Influence of Environmental Factors on the Sap Flow Activity of the Golden Pear in the Growth Period of Karst Area in Southern China
Abstract
:1. Introduction
2. Materials and Methods
2.1. Study Sites
2.2. Material
2.3. Sap Flow and Water Potential Measurement
2.4. Soil Water Potential and Soil Water Content Measurement
2.5. Measurement of Environmental Factors and Calculation
2.6. Data Analysis
3. Results
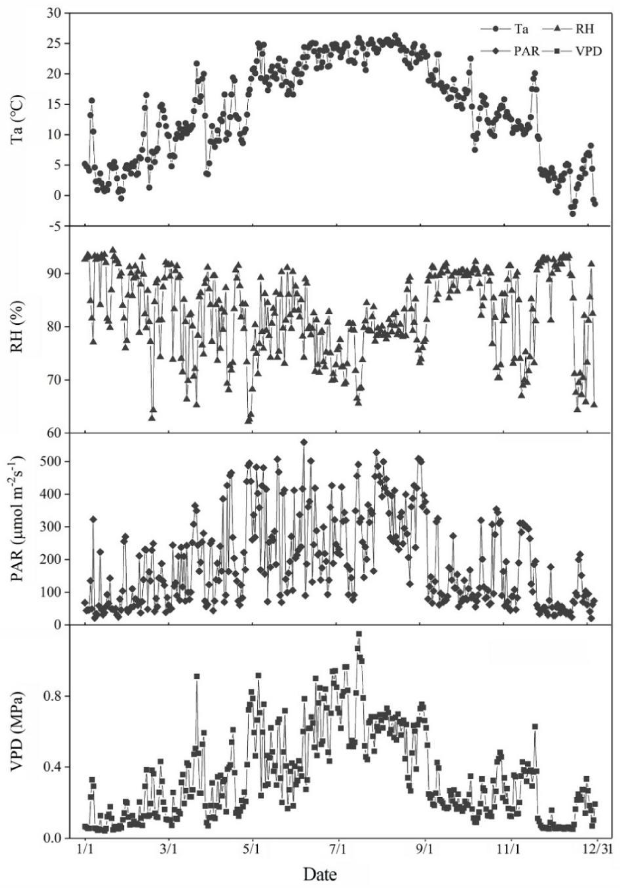
3.1. Monthly Variation in Meteorological Factors and Soil Moisture Content during the Study Period
3.2. Changes in Radial Flow Velocity and Sap Flow
3.3. Relationship between Sap Flow Change and Environmental Factors
3.4. Variation in Daytime Edaily and Night Enight of Sap Flow of Golden Pear
3.5. Differences in Soil Water Potential, Plant Water Potential and Sap Flow
4. Discussion
4.1. Sap Flow Characteristics and Influencing Factors during the Observation Period
4.2. Physiological and Ecological Significance of Daytime and Nighttime Sap Flow
4.3. Research Limitations and Implications
5. Conclusions
Supplementary Materials
Author Contributions
Funding
Institutional Review Board Statement
Informed Consent Statement
Data Availability Statement
Acknowledgments
Conflicts of Interest
References
- Sillmann, J.; Thorarinsdottir, T.; Keenlyside, N.; Schaller, N.; Alexander, L.V.; Hegerl, G.; Seneviratne, S.I.; Vautard, R.; Zhang, X.; Zwiers, F.W. Understanding, modeling and predicting weather and climate extremes: Challenges and opportunities. Weather Clim. Extrem. 2017, 18, 65–74. [Google Scholar] [CrossRef]
- Zhang, J.-G.; He, Q.-Y.; Shi, W.-Y.; Otsuki, K.; Yamanaka, N.; Du, S. Radial variations in xylem sap flow and their effect on whole-tree water use estimates. Hydrol. Process. 2015, 29, 4993–5002. [Google Scholar] [CrossRef]
- Yan, M.-J.; Zhang, J.-G.; He, Q.-Y.; Shi, W.-Y.; Otsuki, K.; Yamanaka, N.; Du, S. Sapflow-based stand transpiration in a semiarid natural oak forest on China’s loess plateau. Forests 2016, 7, 227. [Google Scholar] [CrossRef] [Green Version]
- Zhou, H.; Zhao, W.; Zheng, X.; Li, S. Root distribution of Nitraria sibirica with seasonally varying water sources in a desert habitat. J. Plant Res. 2015, 128, 613–622. [Google Scholar] [CrossRef]
- Chang, X.; Zhao, W.; Zhang, Z.; Su, Y. Sap flow and tree conductance of shelter-belt in arid region of China. Agric. For. Meteorol. 2006, 138, 132–141. [Google Scholar] [CrossRef]
- Shen, Q.; Gao, G.; Fu, B.; Lü, Y. Responses of shelterbelt stand transpiration to drought and groundwater variations in an arid inland river basin of Northwest China. J. Hydrol. 2015, 531, 738–748. [Google Scholar] [CrossRef]
- Nadal-Sala, D.; Sabaté, S.; Sánchez-Costa, E.; Poblador, S.; Sabater, F.; Gracia, C. Growth and water use performance of four co-occurring riparian tree species in a Mediterranean riparian forest. For. Ecol. Manag. 2017, 396, 132–142. [Google Scholar] [CrossRef]
- Llorens, P.; Poyatos, R.; Latron, J.; Delgado, J.; Oliveras, I.; Gallart, F. A multi-year study of rainfall and soil water controls on Scots pine transpiration under Mediterranean mountain conditions. Hydrol. Process. 2010, 24, 3053–3064. [Google Scholar] [CrossRef]
- Guerrieri, R.; Belmecheri, S.; Ollinger, S.V.; Asbjornsen, H.; Jennings, K.; Xiao, J.; Stocker, B.D.; Martin, M.; Hollinger, D.Y.; Bracho-Garrillo, R.; et al. Disentangling the role of photosynthesis and stomatal conductance on rising forest water-use efficiency. Proc. Natl. Acad. Sci. USA 2019, 116, 16909–16914. [Google Scholar] [CrossRef] [Green Version]
- Hentschel, R.; Hommel, R.; Poschenrieder, W.; Grote, R.; Holst, J.; Biernath, C.; Gessler, A.; Priesack, E. Stomatal conductance and intrinsic water use efficiency in the drought year 2003: A case study of European beech. Trees 2015, 30, 153–174. [Google Scholar] [CrossRef]
- Zhao, C.Y.; Si, J.H.; Feng, Q.; Yu, T.F.; Du Li, P. Comparative study of daytime and nighttime sap flow of Populus euphratica. Plant Growth Regul. 2017, 82, 353–362. [Google Scholar] [CrossRef]
- Chen, S.; Lin, G.; Huang, J.; Jenerette, G.D. Dependence of carbon sequestration on the differential responses of ecosystem photosynthesis and respiration to rain pulses in a semiarid steppe. Glob. Chang. Biol. 2009, 15, 2450–2461. [Google Scholar] [CrossRef]
- Pineda-García, F.; Paz, H.; Meinzer, F. Drought resistance in early and late secondary successional species from a tropical dry forest: The interplay between xylem resistance to embolism, sapwood water storage and leaf shedding. Plant Cell Environ. 2012, 36, 405–418. [Google Scholar] [CrossRef]
- Macinnis-Ng, C.; Wyse, S.; Veale, A.; Schwendenmann, L.; Clearwater, M. Sap flow of the southern conifer, Agathis australis during wet and dry summers. Trees 2015, 30, 19–33. [Google Scholar] [CrossRef]
- Ford, C.R.; Hubbard, R.; Vose, J.M. Quantifying structural and physiological controls on variation in canopy transpiration among planted pine and hardwood species in the southern Appalachians. Ecohydrology 2011, 4, 183–195. [Google Scholar] [CrossRef]
- Lachenbruch, B.; McCulloh, K.A. Traits, properties, and performance: How woody plants combine hydraulic and mechanical functions in a cell, tissue, or whole plant. New Phytol. 2014, 204, 747–764. [Google Scholar] [CrossRef] [PubMed]
- Santini, N.S.; Cleverly, J.; Faux, R.; Lestrange, C.; Rumman, R.; Eamus, D. Xylem traits and water-use efficiency of woody species co-occurring in the Ti Tree Basin arid zone. Trees 2015, 30, 295–303. [Google Scholar] [CrossRef]
- Verdaguer, D. Towards a better understanding of the role of rhizomes in mature woody plants: The belowground system of Quercus coccifera. Trees 2020, 34, 903–916. [Google Scholar] [CrossRef]
- Sterck, F.; Markesteijn, L.; Schieving, F.; Poorter, L. Functional traits determine trade-offs and niches in a tropical forest community. Proc. Natl. Acad. Sci. USA 2011, 108, 20627–20632. [Google Scholar] [CrossRef] [Green Version]
- Burgess, S.S.O.; Adams, M.; Turner, N.C.; Beverly, C.R.; Ong, C.K.; Khan, A.A.H.; Bleby, T.M. An improved heat pulse method to measure low and reverse rates of sap flow in woody plants. Tree Physiol. 2001, 21, 589–598. [Google Scholar] [CrossRef]
- Forster, M.A. How Reliable Are Heat Pulse Velocity Methods for Estimating Tree Transpiration? Forests 2017, 8, 350. [Google Scholar] [CrossRef] [Green Version]
- Liu, Z.; Lv, P.; Xu, W. Biological characteristics and key points of cultivation techniques of golden pear. Fujian Fruit Tree. 2001, 3, 33–35. [Google Scholar]
- Xiong, K.N.; LI, J.; Long, M.Z. Features of Soil and Water Loss and Key Issues in Demonstration Areas for Combating Karst Rocky Desertification. Acta Geogr. Sin. 2012, 67, 878–888. [Google Scholar] [CrossRef]
- Xiong, K.N.; Chi, Y.K. The Problems in Southern China Karst Ecosystem in Southern of China and Its Countermeasures. Ecol. Econ. 2015, 31, 23–30. [Google Scholar] [CrossRef]
- Granier, A. Evaluation of transpiration in a Douglas-fir stand by means of sap flow measurements. Tree Physiol. 1987, 3, 309–320. [Google Scholar] [CrossRef]
- Campbell, G.S.; Norman, J.M. An Introduction to Environmental Biophysics; Springer Science & Business Media: Berlin/Heidelberg, Germany, 2000. [Google Scholar]
- Buyinza, J.; Muthuri, C.W.; Downey, A.; Njoroge, J.; Denton, M.D.; Nuberg, I.K. Contrasting water use patterns of two important agroforestry tree species in the Mt Elgon region of Uganda. Aust. For. 2019, 82, 57–65. [Google Scholar] [CrossRef] [Green Version]
- Bodo, A.V.; Arain, M.A. Radial variations in xylem sap flux in a temperate red pine plantation forest. Ecol. Process. 2021, 10, 24. [Google Scholar] [CrossRef]
- Grossiord, C.; Gessler, A.; Granier, A.; Pollastrini, M.; Bussotti, F.; Bonal, D. Interspecific competition influences the response of oak transpiration to increasing drought stress in a mixed Mediterranean forest. For. Ecol. Manag. 2014, 318, 54–61. [Google Scholar] [CrossRef]
- Alvarado-Barrientos, M.; Holwerda, F.; Asbjornsen, H.; Dawson, T.; Bruijnzeel, L. Suppression of transpiration due to cloud immersion in a seasonally dry Mexican weeping pine plantation. Agric. For. Meteorol. 2014, 186, 12–25. [Google Scholar] [CrossRef]
- Huang, C.; Domec, J.-C.; Ward, E.J.; Duman, T.; Manoli, G.; Parolari, A.J.; Katul, G. The effect of plant water storage on water fluxes within the coupled soil-plant system. New Phytol. 2016, 213, 1093–1106. [Google Scholar] [CrossRef] [Green Version]
- Si, J.; Feng, Q.; Yu, T.; Zhao, C. Nighttime sap flow and its driving forces for Populus euphratica in a desert riparian forest, Northwest China. J. Arid Land. 2015, 7, 665–674. [Google Scholar] [CrossRef] [Green Version]
- Yan, C.; Wang, B.; Zhang, Y.; Zhang, X.; Takeuchi, S.; Qiu, G.Y. Responses of Sap Flow of Deciduous and Conifer Trees to Soil Drying in a Subalpine Forest. Forests 2018, 9, 32. [Google Scholar] [CrossRef] [Green Version]
- Kavanagh, K.L.; Pangle, R.; Schotzko, A.D. Nocturnal transpiration causing disequilibrium between soil and stem predawn water potential in mixed conifer forests of Idaho. Tree Physiol. 2007, 27, 621–629. [Google Scholar] [CrossRef] [PubMed]
- Wang, L.; Dai, Y.; Sun, J.; Wan, X. Differential hydric deficit responses of Robinia pseudoacacia and Platycladus orientalis in pure and mixed stands in northern China and the species interactions under drought. Trees 2017, 31, 2011–2021. [Google Scholar] [CrossRef]
- Jiao, L.; Lu, N.; Sun, G.; Ward, E.J.; Fu, B. Biophysical controls on canopy transpiration in a black locust (Robinia pseudoacacia) plantation on the semi-arid Loess Plateau, China. Ecohydrology 2015, 9, 1068–1081. [Google Scholar] [CrossRef]
- Fang, W.; Lu, N.; Zhang, Y.; Jiao, L.; Fu, B. Responses of nighttime sap flow to atmospheric and soil dryness and its potential roles for shrubs on the Loess Plateau of China. J. Plant Ecol. 2017, 11, 717–729. [Google Scholar] [CrossRef]
- Ghorbanzadeh, P.; Aliniaeifard, S.; Esmaeili, M.; Mashal, M.; Azadegan, B.; Seif, M. Dependency of Growth, Water Use Efficiency, Chlorophyll Fluorescence, and Stomatal Characteristics of Lettuce Plants to Light Intensity. J. Plant Growth Regul. 2020, 40, 2191–2207. [Google Scholar] [CrossRef]
- Bloemen, J.; Vergeynst, L.L.; Overlaet-Michiels, L.; Steppe, K. How important is woody tissue photosynthesis in poplar during drought stress? Trees 2014, 30, 63–72. [Google Scholar] [CrossRef]
- Yoshifuji, N.; Komatsu, H.; Kumagai, T.; Tanaka, N.; Tantasirin, C.; Suzuki, M. Interannual variation in transpiration onset and its predictive indicator for a tropical deciduous forest in northern Thailand based on 8-year sap-flow records. Ecohydrology 2011, 4, 225–235. [Google Scholar] [CrossRef]
- Zhang, Z.Z.; Zhao, P.; McCarthy, H.R.; Zhao, X.H.; Niu, J.F.; Zhu, L.W.; Ni, G.Y.; Ouyang, L.; Huang, Y.Q. Influence of the decoupling degree on the estimation of canopy stomatal conductance for two broadleaf tree species. Agric. For. Meteorol. 2016, 221, 230–241. [Google Scholar] [CrossRef]
- Lyu, J.; He, Q.-Y.; Yang, J.; Chen, Q.-W.; Cheng, R.-R.; Yan, M.-J.; Yamanaka, N.; Du, S. Sap flow characteristics in growing and non-growing seasons in three tree species in the semiarid Loess Plateau region of China. Trees 2020, 34, 943–955. [Google Scholar] [CrossRef]
- Forster, M.A. How significant is nocturnal sap flow? Tree Physiol. 2014, 34, 757–765. [Google Scholar] [CrossRef] [PubMed] [Green Version]
- Attia, Z.; Domec, J.-C.; Oren, R.; Way, D.A.; Moshelion, M. Growth and physiological responses of isohydric and anisohydric poplars to drought. J. Exp. Bot. 2015, 66, 4373–4381. [Google Scholar] [CrossRef] [PubMed] [Green Version]
- Cirelli, D.; Equiza, M.A.; Lieffers, V.J.; Tyree, M.T. Populus species from diverse habitats maintain high night-time conductance under drought. Tree Physiol. 2016, 36, 229–242. [Google Scholar] [CrossRef] [Green Version]
- Ogle, K.; Lucas, R.W.; Bentley, L.P.; Cable, J.M.; Barron-Gafford, G.A.; Griffith, A.; Ignace, D.; Jenerette, G.D.; Tyler, A.; Huxman, T.E.; et al. Differential daytime and night-time stomatal behavior in plants from North American deserts. New Phytol. 2012, 194, 464–476. [Google Scholar] [CrossRef]
- Dalmolin, Â.C.; Lobo, F.A.; Vourlitis, G.; Silva, P.R.; Dalmagro, P.R.; Antunes, M.Z., Jr.; Ortíz, C.E.R. Is the dry season an important driver of phenology and growth for two Brazilian savanna tree species with contrasting leaf habits? Plant Ecol. 2014, 216, 407–417. [Google Scholar] [CrossRef]
- Daley, M.J.; Phillips, N.G. Interspecific variation in nighttime transpiration and stomatal conductance in a mixed New England deciduous forest. Tree Physiol. 2006, 26, 411–419. [Google Scholar] [CrossRef] [Green Version]
- Ma, C.; Luo, Y.; Shao, M.; Li, X.; Sun, L.; Jia, X. Environmental controls on sap flow in black locust forest in Loess Plateau, China. Sci. Rep. 2017, 7, 13160. [Google Scholar] [CrossRef] [Green Version]
- Donovan, L.; Linton, M.J.; Richards, J.H. Predawn plant water potential does not necessarily equilibrate with soil water potential under well-watered conditions. Oecologia 2001, 129, 328–335. [Google Scholar] [CrossRef]
- Yu, T.; Feng, Q.; Si, J.; Zhang, X.; Alec, D.; Zhao, C. Evidences and magnitude of nighttime transpiration derived from Populus euphratica in the extreme arid region of China. J. Plant Biol. 2016, 59, 648–657. [Google Scholar] [CrossRef]
- Čermák, J.; Cienciala, E.; Kučera, J.; Hällgren, J.-E. Radial velocity profiles of water flow in trunks of Norway spruce and oak and the response of spruce to severing. Tree Physiol. 1992, 10, 367–380. [Google Scholar] [CrossRef]
- Delzon, S.; Sartore, M.; Granier, A.; Loustau, D. Radial profiles of sap flow with increasing tree size in maritime pine. Tree Physiol. 2004, 24, 1285–1293. [Google Scholar] [CrossRef] [PubMed] [Green Version]
- Matheny, A.M.; Bohrer, G.; Vogel, C.S.; Morin, T.H.; He, L.; Frasson, R.P.D.M.; Mirfenderesgi, G.; Schäfer, K.V.R.; Gough, C.M.; Ivanov, V.Y.; et al. Species-specific transpiration responses to intermediate disturbance in a northern hardwood forest. J. Geophys. Res. Biogeosci. 2014, 119, 2292–2311. [Google Scholar] [CrossRef] [Green Version]
- Skubel, R.; Arain, M.A.; Peichl, M.; Brodeur, J.; Khomik, M.; Thorne, R.; Trant, J.; Kula, M. Age effects on the water-use efficiency and water-use dynamics of temperate pine plantation forests. Hydrol. Process. 2015, 29, 4100–4113. [Google Scholar] [CrossRef]
- Consoli, S.; Stagno, F.; Roccuzzo, G. Sustainable management of limited water resources in a young orange orchard. Agric. Water Manag. 2014, 132, 60–68. [Google Scholar] [CrossRef]











| Sample Area | DBH (cm) | Height (m) | Crown Width | Age of Stand |
|---|---|---|---|---|
| 1 | 6.2 | 1.84 | 2.0 m × 1.38 m | 4 |
| 2 | 7.1 | 1.96 | 2.1 m × 1.40 m | 4 |
| 3 | 7.4 | 2.15 | 2.2 m × 1.43 m | 4 |
| Mean ± SD | 6.9 ± 0.62 | 1.98 ± 0.15 | 2.1 ± 1.40 | 4 ± 0 |
| Mouth | RH (%) | Ta (°C) | PAR (μmol m−2·s−1) | VPD (MPa) |
|---|---|---|---|---|
| January | 88.30 ± 5.90 | 3.90 ± 3.50 | 83.90 ± 77.20 | 0.10 ± 0.10 |
| February | 84.70 ± 7.50 | 8.00 ± 4.10 | 113.60 ± 93.80 | 0.20 ± 0.10 |
| March | 81.70 ± 8.00 | 11.30 ± 4.60 | 166.30 ± 93.80 | 0.30 ± 0.20 |
| April | 78.84 ± 8.68 | 12.80 ± 8.68 | 230.56 ± 145.42 | 0.34 ± 0.21 |
| May | 81.25 ± 5.39 | 20.20 ± 2.23 | 275.20 ± 135.02 | 0.46 ± 0.19 |
| June | 78.02 ± 5.34 | 23.00 ± 1.79 | 268.20 ± 116.19 | 0.63 ± 0.20 |
| July | 76.37 ± 5.15 | 23.90 ± 1.76 | 299.30 ± 127.53 | 0.71 ± 0.19 |
| August | 80.06 ± 3.72 | 24.00 ± 1.76 | 352.10 ± 95.74 | 0.60 ± 0.13 |
| September | 88.73 ± 3.07 | 18.10 ± 2.42 | 141.20 ± 89.95 | 0.24 ± 0.11 |
| October | 85.42 ± 6.51 | 13.50 ± 3.07 | 148.90 ± 99.20 | 0.23 ± 0.11 |
| November | 82.78 ± 8.97 | 9.80 ± 4.81 | 143.00 ± 103.20 | 0.23 ± 0.15 |
| December | 82.97 ± 10.55 | 2.80 ± 2.82 | 69.00 ± 45.80 | 0.13 ± 0.09 |
| Time | Axis Number | Factor Loadings | Total Variance Explained (%) | Cumulative Variance Explained (%) | |||||
|---|---|---|---|---|---|---|---|---|---|
| RH | Ta | PAR | VPD | VWC | Ψplant | ||||
| period | 1 | −0.854 | 0.824 | 0.898 | 0.962 | 0.236 | −0.684 | 61.062 | 61.062 |
| 2 | −0.240 | −0.014 | −0.162 | 0.133 | 0.905 | 0.570 | 20.768 | 81.829 | |
| June | July | August | September | October | November | December | |
|---|---|---|---|---|---|---|---|
| Daytime | 0.373 a | 0.383 a | 0.362 a | 0.151 b | 0.112 b | 0.101 b | 0.102 b |
| (0.103) | (0.124) | (0.095) | (0.059) | (0.019) | (0.001) | (0.002) | |
| Nighttime | 0.127 b | 0.137 a | 0.139 a | 0.108 c | 0.107 c | 0.101 c | 0.102 c |
| (0.010) | (0.018) | (0.019) | (0.009) | (0.011) | (0.001) | (0.001) |
Publisher’s Note: MDPI stays neutral with regard to jurisdictional claims in published maps and institutional affiliations. |
© 2022 by the authors. Licensee MDPI, Basel, Switzerland. This article is an open access article distributed under the terms and conditions of the Creative Commons Attribution (CC BY) license (https://creativecommons.org/licenses/by/4.0/).
Share and Cite
Fan, B.; Liu, Z.; Xiong, K.; Li, Y.; Li, K.; Yu, X. Influence of Environmental Factors on the Sap Flow Activity of the Golden Pear in the Growth Period of Karst Area in Southern China. Water 2022, 14, 1707. https://doi.org/10.3390/w14111707
Fan B, Liu Z, Xiong K, Li Y, Li K, Yu X. Influence of Environmental Factors on the Sap Flow Activity of the Golden Pear in the Growth Period of Karst Area in Southern China. Water. 2022; 14(11):1707. https://doi.org/10.3390/w14111707
Chicago/Turabian StyleFan, Bo, Ziqi Liu, Kangning Xiong, Yuan Li, Kaiping Li, and Xiao Yu. 2022. "Influence of Environmental Factors on the Sap Flow Activity of the Golden Pear in the Growth Period of Karst Area in Southern China" Water 14, no. 11: 1707. https://doi.org/10.3390/w14111707
APA StyleFan, B., Liu, Z., Xiong, K., Li, Y., Li, K., & Yu, X. (2022). Influence of Environmental Factors on the Sap Flow Activity of the Golden Pear in the Growth Period of Karst Area in Southern China. Water, 14(11), 1707. https://doi.org/10.3390/w14111707

