Abstract
Macronutrients (nitrogen—N; phosphorus—P; silicon—Si) play a crucial role in ocean surface waters stimulating the planktonic primary production; in fact, their concentrations are fundamental for the evaluation of the trophic status of the water body and eutrophication phenomena. Loads of nutrients into the sea are mainly represented by river runoff and depuration plant outflows. For this purpose, in the framework of the AdSWiM project, “Managed use of treated urban wastewater for the quality of the Adriatic Sea” levels of N-NO3, N-NO2, N-NH4, Si-Si(OH)4, P-PO4 (dissolved inorganic phosphorus—DIP) and total dissolved phosphorus (TDP) were determined colorimetrically at two sites in the Gulf of Trieste: Lignano Sabbiadoro and San Giorgio di Nogaro. For each site, during the bathing seasons of 2019 and 2020, a sample from the depuration plant (DP) outflow and another one in the bottom seawater near the discharging pipelines were collected. Results showed a strong dilution effect on nutrient levels passing from DPs to the sea, from one to three orders of magnitude and a low and not harmful concentration in seawater. The outflow composition of the two DPs showed that the main fraction of dissolved inorganic nitrogen (DIN) was represented by N-NO3 for Lignano, while in San Giorgio the major contribution came from N-NH4. Concerning phosphorus, Lignano showed a higher content (about 3 times) of P levels than San Giorgio, but a similar percentage composition, DIP:DOP (77:23), compared to the seawater site one DIP:DOP (2:98). Despite the difference between the DPs, no substantial differences were found in the sea sites, demonstrating the negligible effect of the DP outflows in the nutrient levels in the study area.
Keywords:
nutrients; North Adriatic Sea; sewage; depuration plant; marine waters; phosphorus; nitrogen 1. Introduction
Eutrophication is an environmental condition of degradation generated by excess nutrient levels (mainly nitrogen and phosphorous) in seawater or freshwater that can produce a series of problems such as algal blooms, anoxia—as a consequence of excessive oxygen consumption—and increased biological degradation processes, resulting in modifications of benthic communities and fish mass mortality events [1,2,3].
Eutrophication is listed as a Descriptor in the Marine Strategy Framework Directive [4] for the definition of the marine waters’ Good Environmental Status (GES) as “Human-induced eutrophication is minimized, especially adverse effects thereof, such as losses in biodiversity, ecosystem degradation, harmful algae blooms and oxygen deficiency in bottom waters” (Decision 5). Three different European Directives were adopted by the EU to deal with this problem, aiming to reduce nutrient loads in EU water bodies: (1) Nitrates Directive [5] with a focus on good agricultural practice based on the reduction in fertilizer usage; (2) Urban Wastewater Treatment Directive [6] with a focus on nutrient removal processes adopted by depuration plants; and (3) Water Framework Directive [7] which defines criteria for water bodies, including coastal and bathing waters.
The North Adriatic Sea (NAS) is a region of particular interest because of its biogeochemical characteristics such as the low water column depth, the complex hydrodynamic system [8,9], and the high anthropic pressure along the coast [10]. Due to the large input of nutrient loads [11,12], the NAS is vulnerable to eutrophication phenomena even if it is also considered the most productive basin of the Mediterranean Sea [13]. The nutrient inputs are mostly represented by rivers, with the Po River accounting for ca. 50% of freshwater outflows in the area [14]. The Gulf of Trieste is not directly affected by the Po influence due to the main circulation patterns of NAS, although important freshwater loads can derive from the Isonzo river [11,12,15]. Nutrient inputs in the NAS are not only agricultural and river-runoff based. Urban and industrial wastewater (WW) outflows can represent a strong source of nutrient pollution in the receiving waters. A significant contribution of about 35% of N and P loads is from wastewater disposal [16], which can increase in the case of improper wastewater technology treatment [17]. The role of depuration plants (DPs) in the WW nutrient removal is carried out by biological treatments—such as active sludge—and represents a key instrument for the reduction in sewage pollution effects on the sea, as enlightened by the Urban Wastewater Directive [6]. Therefore, monitoring DPs is fundamental to balance the nutrient loads on our seas and to unveil the marine ecosystem feedback at these exogenous inputs. In the Gulf of Trieste, nutrient input and uptake are extremely variable among the seasons, although during the summer (due to the general reduction in precipitation and riverine outflows, combined with the stratification of the water column) inorganic and organic nutrients tend to be very low in the open sea [18].
Considering the Redfield ratio for the inorganic nutrients (DIN:DIP) [19], the Adriatic Sea is characterized by very low concentrations of dissolved inorganic phosphorus (DIP), with a higher N:P ratio than Redfield 16 [11,20,21]. As a matter of fact, many studies consider both the Adriatic Sea and other areas of the Mediterranean strongly phosphorus limited [11,22]. During recent years, an increase in nitrates and a decrease in P-PO4 concentrations were observed, confirming the P-limitation of the basin [18]. Due to this feature, phytoplankton and bacterioplankton often utilize alternative metabolic and structural strategies to cope with low P-PO4 levels such as (as brief examples) the utilization of organic-P substrates or the synthesis of non-P-containing membrane lipids [23,24,25,26,27].
Following this evidence, in the framework of the Interreg Italy–Croatia AdSWiM project “Managed use of treated urban wastewater for the quality of the Adriatic Sea” (sampling campaigns held in 2019–2020) we evaluated the influence of two DP outflows on the nutrient levels in the seawater of the Gulf of Trieste. During the project, for the same sites, other studies evaluated the impact of the DPs’ outflows on the seawater quality concerning microbiological parameters and antibiotic-resistance genes [28] and potentially toxic elements [29].
Due to the COVID-19 pandemic and the restrictions related to the event, the year 2020 has been a peculiar one for sure: many industrial activities suffered an interruption or a diminution in their production activities (in Italy from March to June–July), resulting in lowered industrial sewage inputs into the depuration plants.
Despite the importance of this scientific topic also in relation to the key role of wastewater treatments in contributing to the protection of receptor bodies and their associated environments, few studies have been carried out in Mediterranean area. This work addresses two important issues: (1) to evaluate the contribution of the treated wastewater outflows to the seawater nutrient levels and (2) to evaluate the possible seasonal variation in these parameters during the bathing seasons of 2019 and 2020.
2. Materials and Methods
2.1. Sampling Stations
Two types of samples were collected: (1) “DP—Depuration Plants”, which consisted of treated wastewater collected at the end of the water depuration processes and (2) “Sea”, sampled at the sea bottom next to the respective wastewater discharge point. Two sites with associated DP-Sea stations were selected: Lignano (Lignano DP: 13.107832° E, 45.684943° N; Lignano Sea: 13.170800° E, 45.643050° N) and San Giorgio (San Giorgio DP: 13.232233° E, 45.761890° N; San Giorgio Sea: 13.242983° E, 45.655317° N) (Figure 1).
Figure 1.
Sampling sites in the Gulf of Trieste, North Adriatic Sea.
Samples were collected monthly during two bathing seasons (2019 and 2020) from April to October (no samples were collected during September) [29].
DP samples of treated sewage were taken before unloading, just upstream from the injection into the discharging pipeline, filtered immediately through GF/F filters and collected directly in 50 mL decontaminated PET centrifuge tubes. Seawater samples were collected in the lowest layer of the water column (depth 13.7 m) in the proximity of each DP outfall (1 m above the main diffusion point of the pipelines) by means of 5 L Ruttner bottles, and then filtered and collected as described for DP samples [28]. All tubes were stored at −20 °C until being processed in the laboratory.
2.2. Laboratory and Apparatus
All sample treatments and analyses were carried out in a clean room laboratory ISO 14644–1 Class 6, with areas at ISO Class 5 under laminar flow. The acid-cleaning procedures, used for all laboratory materials, were performed as described by [30,31] with HCl purchased from Carlo Erba, Milan, Italy. A two-stage system Midi (Elix and Milli-Q) from Millipore (Bedford, MA, USA) was used to produce ultrapure water. All reagents used for the preparation of standards and working reagents were purchased by Merck, Italy. Variable volume micropipettes and neutral tips were from Brand (Wertheim, Germany, Transferpette).
2.3. Nutrient Analyses
An EasyChem Plus (SYSTEA s.p.a., Frosinone, Italy) automated discrete analyzer set up with standard colorimetric methods was used to determine nutrient levels using colorimetry. Three replicates for each sample were analyzed, SD and RSD were calculated to enhance the accuracy of the measurements. The calibration curve method was used for quantification and for each nutrient. Instrument LOD and LOQ were evaluated according to ICH Q2B (ICH, 2005). A washing cycle with a 1:1000 HCl super pure solution was applied between each analysis in order to avoid cross-contamination phenomena.
For N-NO2 the EPA #354.1 method was used. Nitrites react with sulphanilamide in acid conditions to give a diazo compound. With N-(1-Naphthyl) ethylenediamine, it becomes a pink colored complex. Colorimetric measurements are performed at 546 nm (LOD = 0.028528 µmol L−1; 0.40 µgL−1; LOQ = 0.0864 µmol L−1; 1.21 µgL−1).
For N-NO3, Ref. National Environmental Methods Index 9171 Nitrate via V(III) reduction was used. Nitrates are reduced to nitrites by an acid solution of vanadium chloride and then determined as nitrite. This vanadium-based method directly measures the nitrate concentration, since the nitrite fraction is subtracted automatically as part of the sample blank (LOD = 0.0663 µmol L−1; 0.9286 µgL−1; LOQ = 0.201 µmol L−1; 2.814 µgL−1).
N-NH4 was determined with the EPA #350.1 method. Ammonia reacts in basic conditions with sodium salicylate and hypochlorite in the presence of nitroprusside salts to form an emerald-green chromatic substance. The pH in the colorimeter cell must approach 12.6. Colorimetric measurements were performed at 670 nm (LOD = 0.08 µmol L−1; 1.45 µg L−1; LOQ = 0.244 µmol L−1; 4.41 µg L−1).
Inorganic P (P-PO43−) was determined with the EPA #365.1 method. Phosphates were mixed with a solution of molybdate, then acid was added, to obtain α-Keggin-type heteropolyoxometalates P[Mo12O40]3− in the presence of antimony to catalyze the reaction. This anion was then reduced by ascorbic acid to form the blue-colored β-Keggin ion, colorimetrically measured at 880 nm (LOD = 0.011 µmol L−1; 0.35 µg L−1; LOQ = 0.034 µmol L−1; 1.05 µg L−1).
Organic P was evaluated by the difference between total dissolved P (TDP) and inorganic P. Total P was obtained by adding the oxidant mix of persulfate, boric acid, and sodium hydroxide and the samples were placed in an autoclave at 120 °C for 45 min as described by [32]. TDP was then immediately determined with the EPA #365.1 method as PO43−.
For Si-Si(OH)4, the APHA Standard Methods for the Examination of Water and Wastewater 4500-Si(OH)4 method was used. Silicates were mixed with an acid solution of ammonium molybdate to produce Si[Mo12O40]4−. The measurement was performed in the presence of oxalic acid to mask the interference of phosphates and the Si-anion was then reduced by ascorbic acid to form the blue-colored β-Keggin ion derivative. Colorimetric measurements were performed at 880 nm (LOD = 0.0789 µmol L−1; 2.2 µg L−1; LOQ = 0.2392 µmol L−1; 6.71 µg L−1).
All analyses were performed between 12 and 36 h after the sample thawing, SD and RSD were calculated to enhance the accuracy of the measurements. An accuracy test was performed using certified reference material “QC3179—Simple nutrients in seawater”, purchased from Merck, processed during the analysis as the quality control.
Since we only had punctual values, nutrient levels found in the depuration plants only count as indicators for the study and they have no legal value due to the different sampling method from the one described in the Dlg.s 152/2006 [33].
2.4. Statistical Analysis
Data are expressed as arithmetic mean ± standard deviation (SD) of the performed replications (n = 3). Statistical analyses were performed using the analysis of variance (one-way ANOVA), followed by the Multiple range test, after testing the homogeneity of the variance with Levene’s test. In case the data did not show a homogeneous variance, the Kolmogorov–Smirnov non-parametric test (for comparison between two groups) or the Kruskal–Wallis test (for comparison between three or more groups) was applied. Significant differences were evaluated at the 95% confidence level.
Statistical analyses were performed using Statgraphics 19 (Statgraphics Technologies Inc., The Plains, VA, USA).
3. Results
3.1. Seawater
The levels of N-NO3 ranged from a minimum of 0.28 ± 0.01 (Lignano Sea, May) to a maximum of 7.59 ± 0.03 µmol L−1 (Lignano Sea, April), with a mean of 2 ± 2 µmol L−1 in 2019 and from a minimum of 0.44 ± 0.04 µmol L−1 (San Giorgio Sea, April) to a maximum of 2.40 ± 0.09 µmol L−1 (San Giorgio Sea, August) with an average of 1.6 ± 0.6 µmol L−1 (Figure 2a) in 2020. For N-NO3, no particular trend was evident, except for a general small increment until August and a diminution in October, with no differences between the sites, except for a peak in Lignano, May 2019. With respect to the N-NO2 levels, a range from a minimum of 0.40 ± 0.02 µmol L−1 (San Giorgio Sea, July) to a maximum of 0.82 ± 0.08 µmol L−1 (San Giorgio Sea, August) with a mean of 0.5 ± 0.1 µmol L−1 during 2019 and from a minimum of 0.22 ± 0.01 µmol L−1 (San Giorgio Sea, May) to a maximum of 0.77 ± 0.03 µmol L−1 (San Giorgio Sea, June) with a mean of 0.4 ± 0.2 µmol L−1 in 2020 (Figure 2c). Differently from 2019, for which a bell-shape trend was evident for both sites, in 2020 there was no particular trend. The range for N-NH4 was from a minimum of 0.40 ± 0.03 (San Giorgio Sea, May) to a maximum of 2.5 ± 0.2 µmol L−1 (Lignano Sea, June) with a mean of 0.9 ± 0.6 µmol L−1 in 2019. In 2020, N-NH4 ranged from a minimum of 0.50 ± 0.01 µmol L−1 (San Giorgio Sea, May) to a maximum of 18.3 ± 0.7 µmol L−1 (Lignano Sea, April) consisting of a peak of one order of magnitude higher than all the other samples, treated as an outlier in the subsequent results with a mean value of 2 ± 1 µmol L−1 (Lignano Sea, April, excluded from mean and dev.st) or 3 ± 5 µmol L−1 (Lignano Sea, April, included) (Figure 2e). A bell-shape trend with a peak in June is evident for every site.

Figure 2.
Inorganic nutrient concentrations in seawater and depuration plant samples. (a) N-NO3 Sea samples; (b) N-NO3 DP samples; (c) N-NO2 Sea samples; (d) N-NO2 DP samples; (e) N-NH4 Sea Scheme 4. DP samples; (g) Si-Si(OH)4 Sea samples; (h) Si-Si(OH)4 DP samples; (i) DIP Sea samples; (j) DIP DP samples; (k) TDP Sea samples; (l) TDP DP samples.
Silicates ranged from a minimum of 1.4 ± 0.2 µmol L−1 (Lignano sea, October) from a maximum of 10.9 ± 0.1 µmol L−1 (San Giorgio Sea, April) with a mean value of 4.2 ± 3.2µmol L−1 in 2019 and from 4.07 ± 0.04 µmol L−1 (Lignano sea, April 2020) to 10.7 ± 0.2µmol L−1 (San Giorgio Sea, June 2020) with a mean of 6.4 ± 1.9 µmol L−1 in 2020 (Figure 2g). Silicate concentrations showed a bell-shape trend for both 2019 and 2020.
In 2019, most of the seawater DIP values were below LOD (0.01 µmol L−1), with a maximum of 0.03 ± 0.01 (San Giorgio Sea, July) and a mean value of 0.015 ± 0.01 µmol L−1. Even in 2020, DIP levels were below the LOD in most cases, with a maximum of 0.05 ± 0.01 µmol L−1 (San Giorgio Sea, May) and a mean value of 0.02 ± 0.01 µmol L−1 (Figure 2i). DIP levels generally increase during the middle of the season. TDP ranged from a minimum of 0.36 ± 0.02 µmol L−1 (San Giorgio Sea, October) to a maximum of 1.6 ± 0.1 µmol L−1 (San Giorgio Sea, July) with a mean value of 0.8 ± 0.4 µmol L−1 in 2019 and from a minimum of 0.43 ± 0.04 µmol L−1 (Lignano Sea, April) to a maximum of 2.3± 0.3 µmol L−1 (San Giorgio Sea, April) with a mean value of 1.4 ± 0.6 µmol L−1 in 2020 (Figure 2k). No significative differences were found between the sites. TDP concentrations tended to increase during the middle of the season followed by a decrease at the end.
3.2. Depuration Plants
In DPs, N-NO3 levels ranged from a minimum of 8.3 ± 0.7 µmol L−1 (San Giorgio DP, April) to a maximum of 445 ± 1µmol L−1 (Lignano DP, August), with a mean of 192 ± 178 µmol L−1 in 2019 and from a minimum of 0.15 ± 0.01 µmol L−1 (San Giorgio DP, July) to a maximum of 504 ± 43 µmol L−1 (Lignano DP, June) with an overall mean of 143 ± 176 µmol L−1 (Figure 2b) in 2020. Lignano DP data showed a bell-shape trend both in 2019 and 2020, while for San Giorgio, which always displayed lower values, there was no particular trend. N-NO2 levels ranged from a minimum of 0.98 ± 0.1 µmol L−1 (San Giorgio DP, October) to a maximum of 59 ± 2 µmol L−1 (Lignano DP, May) with a mean of 11.1 ± 19.1 µmol L−1 during 2019. In 2020 DPs, N-NO2 levels ranged from a minimum of 0.400 ± 0.004 µmol L−1 (San Giorgio, October) to a maximum of 86.0 ± 2.5 µmol L−1 (Lignano DP, June) with a mean of 11 ± 24 µmol L−1 (Figure 2d). Nitrite levels in 2020 were significantly higher than 2019, although no trend was evident for both years. N-NH4 ranged from a minimum of 0.4 ± 0.2 µmol L−1 (Lignano DP, August) to a maximum of 83 ± 3 µmol L−1 (San Giorgio, June), with a bell-shape trend and a mean of 17 ± 23 µmol L−1 during 2019 and from a minimum of 1.4 ± 0.04 µmol L−1 (Lignano DP, October) to a maximum of 295 ± 1 µmol L−1 (San Giorgio DP, April), with a mean value of 115 ± 97 µmol L−1 in 2020. Despite the peak in April, N-NH4 in Lignano DP followed a bell-shape trend as seen in 2019; San Giorgio showed more variable data, with a minimum in July. San Giorgio DP showed for both 2019 and 2020 a higher value than Lignano DP (Figure 2f). The concentration of Si-Si(OH)4 ranged from a minimum of 87 ± 1 µmol L−1 (San Giorgio DP, October) from a maximum of 159 ± 2 µmol L−1 (San Giorgio DP, June) with a mean value of 125 ± 44 µmol L−1 in 2019 and from a minimum of 26 ± 1 µmol L−1 (San Giorgio DP, August) to a maximum of 254 ± 5 µmol L−1 (San Giorgio DP, July) with a mean of 101 ± 72 µmol L−1 in 2020 (Figure 2h). While in 2019 no trend was evident, during 2020 silicate concentrations followed a bell-shape trend.
In DP samples, DIP ranged from a minimum of 4.2 ± 0.45 µmol L−1 (San Giorgio DP, May) to a maximum of 57 ± 3 µmol L−1 (Lignano DP, October) with a mean value of 21 ± 19 µmol L−1 in 2019 and from a minimum of 1.4 ± 0.1 µmol L−1 (San Giorgio DP, October) to a maximum of 73.1 ± 0.3 µmol L−1 (San Giorgio DP, July) with a mean value of 19 ± 23 µmol L−1 in 2020 (Figure 2j). The average contribution for DIP to TDP in DP samples was 72% during 2019, while in 2020 it was 81.5% of the total (Figure 4). No particular trend was evident. For TDP, the concentration varied from 6.4 ± 0.4 µmol L−1 (San Giorgio DP, April) to a maximum of 77 ± 3 µmol L−1 (Lignano DP, October) with a mean value of 9 ± 8 µmol L−1 in 2019 and from a minimum of 4.0 ± 0.2 µmol L−1 (San Giorgio DP, October) to a maximum of 79 ± 1 µmol L−1 (San Giorgio DP, July) with a mean value of 23 ± 23 µmol L−1 in 2020 (Figure 2l). No particular trend was evident for Depuration Plants TDP concentrations.
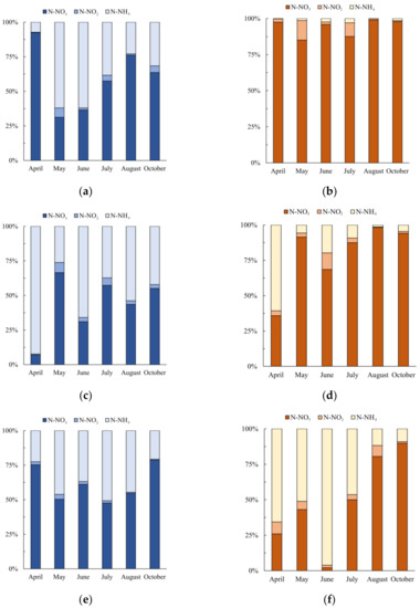
Finally, the percentage partitioning of N-NO3, N-NO2, and N-NH4 to the DIN (Figure 3) was pronouncedly different between Sea and DP samples. In seawater, the average partitioning (in order: N-NO3, N-NO2, N-NH4) was highly comparable between the sites for the same year (2019: Lignano 70%, 2%, 28%, San Giorgio 66%, 1%, 33%; 2020: Lignano 47%, 4%, 50%, San Giorgio 46%, 3%, 51%) but different between the years (2019 average: 68%, 2%, 30%; 2020 average: 46%, 4%, 50%) (Figure S1a,b). A marked difference between the two DPs was evident (Figure S1c–f). The nitrite fraction was comparable between years and sites, ranging from 1% to 5%. Lignano DP’s outflows resulted mainly composed of nitrates (94% in 2019 and 79% in 2020), while ammonia represented a lower fraction (1% in 2019 and 17% in 2020). In San Giorgio DP, ammoniacal nitrogen was higher (43% in 2019 and 88% in 2020) and nitrates represented 52% in 2019 and 11% in 2020 of the DIN.

Figure 3.
Dissolved inorganic nitrogen distribution. (a) Lignano Sea 2019; (b) Lignano DP 2019; (c) Lignano Sea 2020; (d) Lignano DP 2020; (e) San Giorgio Sea 2019; (f) San Giorgio DP 2019; (g) San Giorgio DP 2019; (h) San Giorgio DP 2020.
The contribution to TDP incoming from DIP or DOP is strongly comparable between DP and seawater. Between 2019 and 2020, DIP % increased in both DP sites: Lignano DP from 75% to 81.4% and San Giorgio DP from 68.4% to 81.5%. The same increment was not found in seawater, which remained almost constant between the sites and the years (average 2% DIP) (Figure 4).
Figure 4.
Phosphorus distribution.
In 2019, the DIN:DIP ratio ranged from a minimum of 62 (San Giorgio Sea, July) to a maximum of 728 (Lignano Sea, April), with a mean of 235 ± 191. In 2020, DIN:DIP ranged from a minimum of 104 (San Giorgio Sea, April) to a maximum of 1771 (Lignano Sea, April), with a mean of 353 ± 458. During 2019, there were no significant differences between the sites (p > 0.05), average values Lignano 256 ± 238 and San Giorgio 214 ± 151. During 2020, we observed a statistically significant difference (p < 0.05) between the sites for average values of Lignano (517 ± 626) and San Giorgio (188 ± 69) sea, principally ascribed to the high value of the Lignano April sample (mean without Lignano sea, April: 267 ± 133).
4. Discussion
In the present study, sampling stations were characterized by low depth (almost 15 m) and shared similar physical and geomorphological features. Lignano is a tourist spot and its population increases considerably in the summer season. Lignano DP is designed for the treatment of 70,000 inhabitants equivalent (i.h.) and treats mostly domestic sewage from the Lignano municipality, while San Giorgio DP is designed for the treatment of 800,000 i.h. but during the sampling activity actually treated 120,000 i.h., and differently from Lignano, the wastewater inputs are mostly industrial, coming from six different municipalities. In both DPs, in order to avoid a massive load of sewage discharge in a single spot, the outflow of the treated water takes place through a system of diffusers in a long section of the pipeline, at a depth of about 14–15 m.
The concentrations of nutrients determined in DPs waters and in the corresponding outflow sites at sea were highly different: a strong dilution factor between DP and Sea concentrations was determined for each parameter, from one to three orders of magnitude (Table 1).
Table 1.
Dilution factor calculated as the relationship between the average concentrations of DP and Sea sites, for parameters.
The dilution factor applied from the water body lowers the nutrient concentrations to ranges that do not result harmful to the environment and are comparable with the literature reported in Table 2. DIP levels in the seawater resulted very low, and in 66.6% of the cases below the detection limit (LOD = 0.011 µmol L−1). In fact, DIP is recognized as the limiting element for phytoplankton growth and, thus, for the trophic status in the study area as evidenced by experimental studies [34,35]. The similarity between the data determined at sea in this study and those reported in the literature for other offshore sites (Table 2) suggests that the nutrient levels might be majorly affected by the riverine inputs rather than by the sewage discharge in this area.
The DIP:DOP ratio within the treated wastewater is highly dependent on the type of effluent treated and the treatments applied. Only few studies characterized P fractions in different types of untreated wastewater. The values showed phosphate concentrations of 0.12–350 mg L−1, accounting for 34–100% of TDP [36,37,38,39]. Other studies showed that domestic wastewater has a lower concentration of P compared to industrial, with concentrations typically varying from 5 to 30 mg L−1 depending on urban or rural wastewater [40,41,42,43,44]. About 78% of P is removed during the primary treatment; however, the treated effluent generally has a composition comprising a phosphate content of about 80–100% of the total P [45].
As for the values found in the sampling sites at sea, our results are confirmed by the study conducted by [46], where in the waters of the Gulf of Trieste the DOP always represents the dominant fraction (about 71% of TDP).
TDP levels were generally higher than the reported literature, probably ascribed to the discharging pipeline’s proximity. DOP represented 98% of the TDP at the Sea stations, with no differences between sites or years.
Over the two years, ammoniacal nitrogen (Figure 2e,f) increased its concentrations by about 3 times in Sea and 7 times in DP sites. This increment could be related to the difference in the sewage’s composition while entering the DPs. Concerning DIN, domestic sewages, differently from the industrial ones, are mainly formed by N-NH4. The restriction induced by the COVID-19 pandemic event forced a suspension of the industrial activities from February to June–July 2020, which could result in a change in sewage composition, with less industrial and more domestic inputs for Depuration Plants. This increment in ammoniacal nitrogen also modified the DIN distribution, both in DPs and in Sea sites (Figure S1a–c). Almost all the values found in the DPs resulted well below the Legal Limit [33], with two exceptions for nitrous nitrogen (Figure 2d). DP outflow nutrient concentrations are different both between the years and the sites. Concerning inorganic nitrogen, Lignano DP is mainly constituted by nitric nitrogen, while San Giorgio by ammoniacal nitrogen. Lignano DP generally has higher levels of nutrients, especially for nitrates, nitrites, and phosphorus. The main difference between the DP sites could concern the composition of the receiving sewage.
To ensure a more accurate comparison relative to our seawater sampling points at the depths we investigated (about 13.7 m), values of DIN, P-PO4, and Si-Si(OH)4 were extracted from the EMODnet chemistry portal [47]. The results of the investigation are reported in Table 2. The data consists of 19 years of monitoring divided into 4 clusters of 5 years each (2001–2006; 2006–2011; 2011–2016; 2014–2019) based on the stations nearest to our study area, at a depth of 10 m from the upper part of the water column. Results on concentrations are expressed in µmol L−1.
Table 2.
Northern Adriatic Sea nutrient concentrations collected from several studies, expressed as µmol L−1. nd: not determined.
Table 2.
Northern Adriatic Sea nutrient concentrations collected from several studies, expressed as µmol L−1. nd: not determined.
| Sampling Site (Year) | TDP | DOP | DIP | DIN | N-NO2 | N-NO3 | N-NH4 | Si-Si(OH)4 | Reference |
|---|---|---|---|---|---|---|---|---|---|
| This study | |||||||||
| Lignano DP 2019 ** | 80.2 ± 73.1 | 12 ± 7.6 | 281.4 | 378.6 ± 82.7 | 20.1 ± 24.7 | 352.7 ± 78.8 | 5.7 ± 5.2 | 139.6 ± 13.4 | This study |
| Lignano DP 2020 ** | 27.0 ± 14.6 | 5 ± 3.3 | 22.0 ± 16.9 | 328.2 ± 196.7 | 20.0 ± 32.8 | 247.3 ± 180.2 | 60.9 ± 71.7 | 92.5 ± 53.2 | This study |
| San Giorgio DP 2019 ** | 10.0 ± 3.2 | 3.2 ± 1.5 | 6.8 ± 3.1 | 56.2 ± 40.7 | 26.3 ± 27.5 | 2.1 ± 2.0 | 27.8 ± 29.4 | 145.9 ± 40.0 | This study |
| San Giorgio DP 2020 ** | 18.6 ± 29.5 | 3.4 ± 1.4 | 15.2 ± 28.4 | 207.4 ± 126.7 | 1.8 ± 1.9 | 36.8 ± 86.6 | 168.8 ± 92.4 | 109.2 ± 90.9 | This study |
| Lignano Sea 2019 | 0.81 ± 0.32 | 0.79 ± 0.31 | 0.014 ± 0.005 | 3 ± 2.8 | 0.06 ± 0.02 | 2.27 ± 2.68 | 0.92 ± 0.76 | 4.2 ± 3.4 | This study |
| Lignano Sea 2020 | 1.30 ± 0.57 | 1.28 ± 0.6 | 0.014 ± 0.006 | 3.5 ± 1.1 * | 0.13 ± 0.03 | 1.62 ± 0.29 | 1.72 ± 1.07 * | 5.8 ± 1.5 | This study |
| San Giorgio Sea 2019 | 0.84 ± 0.48 | 0.82 ± 0.31 | 0.016 ± 0.008 | 2.5 ± 1.4 | 0.04 ± 0.01 | 1.85 ± 1.32 | 0.93 ± 0.40 | 4.3 ± 3.3 | This study |
| San Giorgio Sea 2020 | 1.57 ± 0.56 | 1.44 ± 0.6 | 0.022 ± 0.013 | 3.9 ± 1.9 | 0.13 ± 0.07 | 1.79 ± 0.96 | 1.75 ± 1.68 | 7.0 ± 2.3 | This study |
| Bibliography | |||||||||
| Northern Adriatic, bottom sewage discharge (June 1994) | nd | nd | 0.24 ± 0.03 | nd | 0.12 ± 0.03 | 0.84 ± 0.35 | 1.56 ± 0.86 | 2.52 ± 1.45 | [48] |
| Northern Adriatic (1991) | nd | nd | 0.1 ± 0.19 | nd | 0.19 ± 0.21 | 1.56 ± 1.91 | 2.07 ± 1.35 | nd | [49] |
| Northern Adriatic (1993–1994) | nd | nd | 0.12–0.21 | nd | nd | 1.03–3.33 | 0.46–1.02 | 0.72–4.23 | [50] |
| Northern Adriatic surface | nd | nd | 0.05–0.12 | nd | nd | 0.58–3.18 | nd | 0.51–5.63 | [8] |
| Northern Adriatic bottom | nd | nd | 0.02–0.07 | nd | nd | 0.40–1.25 | nd | 1.34–2.52 | [8] |
| Gulf of Trieste (1992–1993) | nd | nd | <0.1–~1 | nd | nd | <5–~25 | ~1–~5 | <5~25 | [51] |
| Gulf of Trieste (1999–2006) | nd | 0.68 ± 0.57 | 0.08 ± 0.07 | 2.65 ± 2.26 | nd | nd | nd | nd | [46] |
| Gulf of Trieste (2006–2007) | nd | nd | 0.01–0.12 | nd | 0–0.93 | 0–8.75 | <0.53–3.41 | 0–6.80 | [52] |
| Medium Adriatic (2014–2016; June–September) | nd | nd | 0.081 ± 0.051 | 1.75 ± 0.86 | 0.071 ± 0.064 | 0.506 ± 0.682 | 1.169 ± 0.591 | nd | [53] |
| Adriatic Sea (1999–2002) | 0.03–1.88 | 0.01–1.81 | nd | nd | nd | nd | nd | nd | [54] |
| Coast of Ancona (July–September 2015) | 0.0.09–0.59 | 0.06–0.57 | 0.02–0.07 | 1.76–12.6 | 0.12–0.36 | 1.05–5.23 | 0.48–7.02 | nd | [25] |
| Gulf of Trieste, bottom (2001–2006) | nd | nd | 0.023–0.058 | 0.74–1.37 | nd | nd | nd | 1.39–1.99 | [47] |
| Gulf of Trieste, bottom (2006–2011) | nd | nd | 0.023–0.042 | ~1 | nd | nd | nd | 1.21–1.71 | [47] |
| Gulf of Trieste, bottom (2011–2016) | nd | nd | 0.023–0.026 | 1.53 | nd | nd | nd | 0.61–1.21 | [47] |
| Gulf of Trieste, bottom (2014–2019) | nd | nd | 0.019–0.026 | 1.1–1.9 | nd | nd | nd | 0.66–0.77 | [47] |
* Outlier value for N-NH4, Lignano sea, April 2020, was not taken in account for the average value calculation. ** Nutrient levels in the DPs refer to punctual values, sampled with a different method than the one described in D.Lgs 152/06 [33] and they have no legal value.
For the seawater nutrient levels, the comparison between our data and the literature showed comparable values for almost all the parameters (Table 2).
Concerning phosphorus, TDP and DOP are higher if compared to the studies carried out in the Gulf of Trieste and along the coast of Ancona [25,46,54], while the inorganic fraction is in line with the values recorded in the Adriatic basin.
Regarding nitrogen, DIN values measured in our study are similar to those recorded in [46], while they are higher than the bottom concentrations of the same site [47] and near the coast of Ancona [25]. The N-NO2 values recorded in 2019 were generally lower than the other studies considered, while the 2020 values were comparable with similar studies carried out in the same sites during the first half of the 90s [48,49]. N-NO3 and N-NH4 fractions are consistent with the literature.
Finally, silicates are the only compounds with slightly higher concentrations than most of the published works, except for the sampling campaign carried out in 1992–1993 [51].
5. Conclusions
The present study is focused on the influence of treated wastewater plants on the open sea nutrient contents. The results of this study showed that (1) the depuration plants taken into consideration have a negligible impact on the marine ecosystem as the nutrients present in the treated wastewater undergo a strong dilution once they reach the marine basin. Phosphorus levels, both inorganic and total, are different in the DPs and are generally about 2.6 times higher in Lignano than in San Giorgio. Despite these differences in P levels, the distribution of the inorganic and organic fractions compared to total dissolved P is similar in the two DPs: the main fraction is always represented by DIP (average 77.2%), whereas DOP is about 22.8%. In the seawater, almost all of P is provided by DOP (average 98%). Seawater DIP levels were below LOD in most of the cases. There is a strong difference between Lignano and San Giorgio DP’s outflow composition, probably due to the different typology of sewage inputs: concerning DIN, the minor fraction is represented in every case from N-NO2 (from 1 to 5%) and Lignano DP is mainly constituted by N-NO3 (94%—2019; 81%—2020), while San Giorgio DP from N-NH4 (43%—2019; 88%—2020). On the other side, no significant differences were found in the sea site, underlining that the dilution factor is the driving force. Moreover, (2) no differences were identified between 2019 and 2020 except for ammoniacal and nitrous nitrogen. This study provided important information on the distribution of nutrients in seawater related to the activity of depuration plants. However, further studies are necessary to better understand the impact of discharges on marine basins in order to improve the knowledge on possible chemical, biological, and ecological implications.
Supplementary Materials
The following supporting information can be downloaded at: https://www.mdpi.com/article/10.3390/w14121930/s1, Figure S1: Dissolved Inorganic Nitrogen distribution: Sea average 2019 (a); Sea average 2020 (b); Lignano DP 2019; (c) Lignano DP 2020; (d) San Giorgio DP 2019; (e) San Giorgio DP 2020 (f).
Author Contributions
Conceptualization, A.A.; methodology, A.A.; formal analysis, M.F., F.G. and B.A.; investigation, A.A. and M.F.; resources, M.C., J.Š. and S.S.; data curation, C.T. and S.I.; writing—original draft preparation, M.F.; writing—review and editing, A.A, F.G. and M.C.; visualization, M.F.; supervision, A.A.; project administration, A.A. and S.S.; funding acquisition, A.A. and S.S. All authors have read and agreed to the published version of the manuscript.
Funding
This research was funded by the 2014–2020 Interreg V-A Italy–Croatia CBC Programme through the project AdSWiM (Managed use of treated urban wastewater for the quality of the Adriatic Sea), ID 10046144.
Institutional Review Board Statement
Not applicable.
Informed Consent Statement
Not applicable.
Data Availability Statement
All data taken into account for the study are published and available at https://nodc.ogs.it/catalogs/doidetails;jsessionid=C2C6BB7EFE1B44416357C25C8CBCE378?0&doi=10.13120/j23k-n088 (accessed on 1 June 2022), https://doi.org/10.13120/J23K-N088. The dataset contains also Croatian parameters concerning depuration plants and seawater for the sites of Split and Zadar.
Acknowledgments
The authors would like to thank the personnel of the CAFC and of BIO-RES—BIOLOGICAL RESEARCHES SOC. COOP for sampling activities. The help of R. Andricevic, N. De Bortoli, C. Franci, and M. Mion throughout the implementation of the project is kindly acknowledged.
Conflicts of Interest
The authors declare no conflict of interest. The funders had no role in the design of the study; in the collection, analyses, or interpretation of data; in the writing of the manuscript; or in the decision to publish the results.
References
- Meyer-Reil, L.-A.; Köster, M. Eutrophication of Marine Waters: Effects on Benthic Microbial Communities. Mar. Pollut. Bull. 2000, 41, 255–263. [Google Scholar] [CrossRef]
- Starling, F.; Lazzaro, X.; Cavalcanti, C.; Moreira, R. Contribution of Omnivorous Tilapia to Eutrophication of a Shallow Tropical Reservoir: Evidence from a Fish Kill. Freshw. Biol. 2002, 47, 2443–2452. [Google Scholar] [CrossRef] [Green Version]
- Kononen, K. Eutrophication, Harmful Algal Blooms and Species Diversity in Phytoplankton Communities: Examples from the Baltic Sea. AMBIO A J. Hum. Environ. 2001, 30, 184–189. [Google Scholar] [CrossRef]
- Directive 2008/56/EC of the European Parliament and of the Council of 17 June 2008 Establishing a Framework for Community Action in the Field of Marine Environmental Policy (Marine Strategy Framework Directive); Commission of the European Communities: Brussels, Belgium, 2008.
- Council Directive 91/676/EEC of 12 December 1991 concerning the protection of waters against pollution caused by nitrates from agricultural sources. Off. J. Eur. Commun. 1991, L375, 1–8.
- Council Directive 91/271/EEC of 21 May 1991 concerning urban waste-water treatment. Off. J. Eur. Commun. 1991, L135, 40–52.
- European Parliament and the Council Directive 2000/60/EC of the European Parliament and of the Council of 23 October 2000 Establishing a Framework for Community Action in the Field of Water Policy. Off. J. Eur. Commun. 2000, L327, 1–72.
- Zavatarelli, M.; Raicich, F.; Bregant, D.; Russo, A.; Artegiani, A. Climatological Biogeochemical Characteristics of the Adriatic Sea. J. Mar. Syst. 1998, 18, 227–263. [Google Scholar] [CrossRef]
- Artegiani, A.; Bregant, D.; Paschini, E.; Pinardi, N.; Raicich, F.; Russo, A. The Adriatic Sea General Circulation. Part II: Baroclinic Circulation Structure. J. Phys. Oceanogr. 1997, 27, 1515–1532. [Google Scholar] [CrossRef]
- Furlan, E.; Torresan, S.; Critto, A.; Lovato, T.; Solidoro, C.; Lazzari, P.; Marcomini, A. Cumulative Impact Index for the Adriatic Sea: Accounting for Interactions among Climate and Anthropogenic Pressures. Sci. Total Environ. 2019, 670, 379–397. [Google Scholar] [CrossRef] [PubMed]
- Degobbis, D.; Precali, R.; Ivancic, I.; Smodlaka, N.; Fuks, D.; Kveder, S. Long-Term Changes in the Northern Atlantic Ecosystem Related to Anthropogenic Eutrophication. Int. J. Environ. Pollut. 2000, 13, 495–533. [Google Scholar] [CrossRef]
- Cozzi, S.; Giani, M. River Water and Nutrient Discharges in the Northern Adriatic Sea: Current Importance and Long Term Changes. Cont. Shelf Res. 2011, 31, 1881–1893. [Google Scholar] [CrossRef]
- Umani, S.F. Pelagic Production and Biomass in the Adriatic Sea. Sci. Mar. 1996, 60, 65–77. [Google Scholar]
- Penna, N.; Capellacci, S.; Ricci, F. The Influence of the Po River Discharge on Phytoplankton Bloom Dynamics along the Coastline of Pesaro (Italy) in the Adriatic Sea. Mar. Pollut. Bull. 2004, 48, 321–326. [Google Scholar] [CrossRef] [PubMed]
- Cantoni, C.; Cozzi, S.; Pecchiar, I.; Cabrini, M.; Mozetič, P.; Catalano, G.; Umani, S.F. Short-Term Variability of Primary Production and Inorganic Nitrogen Uptake Related to the Environmental Conditions in a Shallow Coastal Area (Gulf of Trieste, N Adriatic Sea). Oceanol. Acta 2003, 26, 565–575. [Google Scholar] [CrossRef] [Green Version]
- Palmeri, L.; Bendoricchio, G.; Artioli, Y. Modelling Nutrient Emissions from River Systems and Loads to the Coastal Zone: Po River Case Study, Italy. Ecol. Model. 2005, 184, 37–53. [Google Scholar] [CrossRef]
- Volf, G.; Atanasova, N.; Kompare, B.; Ožanić, N. Modeling Nutrient Loads to the Northern Adriatic. J. Hydrol. 2013, 504, 182–193. [Google Scholar] [CrossRef]
- Grilli, F.; Accoroni, S.; Acri, F.; Bernardi Aubry, F.; Bergami, C.; Cabrini, M.; Campanelli, A.; Giani, M.; Guicciardi, S.; Marini, M.; et al. Seasonal and Interannual Trends of Oceanographic Parameters over 40 Years in the Northern Adriatic Sea in Relation to Nutrient Loadings Using the EMODnet Chemistry Data Portal. Water 2020, 12, 2280. [Google Scholar] [CrossRef]
- Redfield, A.C. The Biological Control of Chemical Factors in the Environment. Am. Sci. 1958, 46, 205–221. [Google Scholar]
- Chiaudani, G.; Vighi, M. Multistep Approach to Identification of Limiting Nutrients in Northern Adriatic Eutrophied Coastal Waters. Water Res. 1982, 16, 1161–1166. [Google Scholar] [CrossRef]
- Vollenweider, R.A.; Giovanardi, F.; Montanari, G.; Rinaldi, A. Characterization of the trophic conditions of marine coastal waters with special reference to the NW Adriatic Sea: Proposal for a trophic scale, turbidity and generalized water quality index. Environmetrics 1998, 9, 329–357. [Google Scholar] [CrossRef]
- Aubry, F.B.; Berton, A.; Bastianini, M.; Socal, G.; Acri, F. Phytoplankton Succession in a Coastal Area of the NW Adriatic, over a 10-Year Sampling Period (1990–1999). Cont. Shelf Res. 2004, 24, 97–115. [Google Scholar] [CrossRef]
- Ivančić, I.; Godrijan, J.; Pfannkuchen, M.; Marić, D.; Gašparović, B.; Djakovac, T.; Najdek, M. Survival Mechanisms of Phytoplankton in Conditions of Stratification-Induced Deprivation of Orthophosphate: Northern Adriatic Case Study. Limnol. Oceanogr. 2012, 57, 1721–1731. [Google Scholar] [CrossRef] [Green Version]
- Celussi, M.; del Negro, P. Microbial Degradation at a Shallow Coastal Site: Long-Term Spectra and Rates of Exoenzymatic Activities in the NE Adriatic Sea. Estuar. Coast. Shelf Sci. 2012, 115, 75–86. [Google Scholar] [CrossRef]
- Accoroni, S.; Totti, C.; Razza, E.; Congestri, R.; Campanelli, A.; Marini, M.; Ellwood, N.T.W. Phosphatase Activities of a Microepiphytic Community during a Bloom of Ostreopsis Cf. Ovata in the Northern Adriatic Sea. Water Res. 2017, 120, 272–279. [Google Scholar] [CrossRef] [PubMed]
- Whitton, B.A.; Al-Shehri, A.M.; Ellwood, N.T.W.; Turner, B.L. Ecological Aspects of Phosphatase Activity in Cyanobacteria, Eukaryotic Algae and Bryophytes. In Organic Phosphorus in the Environment; CABI Publishing: Wallingford, UK, 2004; pp. 205–242. ISBN 0851998224. [Google Scholar]
- Ellwood, N.; Pasella, M.; Totti, C.; Accoroni, S. Growth and Phosphatase Activities of Ostreopsis Cf. Ovata Biofilms Supplied with Diverse Dissolved Organic Phosphorus (DOP) Compounds. Aquat. Microb. Ecol. 2020, 85, 155–166. [Google Scholar] [CrossRef]
- Fonti, V.; di Cesare, A.; Šangulin, J.; del Negro, P.; Celussi, M. Antibiotic Resistance Genes and Potentially Pathogenic Bacteria in the Central Adriatic Sea: Are They Connected to Urban Wastewater Inputs? Water 2021, 13, 3335. [Google Scholar] [CrossRef]
- Girolametti, F.; Fanelli, M.; Ajdini, B.; Truzzi, C.; Illuminati, S.; Susmel, S.; Celussi, M.; Šangulin, J.; Annibaldi, A. Dissolved Potentially Toxic Elements (PTEs) in Relation to Depuration Plant Outflows in Adriatic Coastal Waters: A Two Year Monitoring Survey. Water 2022, 14, 569. [Google Scholar] [CrossRef]
- Illuminati, S.; Annibaldi, A.; Truzzi, C.; Scarponi, G. Heavy Metal Distribution in Organic and Siliceous Marine Sponge Tissues Measured by Square Wave Anodic Stripping Voltammetry. Mar. Pollut. Bull. 2016, 111, 476–482. [Google Scholar] [CrossRef]
- Illuminati, S.; Annibaldi, A.; Truzzi, C.; lou Tercier-Waeber, M.; Nöel, S.; Braungardt, C.B.; Achterberg, E.P.; Howell, K.A.; Turner, D.; Marini, M.; et al. In-Situ Trace Metal (Cd, Pb, Cu) Speciation along the Po River Plume (Northern Adriatic Sea) Using Submersible Systems. Mar. Chem. 2019, 212, 47–63. [Google Scholar] [CrossRef]
- Langner, C.L.; Hendrix, P.F. Evaluation of a Persulfate Digestion Method for Particulate Nitrogen and Phosphorus. Water Res. 1982, 16, 1451–1454. [Google Scholar] [CrossRef]
- Presidente della Repubblica All.5, P. Presidente della Repubblica All.5, P. Terza, Italian Legislative Decree 3 Aprile 2006, n. 152 Norme in Materia Ambientale. (GU Serie Generale n.88 Del 14-04-2006-Suppl. Ordinario n. 96). 2006. Available online: https://www.gazzettaufficiale.it/dettaglio/codici/materiaAmbientale (accessed on 10 June 2022).
- Malfatti, F.; Turk, V.; Tinta, T.; Mozetič, P.; Manganelli, M.; Samo, T.J.; Ugalde, J.A.; Kovač, N.; Stefanelli, M.; Antonioli, M.; et al. Microbial Mechanisms Coupling Carbon and Phosphorus Cycles in Phosphorus-Limited Northern Adriatic Sea. Sci. Total Environ. 2014, 470–471, 1173–1183. [Google Scholar] [CrossRef] [PubMed]
- Larato, C.; Celussi, M.; Virgilio, D.; Karuza, A.; Falconi, C.; de Vittor, C.; del Negro, P.; Umani, S.F. Production and Utilization of Organic Matter in Different P-Availability Conditions: A Mesocosm Experiment in the Northern Adriatic Sea. J. Exp. Mar. Biol. Ecol. 2010, 391, 131–142. [Google Scholar] [CrossRef]
- Markou, G.; Chatzipavlidis, I.; Georgakakis, D. Cultivation of Arthrospira (Spirulina) Platensis in Olive-Oil Mill Wastewater Treated with Sodium Hypochlorite. Bioresour. Technol. 2012, 112, 234–241. [Google Scholar] [CrossRef] [PubMed]
- Wood, J.D.; Gordon, R.; Madani, A.; Stratton, G.W. A long term assessment of phosphorus treatment by a constructed wetland receiving dairy wastewater. Wetlands 2008, 28, 715–723. [Google Scholar] [CrossRef]
- Ekholm, P.; Jouttijärvi, T.; Priha, M.; Rita, H.; Nurmesniemi, H. Determining Algal-Available Phosphorus in Pulp and Paper Mill Effluents: Algal Assays vs. Routine Phosphorus Analyses. Environ. Pollut. 2007, 145, 715–722. [Google Scholar] [CrossRef] [PubMed]
- Schulz, C.; Gelbrecht, J.; Rennert, B. Treatment of Rainbow Trout Farm Effluents in Constructed Wetland with Emergent Plants and Subsurface Horizontal Water Flow. Aquaculture 2003, 217, 207–221. [Google Scholar] [CrossRef]
- Pronk, M.; de Kreuk, M.K.; de Bruin, B.; Kamminga, P.; Kleerebezem, R.; van Loosdrecht, M.C.M. Full Scale Performance of the Aerobic Granular Sludge Process for Sewage Treatment. Water Res. 2015, 84, 207–217. [Google Scholar] [CrossRef]
- Li, R.H.; Wang, X.M.; Li, X.Y. A Membrane Bioreactor with Iron Dosing and Acidogenic Co-Fermentation for Enhanced Phosphorus Removal and Recovery in Wastewater Treatment. Water Res. 2018, 129, 402–412. [Google Scholar] [CrossRef]
- Luo, W.; Hai, F.I.; Price, W.E.; Guo, W.; Ngo, H.H.; Yamamoto, K.; Nghiem, L.D. Phosphorus and Water Recovery by a Novel Osmotic Membrane Bioreactor-Reverse Osmosis System. Bioresour. Technol. 2016, 200, 297–304. [Google Scholar] [CrossRef]
- Andrés, E.; Araya, F.; Vera, I.; Pozo, G.; Vidal, G. Phosphate Removal Using Zeolite in Treatment Wetlands under Different Oxidation-Reduction Potentials. Ecol. Eng. 2018, 117, 18–27. [Google Scholar] [CrossRef]
- Fernández Dueñas, J.; Alonso, R.; Rey, F.; Ferrer, A.S. Characterisation of Phosphorous Forms in Wastewater Treatment Plants. J. Hazard. Mater. 2003, 97, 193–205. [Google Scholar] [CrossRef]
- Carrillo, V.; Fuentes, B.; Gómez, G.; Vidal, G. Characterization and Recovery of Phosphorus from Wastewater by Combined Technologies. Rev. Environ. Sci. Biotechnol. 2020, 19, 389–418. [Google Scholar] [CrossRef]
- Lipizer, M.; Cossarini, G.; Falconi, C.; Solidoro, C.; Fonda Umani, S. Impact of Different Forcing Factors on N:P Balance in a Semi-Enclosed Bay: The Gulf of Trieste (North Adriatic Sea). Cont. Shelf Res. 2011, 31, 1651–1662. [Google Scholar] [CrossRef]
- EMODnet Chemistry Portal. Available online: https://www.emodnet-chemistry.eu (accessed on 10 March 2022).
- Adami, G.; Barbieri, P.; Predonzani, S.; Rivetti, D.; Reisenhofer, E. Nutrient Distribution in Locations of the Gulf of Trieste (Northern Adriatic Sea) Suspected of Pollution. Toxicol. Environ. Chem. 1999, 68, 307–320. [Google Scholar] [CrossRef]
- Kaltenbock, E.; Herndl, G.J. Ecology of Amorphous Aggregations (Marine Snow) in the Northern Adriatic Sea. IV. Dissolved Nutrients and the Autotrophic Community Associated with Marine Snow. Mar. Ecol. Prog. Ser. 1992, 87, 147–159. [Google Scholar] [CrossRef]
- Granéli, E.; Carlsson, P.; Turner, J.T.; Tester, P.A.; Béchemin, C.; Dawson, R.; Funari, E. Effects of N:P:Si Ratios and Zooplankton Grazing on Phytoplankton Communities in the Northern Adriatic Sea. I. Nutrients, Phytoplankton Biomass, and Polysaccharide Production. Aquat. Microb. Ecol. 1999, 18, 37–54. [Google Scholar] [CrossRef] [Green Version]
- Reisenhofer, E.; Adami, G.; Favretto, A. Heavy Metals and Nutrients in Coastal, Surface Seawaters (Gulf of Trieste, Northern Adriatic Sea): An Environmental Study by Factor Analysis. Anal. Bioanal. Chem. 1996, 354, 729–734. [Google Scholar] [CrossRef]
- Cibic, T.; Cerino, F.; Karuza, A.; Fornasaro, D.; Comici, C.; Cabrini, M. Structural and Functional Response of Phytoplankton to Reduced River Inputs and Anomalous Physical-Chemical Conditions in the Gulf of Trieste (Northern Adriatic Sea). Sci. Total Environ. 2018, 636, 838–853. [Google Scholar] [CrossRef]
- Šolić, M.; Šantić, D.; Šestanović, S.; Bojanić, N.; Grbec, B.; Jozić, S.; Vrdoljak, A.; Ordulj, M.; Matić, F.; Kušpilić, G.; et al. Impact of Water Column Stability Dynamics on the Succession of Plankton Food Web Types in the Offshore Area of the Adriatic Sea. J. Sea Res. 2020, 158, 101860. [Google Scholar] [CrossRef]
- Danovaro, R.; Armeni, M.; Luna, G.M.; Corinaldesi, C.; Dell’Anno, A.; Ferrari, C.R.; Fiordelmondo, C.; Gambi, C.; Gismondi, M.; Manini, E.; et al. Exo-Enzymatic Activities and Dissolved Organic Pools in Relation with Mucilage Development in the Northern Adriatic Sea. Sci. Total Environ. 2005, 353, 189–203. [Google Scholar] [CrossRef]
Publisher’s Note: MDPI stays neutral with regard to jurisdictional claims in published maps and institutional affiliations. |
© 2022 by the authors. Licensee MDPI, Basel, Switzerland. This article is an open access article distributed under the terms and conditions of the Creative Commons Attribution (CC BY) license (https://creativecommons.org/licenses/by/4.0/).