planning: Application to the Middle Rio Grande. Aquat. Sci. 2004, 66, 357–372. [Google Scholar] [CrossRef]
- Wang, K.; Davies, E.G.R. A water resources simulation gaming model for the Invitational Drought Tournament. J. Environ. Manag. 2015, 160, 167–183. [Google Scholar] [CrossRef]
- Bai, Y.; Langarudi, S.P.; Fernald, A.G. System Dynamics Modeling for Evaluating Regional Hydrologic and Economic Effects of Irrigation Efficiency Policy. Hydrology 2021, 8, 61. [Google Scholar] [CrossRef]
- Ahmad, S.; Simonovic, S.P. System dynamics modeling of reservoir operations for flood management. J. Comput. Civ. Eng. 2000, 14, 190–198. [Google Scholar] [CrossRef]
- Ryu, J.H.; Contor, B.; Johnson, G.; Allen, R.; Tracy, J. System dynamics to sustainable water resources management in the eastern Snake Plain Aquifer under water supply uncertainty. J. Am. Water Resour. Assoc. 2012, 48, 1204–1220. [Google Scholar] [CrossRef]
- Elmahdi, A.; Malano, H.; Etchells, T. Using system dynamics to model water-reallocation. Environmentalist 2007, 27, 3–12. [Google Scholar] [CrossRef]
- Zomorodian, M.; Lai, S.H.; Homayounfar, M.; Shaliza, I.; Pender, G. Development and application of coupled system dynamics and game theory: A dynamic water conflict resolution method. PLoS ONE 2017, 12, e0188489. [Google Scholar] [CrossRef] [PubMed] [Green Version]
- Barati, A.A.; Azadi, H.; Scheffran, J. A system dynamics model of smart groundwater governance. Agric. Water Manag. 2019, 221, 502–518. [Google Scholar] [CrossRef]
- Yang, J.; Lei, K.; Khu, S.; Meng, W. Assessment of water resources carrying capacity for sustainable development based on a system dynamics model: A case study of Tieling City, China. Water Resour. Manag. 2015, 29, 885–899. [Google Scholar] [CrossRef]
- Mashaly, A.F.; Fernald, A.G. Identifying Capabilities and Potentials of System Dynamics in Hydrology and Water Resources as a Promising Modeling Approach for Water Management. Water 2020, 12, 1432. [Google Scholar] [CrossRef]
- U.S. Census Bureau. Quick Facts. 2010. Available online: https://www.census.gov/quickfacts/fact/table/leacountynewmexico,NM/POP010210 (accessed on 11 January 2021).
- PRISM Climate Group. Oregon State University. 2018. Available online: http://prism.oregonstate.edu (accessed on 19 February 2021).
- Magnuson, M.L.; Valdez, J.M.; Lawler, C.R.; Nelson, M.; Petronis, L. New Mexico Water Use by Categories 2015; New Mexico State Engineer: Santa Fe, NM, USA, 2019. [Google Scholar]
- Richardson, G.P.; Pugh, A.L., III. Introduction to System Dynamics Modeling with DYNAMO; MIT Press: Cambridge, MA, USA, 1981. [Google Scholar]
- Ventana Systems Inc. VensimDSS; Ventana Systems Inc.: Harvard, MA, USA, 2019. [Google Scholar]
- Panagoulia, D.; Vlahogianni, E.I. Nonlinear dynamics and recurrence analysis of extreme precipitation for observed and general circulation model generated climates. Hydrol. Process. 2014, 28, 2281–2292. [Google Scholar] [CrossRef]
- Mirchi, A.; Madani, K.; Watkins, D.; Ahmad, S. Synthesis of system dynamics tools for holistic conceptualization of water resources problems. Water Resour. Manag. 2012, 26, 2421–2442. [Google Scholar] [CrossRef]
- Peterson, K.; Hanson, A.; Roach, J.; Randall, J.; Thomson, B. A Dynamic Statewide Water Budget for New Mexico: Phase III–Future Scenario Implementation; New Mexico Water Resources Research Institute, New Mexico State University: Las Cruces, NM, USA, 2019. [Google Scholar]
- USGS (United States Geological Survey). USGS Water Data for USA. 2015. Available online: http://waterdata.usgs.gov/nwis (accessed on 3 February 2021).
- USDA (United States Department of Agriculture). 2015 New Mexico Agricultural Statistics: USDA NASS NM Field Office. Available online: https://www.nass.usda.gov/Statistics_by_State/New_Mexico/Publications/index.php (accessed on 16 May 2021).
- Longworth, J.W.; Valdez, J.M.; Magnuson, M.L.; Sims, A.; Elisa, J.; Keller, J. New Mexico Water Use by Categories 2005; New Mexico State Engineer: Santa Fe, NM, USA, 2008. [Google Scholar]
- Longworth, J.W.; Valdez, J.M.; Magnuson, M.L.; Richard, K. New Mexico Water Use by Categories 2010; New Mexico State Engineer: Santa Fe, NM, USA, 2013. [Google Scholar]
- Wilson, B.; Lucero, A.A.; Romero, J.T.; Romero, P.J. Water Use by Categories in New Mexico Counties and River Basins, and Irrigated Acreage in 2000; New Mexico Office of the State Engineer: Santa Fe, NM, USA, 2003; p. 173. [Google Scholar]
- UNM BBER (University of New Mexico Bureau of Business and Economic Research). Data Page on the UNM BBER Website. Historical Demographic Tables and Maps. Available online: https://bber.unm.edu/historical-comparisons (accessed on 6 December 2020).
- Miehle, P.; Livesley, S.J.; Liw, C.; Feikemaz, P.M.; Adams, M.A.; Arndt, S.K. Quantifying uncertainty from large-scale model predictions of forest carbon dynamics. Glob. Change Biol. 2006, 12, 1421–1434. [Google Scholar] [CrossRef]
- Arbat, G.; Puig-Bargues, J.; Barragan, J.; Bonany, J.; Ramirez de Cartagena, F. Monitoring soil water status for micro-irrigation management versus modeling approach. Biosyst. Eng. 2008, 100, 286–296. [Google Scholar] [CrossRef]
- Legates, D.R.; McCabe, G.J., Jr. Evaluating the use of “goodness-of fit” measures in hydrologic and hydroclimatic model validation. Water Resour. Res. 1999, 35, 233–241. [Google Scholar] [CrossRef]
- Loague, K.; Green, R.E. Statistical and graphical methods for evaluating solute transport models: Overview and application. J. Contam. Hydrol. 1991, 7, 51–73. [Google Scholar] [CrossRef]
- De Myttenaere, A.; Golden, B.; Le Grand, B.; Rossi, F. Mean absolute percentage error for regression models. Neurocomputing 2016, 192, 38–48. [Google Scholar] [CrossRef] [Green Version]
- Willmott, C.J. On the validation of models. Phys. Geogr. 1981, 2, 184–194. [Google Scholar] [CrossRef]
- Wu, G.; Li, L.; Ahmad, S.; Chen, X.; Pan, X. A dynamic model for vulnerability assessment of regional water resources in arid areas: A case study of Bayingolin, China. Water Resour. Manag. 2013, 27, 3085–3101. [Google Scholar] [CrossRef]
- Davies, E.G.; Simonovic, S.P. Global water resources modeling with an integrated model of the social–economic–environmental system. Adv. Water Resour. 2011, 34, 684–700. [Google Scholar] [CrossRef]
- Simonovic, S.P. Managing Water Resources: Methods and Tools for a Systems Approach; UNESCO Publishing: Paris, France, 2009. [Google Scholar]
- Tillery, A.C. Current (2004-07) Conditions and Changes in Ground-water Levels from Predevelopment to 2007, Southern High Plains Aquifer, Southeast New Mexico, Lea County Underground Water Basin; U.S. Geological Survey Scientific Investigations Map 3044; U.S. Geological Survey: Reston, VA, USA, 2008; 1 sheet. [Google Scholar]
- Ketchum, D.; Newton, T.B.; Phillips, F. Statewide Water Assessment: Recharge Data Compilation and Recharge Area Identification for the State of New Mexico. Socorro, NM. 2015. Available online: https://nmwrri.nmsu.edu/wp-content/SWWA/Reports/Newton/June%202015%20FINAL/Recharge_Final_Report_2014-2015.pdf (accessed on 27 June 2021).
- Rinehart, A.J.; Mamer, E.; Kludt, T.; Felix, B.; Pokorny, C.; Timmons, S. Groundwater level and storage changes in alluvial basins in the Rio Grande Basin, New Mexico. In New Mexico Water Resources Research Institute Technical Completion Report; New Mexico Bureau of Geology and Mineral Resources: Socorro, NM, USA, 2016; 41p. [Google Scholar]
- Elhassan, A.; Carron, J.; McCord, J.; Barroll, P. Evaluation of the Pecos River Carlsbad Settlement Agreement Using the Pecos River Decision Support System. Doctoral Dissertation, Colorado State University, Fort Collins, CO, USA, 2006. [Google Scholar]
- Blaine, T.; Dixon, D.K. New Mexico Office of the State Engineer/Interstate Stream Commission Annual Reports for Fiscal Year 2011–2012, Fiscal Year 2012–2013, Fiscal Year 2013–2014, 2015. Available online: https://www.ose.state.nm.us/Plans/AnnualReports/2011_2014/11-14-annual-rpt.pdf (accessed on 2 August 2021).
- Rawling, G.C. A hydrogeologic investigation of Curry and Roosevelt Counties, New Mexico. Aquifer Mapping Program, New Mexico Bureau of Geology and Mineral Resources. 2016. Available online: https://www.currycounty.org/home/showpublisheddocument/1792/636772758839300000 (accessed on 18 March 2022).
- Geery, E. A Summary of Stakeholder Perspectives on New Mexico’s Water Resources and Data Needs 2021. New Mexico Interstate Stream Commission. Available online: https://newmexicowaterdata.org/wp-content/uploads/2021/08/StakeholderPerspectives_August2021.pdf (accessed on 20 March 2022).
- 2018 New Mexico State Water Plan. New Mexico Interstate Stream Commission. Available online: https://drought.unl.edu/archive/plans/Water/state/NM_2018.pdf (accessed on 29 March 2022).
- Taghvaeian, S.; Frazier, R.S.; Livingston, D.; Fox, G.; The Ogallala Aquifer. Oklahoma Cooperative Extension Service publication BAE-1531. March 2017. Available online: https://extension.okstate.edu/fact-sheets/the-ogallala-aquifer.html (accessed on 16 October 2021).
- Stambouli, T.; Martínez-Cob, A.; Faci, J.M.; Howell, T.; Zapata, N. Sprinkler evaporation losses in alfalfa during solid-set sprinkler irrigation in semiarid areas. Irrig. Sci. 2013, 31, 1075–1089. [Google Scholar] [CrossRef] [Green Version]
- Gleeson, T.; Cuthbert, M.; Ferguson, G.; Perrone, D. Global groundwater sustainability, resources, and systems in the Anthropocene. Annu. Rev. Earth Planet. Sci. 2020, 48, 431–463. [Google Scholar] [CrossRef] [Green Version]
- Yazar, A.; Sezen, S.M.; Sesveren, S. LEPA and trickle irrigation of cotton in the Southeast Anatolia Project (GAP) area in Turkey. Agric. Water Manag. 2002, 54, 189–203. [Google Scholar] [CrossRef]
- Ayars, J.E.; Fulton, A.; Taylor, B. Subsurface drip irrigation in California—Here to stay? Agric. Water Manag. 2015, 157, 39–47. [Google Scholar] [CrossRef]
- Şimşek, M.; Kaçıra, M.; Tonkaz, T. The effects of different drip irrigation regimes on watermelon [Citrullus lanatus (Thunb.)] yield and yield components under semi-arid climatic conditions. Aust. J. Agric. Res. 2004, 55, 1149–1157. [Google Scholar] [CrossRef]
- Evans, R.G.; Sadler, E.J. Methods and technologies to improve efficiency of water use. Water Resour. Res. 2008, 44, W00E04. [Google Scholar] [CrossRef]
- McIntosh, M.M.; Cibils, A.F.; Estell, R.E.; Nyamuryekung’e, S.; González, A.L.; Gong, Q.; Cao, H.; Spiegal, S.A.; Soto-Navarro, S.A.; Blair, A.D. Weight Gain, Grazing Behavior and Carcass Quality of Desert Grass-fed Rarámuri Criollo vs. Crossbred Steers. Livest. Sci. 2021, 249, 104511. [Google Scholar] [CrossRef]
- Estell, R. The Genesis of the Jornada Criollo Cattle Program. J. Arid Environ. 2021, 193, 10453. [Google Scholar] [CrossRef]
- New Mexico Interstate Stream Commission (NMISC). Pecos River Basin Study New Mexico, Evaluation of Future Water Supply and Demand for Irrigated Agriculture in the Pecos Basin in New Mexico. 2021. Available online: https://www.usbr.gov/watersmart/bsp/docs/finalreport/Pecos/PRNMB-final-9-20-2021.pdf (accessed on 14 November 2021).
- Allison, C.D.; Ashcroft, N. New Mexico range plants (Circular 374). College of Agricultural, Consumer and Environmental Sciences, New Mexico State University, 2011. Available online: https://aces.nmsu.edu/pubs/_circulars/CR374_SM.pdf (accessed on 26 November 2021).
- Valder, J.F.; McShane, R.R.; Thamke, J.N.; McDowell, J.S.; Ball, G.P.; Houston, N.A.; Galanter, A.E. Estimates of Water Use Associated with Continuous Oil and Gas Development in the Permian Basin, Texas and New Mexico, 2010–2019; Scientific Investigations Report 2021–5090; U.S. Department of the Interior—U.S. Geological Survey: Reston, VA, USA, 2021; 27p. [Google Scholar]
- Le Cam, L. A stochastic description of precipitation. In Proceedings of the Fourth Berkeley Symposium on Mathematical Statistics and Probability, Oakland, CA, USA, 20 June–30 July 1960; University of California Press: Berkeley, CA, USA, 1961; Volume 3, pp. 165–186. [Google Scholar]
- Park, J.; Onof, C.; Kim, D. A hybrid stochastic rainfall model that reproduces some important rainfall characteristics at hourly to yearly timescales. Hydrol. Earth Syst. Sci. 2019, 23, 989–1014. [Google Scholar] [CrossRef] [Green Version]
- Unami, K.; Abagale, F.K.; Yangyuoru, M.; Badiul Alam, A.H.M.; Kranjac-Berisavljevic, G. A stochastic differential equation model for assessing drought and flood risks. Stoch. Environ. Res. Risk Assess. 2010, 24, 725–733. [Google Scholar] [CrossRef]
- De Assis, J.P.; de Sousa, R.P.; Martins, W.R.; Linhares, P.C.F.; de Almeida Cardoso, E.; de Araujo Paula, J.A.; de Freitas Almeida dos Santos, M.; de Sousa, I.L.B.; de Araujo, M.B. Stochastic modeling of reference evapotranspiration in arid and semi-arid zones. Aust. J. Crop Sci. 2020, 14, 204–211. [Google Scholar] [CrossRef]
- Tu Pham, M.; Vernieuwe, H.; de Baets, B.; Verhoest, N.E.C. A coupled stochastic rainfall-evapotranspiration model for hydrological impact analysis. Hydrol. Earth Syst. Sci. 2018, 22, 1263–1283. [Google Scholar] [CrossRef] [Green Version]











| Name and Vensim Form | Concept | Mathematical Expression |
|---|---|---|
Level (Stock or State)![]() | It indicates the primary quantity to be accumulated. Over time, the values grow or decrease. | Level = A(t). It is a dependent variable (unknown variable); time or t is normally an independent one. |
Rate (Flow)![]() | Express actions and operations that increase or decrease stock value over time. It denotes change per unit time of stock. symbolize the sources or sinks. | Rate = dA/dt |
Arrow (Connector)![]() | Express, represent, and connect a direction between two variables, and transport information from variable to variable. | Physical principles governing the phenomena, assumptions or hypotheses we have made. |
| Variable Auxiliary Constant ![]() | It is generally a flow change, and expresses auxiliary variable used to store and supports constant variables. Over time, constants do not change. | k This is an equation parameter. |
| Parameters | Unit | INIT | MINI | MAXI | SDE |
|---|---|---|---|---|---|
| Population Growth Rate | 1/year | 9.58 × 10−3 | 1.80 × 10−3 | 1.61 × 10−2 | 5.85 × 10−3 |
| Cultivated Growth Rate | 1/year | −2.45 × 10−2 | −5.45 × 10−2 | 1.52 × 10−2 | 1.92 × 10−2 |
| Livestock Growth Rate | 1/year | −9.59 × 10−3 | −1.06 × 10−1 | 5.49 × 10−2 | 4.49 × 10−2 |
| Public Water Demand | Mm3/person/year | 1.98 × 10−4 | 1.97 × 10−4 | 2.38 × 10−4 | 1.16 × 10−5 |
| Domestic Water Demand | Mm3/person/year | 1.94 × 10−5 | 1.81 × 10−5 | 2.22 × 10−5 | 1.28 × 10−6 |
| Mining Water Demand | Mm3/person/year | 9.20 × 10−5 | 5.30 × 10−5 | 1.55 × 10−4 | 3.01 × 10−5 |
| Selected Model Parameters | Statistical Performance Criteria | ||||
|---|---|---|---|---|---|
| R2 | RMSE | CRM | MAPE | IA | |
| Total Population (People) | 0.9936 | 1173.94 | −0.0036 | 0.3722 | 0.9958 |
| Total Cultivated Area (Hectare) | 0.9713 | 2046.93 | −0.0035 | 1.0110 | 0.9924 |
| Agricultural Consumptive Water Use (Million m3) | 0.9317 | 70.5854 | −0.0764 | 9.3915 | 0.9397 |
| Total Consumptive Water Use (Million m3) | 0.9288 | 70.1657 | −0.0696 | 8.3152 | 0.9409 |
| Year | Scenarios | |||||
|---|---|---|---|---|---|---|
| 0 | 1 | 2 | 3 | 4 | 5 | |
| Total Population (People) | ||||||
| 2016 | 217,320 | 206,054 | 229,162 | 229,162 | 217,320 | 217,320 |
| 2020 | 225,769 | 211,235 | 241,250 | 241,250 | 225,769 | 225,769 |
| 2025 | 236,794 | 217,895 | 257,261 | 257,261 | 236,794 | 236,794 |
| 2030 | 248,357 | 224,765 | 274,335 | 274,335 | 248,357 | 248,357 |
| 2035 | 260,485 | 231,852 | 292,542 | 292,542 | 260,485 | 260,485 |
| 2040 | 273,206 | 239,162 | 311,958 | 311,958 | 273,206 | 273,206 |
| 2045 | 286,547 | 246,702 | 332,662 | 332,662 | 286,547 | 286,547 |
| 2050 | 300,540 | 254,481 | 354,740 | 354,740 | 300,540 | 300,540 |
| Groundwater Storage Change (Million m3) | ||||||
| 2016 | −23,097.823 | −22,495.406 | −23,744.261 | −23,638.242 | −23,201.124 | −22,994.525 |
| 2020 | −24,196.331 | −23,404.882 | −25,060.276 | −24,924.132 | −24,328.062 | −24,064.612 |
| 2025 | −25,428.424 | −24,377.641 | −26,601.946 | −26,425.967 | −25,597.257 | −25,259.796 |
| 2030 | −26,521.741 | −25,195.014 | −28,038.307 | −27,819.962 | −26,729.376 | −26,314.174 |
| 2035 | −27,493.257 | −25,881.566 | −29,379.115 | −29,115.341 | −27,741.542 | −27,244.902 |
| 2040 | −28,358.043 | −26,457.727 | −30,633.108 | −30,321.124 | −28,649.112 | −28,067.046 |
| 2045 | −29,129.717 | −26,941.206 | −31,808.965 | −31,445.364 | −29,465.645 | −28,793.813 |
| 2050 | −29,819.906 | −27,346.845 | −32,914.145 | −32,495.667 | −30,202.926 | −29,437.064 |
| Total Water Supply Storage Change [Total Withdrawals] (Million m3) | ||||||
| 2016 | 7687.724 | 8603.336 | 6711.203 | 7054.311 | 7353.034 | 8022.134 |
| 2020 | 9056.703 | 10,257.06 | 7756.123 | 8198.834 | 8627.846 | 9485.151 |
| 2025 | 10,912.046 | 12,501.413 | 9153.210 | 9728.633 | 10,359.215 | 11,463.714 |
| 2030 | 12,906.921 | 14,913.210 | 10,639.072 | 11,356.812 | 12,223.303 | 13,588.912 |
| 2035 | 15,022.164 | 17,465.323 | 12,201.225 | 13,071.421 | 14,200.578 | 15,841.103 |
| 2040 | 17,240.186 | 20,134.501 | 13,827.924 | 14,861.147 | 16,273.256 | 18,203.232 |
| 2045 | 19,545.303 | 22,901.489 | 15,507.914 | 16,715.124 | 18,425.622 | 20,659.730 |
| 2050 | 21,923.812 | 25,749.546 | 17,230.101 | 18,623.012 | 20,643.442 | 23,197.046 |
| Agricultural Consumptive Water Use (Million m3) | ||||||
| 2016 | 329.864 | 287.838 | 377.733 | 376.676 | 330.922 | 328.859 |
| 2020 | 299.734 | 252.902 | 354.956 | 353.675 | 301.015 | 298.534 |
| 2025 | 265.992 | 215.263 | 328.442 | 326.903 | 267.531 | 264.574 |
| 2030 | 236.131 | 183.361 | 303.949 | 302.174 | 237.906 | 234.524 |
| 2035 | 209.703 | 156.312 | 281.321 | 279.331 | 211.693 | 207.93 |
| 2040 | 186.307 | 133.37 | 260.415 | 258.229 | 188.494 | 184.392 |
| 2045 | 165.593 | 113.903 | 241.099 | 238.734 | 167.957 | 163.557 |
| 2050 | 147.249 | 97.3776 | 223.250 | 220.725 | 149.774 | 145.111 |
| Total Consumptive Water Use (Million m3) | ||||||
| 2016 | 411.224 | 342.641 | 488.375 | 464.022 | 434.373 | 388.130 |
| 2020 | 384.258 | 309.082 | 471.434 | 445.629 | 408.488 | 360.110 |
| 2025 | 354.643 | 273.215 | 452.651 | 424.961 | 380.252 | 329.157 |
| 2030 | 329.112 | 243.14 | 436.401 | 406.739 | 356.132 | 302.260 |
| 2035 | 307.224 | 217.976 | 422.564 | 390.836 | 335.692 | 278.974 |
| 2040 | 288.590 | 196.977 | 411.032 | 377.134 | 318.548 | 258.906 |
| 2045 | 272.871 | 179.516 | 401.712 | 365.531 | 304.363 | 241.709 |
| 2050 | 259.766 | 165.059 | 394.522 | 355.937 | 292.841 | 227.080 |
Publisher’s Note: MDPI stays neutral with regard to jurisdictional claims in published maps and institutional affiliations. |
© 2022 by the authors. Licensee MDPI, Basel, Switzerland. This article is an open access article distributed under the terms and conditions of the Creative Commons Attribution (CC BY) license (https://creativecommons.org/licenses/by/4.0/).
Share and Cite
Mashaly, A.F.; Fernald, A.G. Analyzing and Assessing Dynamic Behavior of a Physical Supply and Demand System for Sustainable Water Management under a Semi-Arid Environment. Water 2022, 14, 1939. https://doi.org/10.3390/w14121939
Mashaly AF, Fernald AG. Analyzing and Assessing Dynamic Behavior of a Physical Supply and Demand System for Sustainable Water Management under a Semi-Arid Environment. Water. 2022; 14(12):1939. https://doi.org/10.3390/w14121939
Chicago/Turabian StyleMashaly, Ahmed F., and Alexander G. Fernald. 2022. "Analyzing and Assessing Dynamic Behavior of a Physical Supply and Demand System for Sustainable Water Management under a Semi-Arid Environment" Water 14, no. 12: 1939. https://doi.org/10.3390/w14121939
APA StyleMashaly, A. F., & Fernald, A. G. (2022). Analyzing and Assessing Dynamic Behavior of a Physical Supply and Demand System for Sustainable Water Management under a Semi-Arid Environment. Water, 14(12), 1939. https://doi.org/10.3390/w14121939





