Remote Sensing for Development of Rainfall Intensity–Duration–Frequency Curves at Ungauged Locations of Yangon, Myanmar
Abstract
:1. Introduction
2. Study Area and Datasets
2.1. Study Area
2.2. Data and Sources
3. Methodology
3.1. Research Design
- Generate annual rainfall intensity (ARI) time series by estimating rainfall intensities for specific durations in each year.
- Fit the ARI time series for each duration using different probability distribution functions (PDFs) to select the best-fit PDF.
- Estimate rainfall intensity for each duration and return period using the best-fit PDF.
- Construct the IDF curves using the Sherman equation employing regression techniques.
- Repeat steps 1 to 4 to develop IDF curves for all four satellite-based rainfall data.
- Generate IDF curve using daily rainfall (only for 24, 48, and 72 h durations) at YIA and compare with the satellite IDF curves to estimate the bias correction factor.
- Select satellite rainfall showing the least bias in the IDF curve for generating IDF curves at all locations.
- Apply the bias correction factor estimated at the YIA station to correct the bias at ungauged locations for generating the IDF curve.
3.2. Fitting Probability Density Function
3.3. Sherman Equation
3.4. Performance Evaluation of Satellite Rainfall Data
4. Results and Discussion
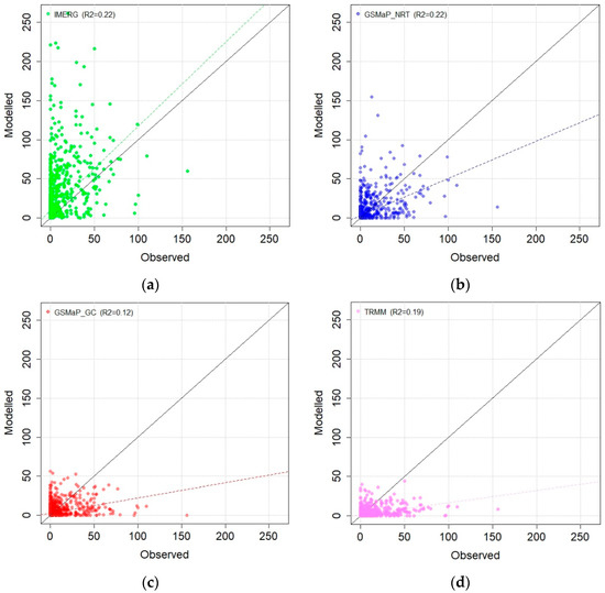
4.1. Performance Evaluation of Satellite Precipitation Products
4.2. The Goodness of Fit Test
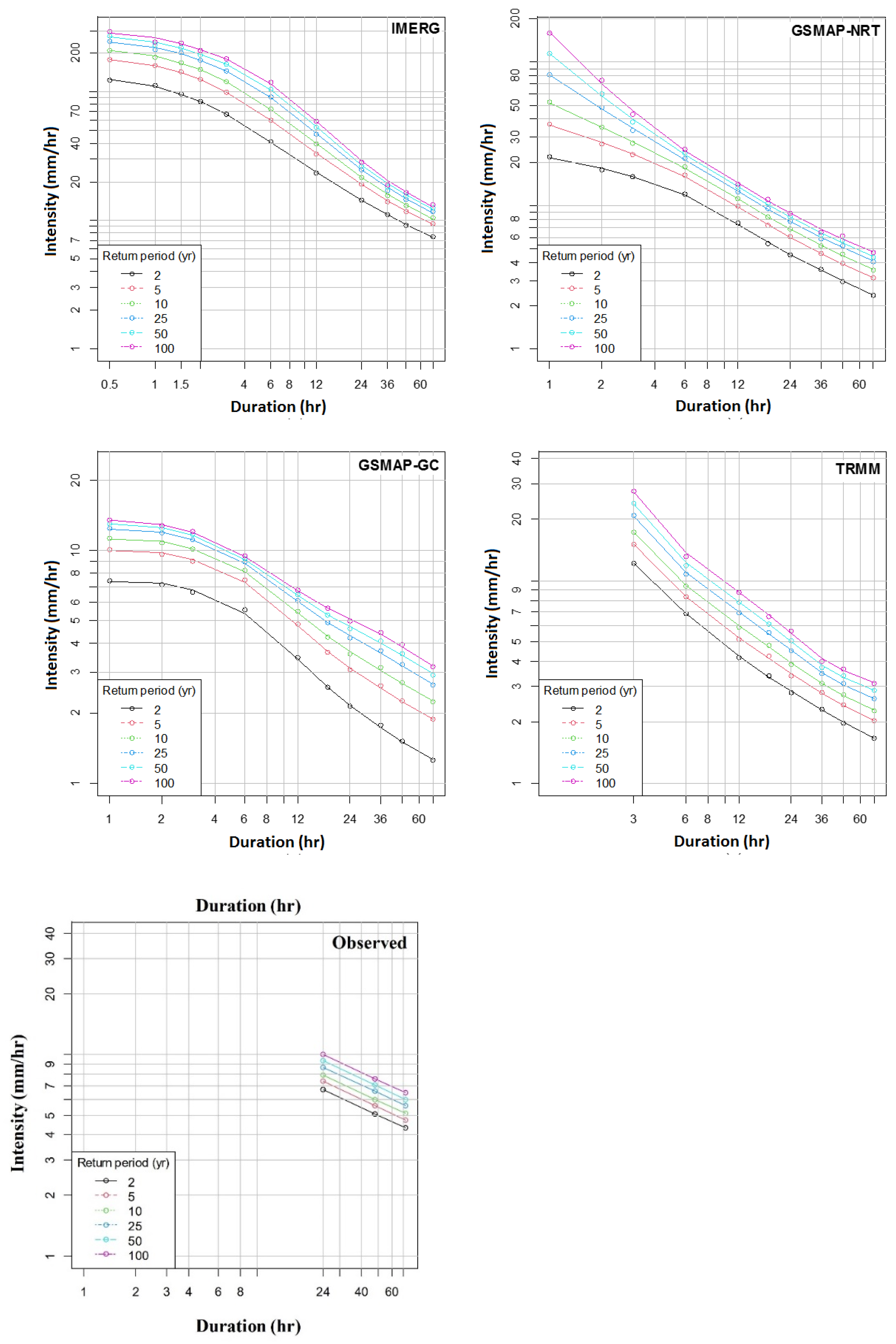
4.3. Generation of Intensity–Duration–Frequency (IDF) Curves
4.4. IDF Curves Based on the Sherman Equation
4.5. Bias Correction
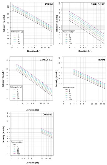
4.6. The Bias-Corrected IDF Curves
5. Discussion
6. Conclusions
- GSMaP_NRT, followed by IMERG, performs the best in replicating daily rainfall in terms of statistical metrics. However, visual inspection through scatter and density plots revealed the better performance of IMERG followed by GSMaP_NRT.
- The statistical methods confirm the GEV best fits the sub-hourly and hourly satellite rainfall distribution. It also best fits the observed daily rainfall distribution of Yangon.
- Evaluation satellite IDF curves with observed IDF curves showed the best performance of IMERG IDF. It showed an underestimation of observed daily IDF in the range of 19.5 to 29.1%, compared to more than 300% for all other satellite rainfall products.
- Bias-corrected IMERG IDF curves showed higher intensity in short-duration rainfall in the coastal areas compared to the inland.
Author Contributions
Funding
Institutional Review Board Statement
Informed Consent Statement
Data Availability Statement
Acknowledgments
Conflicts of Interest
References
- Parvin, G.A.; Shimi, A.C.; Shaw, R.; Biswas, C. Flood in a changing climate: The impact on livelihood and how the rural poor cope in Bangladesh. Climate 2016, 4, 60. [Google Scholar] [CrossRef] [Green Version]
- Sapountzis, M.; Kastridis, A.; Kazamias, A.-P.; Karagiannidis, A.; Nikopoulos, P.; Lagouvardos, K. Utilization and uncertainties of satellite precipitation data in flash flood hydro-logical analysis in ungauged watersheds. Glob. NEST J. 2021, 23, 388–399. [Google Scholar] [CrossRef]
- Diakakis, M.; Andreadakis, E.; Nikolopoulos, E.; Spyrou, N.; Gogou, M.; Deligiannakis, G.; Katsetsiadou, N.; Antoniadis, Z.; Melaki, M.; Georgakopoulos, A.; et al. An integrated approach of ground and aerial observations in flash flood disaster investigations. The case of the 2017 Mandra flash flood in Greece. Int. J. Disaster Risk Reduct. 2018, 33, 290–309. [Google Scholar] [CrossRef]
- Fowler, H.J.; Wasko, C.; Prein, A.F. Intensification of short-duration rainfall extremes and implications for flood risk: Current state of the art and future directions. Philos. Trans. R. Soc. A 2021, 379, 20190541. [Google Scholar] [CrossRef] [PubMed]
- Pour, S.H.; Wahab, A.K.A.; Shahid, S.; Asaduzzaman, M.; Dewan, A. Low impact development techniques to mitigate the impacts of climate change-induced urban floods: Current trends, issues and challenges. Sustain. Cities Soc. 2020, 62, 102373. [Google Scholar] [CrossRef]
- Fuchs, R.; Conran, M.; Louis, E. Climate Change and Asia’s Coastal Urban Cities: Can they Meet the Challenge? Environ. Urban. ASIA 2011, 2, 13–28. [Google Scholar] [CrossRef]
- IPCC. Climate Change 2022: Impacts, Adaptation and Vulnerability. In Working Group II Contribution to the IPCC Sixth Assessment Report; IPCC: Geneva, Switzerland, 2021. [Google Scholar]
- Aung, N.N.; San Htwe, S.; Sein, K.K.; Aung, L.L. The Impact of Floods on the Socio-Economic Activities of Yangon. In Population, Development, and the Environment; Palgrave Macmillan: Singapore, 2019; pp. 255–271. [Google Scholar] [CrossRef]
- Mar, S.; Nomura, H.; Takahashi, Y.; Ogata, K.; Yabe, M. Impact of erratic rainfall from climate change on pulse production efficiency in lower Myanmar. Sustainability 2018, 10, 402. [Google Scholar] [CrossRef] [Green Version]
- Yazid, M.; Humphries, U. Regional observed trends in daily rainfall indices of extremes over the Indochina Peninsula from 1960 to 2007. Climate 2015, 3, 168–192. [Google Scholar] [CrossRef] [Green Version]
- Horton, R.; De Mel, M.; Peters, D.; Lesk, C.; Bartlett, R.; Helsingen, H.; Bader, D.; Capizzi, P.; Martin, S.; Rosenzweig, C. Assessing Climate Risk in Myanmar: Technical Report; Center for Climate Systems Research at Columbia University, WWF-US and WWF-Myanmar: New York, NY, USA, 2017. [Google Scholar]
- ADB. Project Concept Paper-Proposed Loan, Myanmar: Yangon Urban Services Improvement Project; Asian Development Bank: Mandaluyong, Philippines, 2018. [Google Scholar]
- UN Habitat. The Republic of the Union of Myanmar: National Urban Policy Framework; UN Habitat: Nairobi, Kenya, 2016. [Google Scholar]
- World Bank Group. Myanmar’s Urbanization: Creating Opportunities for All; World Bank: Washington, DC, USA, 2019. [Google Scholar]
- Noor, M.; Ismail, T.; Chung, E.-S.; Shahid, S.; Sung, J.H. Uncertainty in Rainfall Intensity Duration Frequency Curves of Peninsular Malaysia under Changing Climate Scenarios. Water 2018, 10, 1750. [Google Scholar] [CrossRef] [Green Version]
- Noor, M.; Ismail, T.; Shahid, S.; Asaduzzaman, M.; Dewan, A. Evaluating intensity-duration-frequency (IDF) curves of satellite-based precipitation datasets in Peninsular Malaysia. Atmos. Res. 2021, 248, 105203. [Google Scholar] [CrossRef]
- Mohsan, M.; Acierto, R.A.; Kawasaki, A.; Zin, W.W. Preliminary assessment of GPM satellite rainfall over Myanmar. J. Disaster Res. 2018, 13, 22–30. [Google Scholar] [CrossRef]
- Hirano, A.; Mar, S.S.; Myint, M.T.A.; Khaing, H.M. On the applicability of satellite-based rainfall estimates for the determination of monsoon onset date: Case study in the ayeyarwady delta, myanmar. In Proceedings of the Paper presented at the 40th Asian Conference on Remote Sensing, ACRS 2019: Progress of Remote Sensing Tech, Daejeon, South Korea, 14–18 October 2019; 2020. [Google Scholar]
- Gilewski, P.; Nawalany, M. Inter-comparison of rain-gauge, radar, and satellite (IMERG GPM) precipitation estimates performance for rainfall-runoff modeling in a mountainous catchment in Poland. Water 2018, 10, 1665. [Google Scholar] [CrossRef] [Green Version]
- Yuan, F.; Zhang, L.; Win, K.W.W.; Ren, L.; Zhao, C.; Zhu, Y.; Jiang, S.; Liu, Y. Assessment of GPM and TRMM multi-satellite precipitation products in streamflow simulations in a data-sparse mountainous watershed in Myanmar. Remote Sens. 2017, 9, 302. [Google Scholar] [CrossRef] [Green Version]
- Yuan, F.; Zhang, L.; Soe, K.M.W.; Ren, L.; Zhao, C.; Zhu, Y.; Jiang, S.; Liu, Y. Applications of TRMM-and GPM-era multiple-satellite precipitation products for flood simulations at sub-daily scales in a sparsely gauged watershed in Myanmar. Remote Sens. 2019, 11, 140. [Google Scholar] [CrossRef] [Green Version]
- Endreny, T.A.; Imbeah, N. Generating robust rainfall intensity–duration–frequency estimates with short-record satellite data. J. Hydrol. 2009, 371, 182–191. [Google Scholar] [CrossRef]
- Marra, F.; Morin, E.; Peleg, N.; Mei, Y.; Aanognostou, E.N. Intensity-duration-frequency curves from remote sensing rainfall estimates: Comparing satellite and weather radar over the eastern Mediterranean. Hydrol. Earth Syst. Sci. 2017, 21, 2389–2404. [Google Scholar] [CrossRef] [Green Version]
- Ombadi, M.; Nguyen, P.; Sorooshian, S.; Hsu, K.L. Developing intensity-duration-frequency (IDF) curves from satellite-based precipitation: Methodology and evaluation. Water Resour. Res. 2018, 54, 7752–7766. [Google Scholar] [CrossRef]
- Sun, Y.; Wendi, D.; Kim, D.E.; Liong, S.Y. Deriving intensity–duration–frequency (IDF) curves using downscaled in situ rainfall assimilated with remote sensing data. Geosci. Lett. 2019, 6, 1–12. [Google Scholar] [CrossRef] [Green Version]
- Nashwan, M.S.; Shahid, S.; Wang, X. Assessment of satellite-based precipitation measurement products over the hot desert climate of Egypt. Remote Sens. 2019, 11, 555. [Google Scholar] [CrossRef] [Green Version]
- Mie Sein, Z.M.; Ullah, I.; Saleem, F.; Zhi, X.; Syed, S.; Azam, K. Interdecadal Variability in Myanmar Rainfall in the Monsoon Season (May–October) Using Eigen Methods. Water 2021, 13, 729. [Google Scholar] [CrossRef]
- Gubbala, S.; Venkata, D.; Srinivas, D. Decreasing southwest monsoon rainfall over Myanmar in the prevailing global warming era. Meteorol. Appl. 2019, 27, 1816. [Google Scholar] [CrossRef]
- Shrivastava, S.; Kar, S.C.; Sharma, A.R. Inter-annual variability of summer monsoon rainfall over Myanmar. Int. J. Climatol. 2017, 37, 802–820. [Google Scholar] [CrossRef]
- Derin, Y.; Anagnostou, E.; Berne, A.; Borga, M.; Boudevillain, B.; Buytaert, W.; Chang, C.-H.; Delrieu, G.; Hong, Y.; Hsu, Y.C.; et al. Multiregional satellite precipitation products evaluation over complex terrain. J. Hydrometeorol. 2016, 17, 1817–1836. [Google Scholar] [CrossRef]
- Huffman, G.J.; Adler, R.F.; Bolvin, D.T.; Gu, G.; Nelkin, E.J.; Bowman, K.P.; Hong, Y.; Stocker, E.F.; Wolff, D.B. The TRMM Multisatellite Precipitation Analysis (TMPA): Quasi-Global, Multiyear, Combined-Sensor Precipitation Estimates at Fine Scales. J. Hydrometeorol. 2007, 8, 38–55. [Google Scholar] [CrossRef]
- Sharifi, E.; Steinacker, R.; Saghafian, B.; Sharifi, E.; Steinacker, R.; Saghafian, B. Multi time-scale evaluation of high-resolution satellite-based precipitation products over northeast of Austria. Atmos. Res. 2018, 206, 46–63. [Google Scholar] [CrossRef]
- Okamoto, K.; Iguchi, T.; Takahashi, N.; Iwanami, K.; Ushio, T. The global satellite mapping of precipitation (GSMaP) project. In Proceedings of the 25th IGARSS Proceedings, Seoul, Korea, 25–29 July 2005; pp. 3414–3416. [Google Scholar] [CrossRef]
- Ushio, T.; Sasashige, K.; Kubota, T.; Shige, S.; Okamoto, K.; Aonashi, K.; Inoue, T.; Takahashi, N.; Iguchi, T.; Kachi, M.; et al. A Kalman Filter Approach to the Global Satellite Mapping of Precipitation (GSMaP) from Combined Passive Microwave and Infrared Radiometric Data. J. Meteorol. Soc. Jpn. 2009, 87, 137. [Google Scholar] [CrossRef] [Green Version]
- Aonashi, K.; Awaka, J.; Hirose, M.; Kozu, T.; Kubota, T.; Liu, G.; Shige, S.; Kida, S.; Seto, S.; Takahashi, N.; et al. GSMaP passive, microwave precipitation retrieval algorithm: Algorithm description and validation. J. Meteorol. Soc. Jpn. 2009, 87, 119–136. [Google Scholar] [CrossRef] [Green Version]
- Nashwan, M.S.; Shahid, S. Symmetrical uncertainty and random forest for the evaluation of gridded precipitation and temperature data. Atmos. Res. 2019, 230, 104632. [Google Scholar] [CrossRef]
- Mega, T.; Ushio, T.; Takahiro, M.; Kubota, T.; Kachi, M.; Oki, R. Gauge Adjusted Global Satellite Mapping of Precipitation (GSMaP_Gauge). IEEE Trans. Geosci. Remote. Sens. 2019, 57, 1928–1935. [Google Scholar] [CrossRef]
- Gorelick, N.; Hancher, M.; Dixon, M.; Ilyushchenko, S.; Thau, D.; Moore, R. Google Earth Engine: Planetary-scale geospatial analysis for everyone. Remote Sens. Environ. 2017, 202, 18–27. [Google Scholar] [CrossRef]
- Huffman, G.J.; Stocker, E.F.; Bolvin, D.T.; Nelkin, E.J.; Tan, J. GPM IMERG Final Precipitation L3 Half Hourly 0.1 Degree X 0.1 degree V06, Greenbelt, MD, Goddard Earth Sciences Data and Information Services Center (GES DISC). Available online: https://disc.gsfc.nasa.gov/datasets/GPM_3IMERGHH_06/summary (accessed on 11 November 2021).
- Kubota, T.; Shige, S.; Hashizume, H.; Aonashi, K.; Takahashi, N.; Seto, S.; Hirose, M.; Takayabu, Y.N.; Ushio, T.; Nakagawa, K.; et al. Global Precipitation Map using Satelliteborne Microwave Radiometers by the GSMaP Project: Production and Validation. IEEE Trans. Geosci. Remote Sens. 2007, 45, 2259–2275. [Google Scholar] [CrossRef]
- Tropical Rainfall Measuring Mission (TRMM). TRMM (TMPA) Rainfall Estimate L3 3-h 0.25 Degree X 0.25 Degree V7, Greenbelt, MD, Goddard Earth Sciences Data and Information Services Center (GES DISC). Available online: https://disc.gsfc.nasa.gov/datasets/TRMM_3B42_7/summary (accessed on 10 September 2021).
- Rahman, A.S.; Rahman, A.; Zaman, M.A.; Haddad, K.; Ahsan, A.; Imteaz, M. A study on selection of probability distributions for at-site flood frequency analysis in Australia. Nat. Hazards 2013, 69, 1803–1813. [Google Scholar] [CrossRef]
- Punlum, P.; Chaleeraktrakoon, C.; Nguyen, V.T.V. Development of IDF relations for thailand in consideration of the scale-invariance properties of extreme rainfall processes. In Proceedings of the World Environmental and Water Resources Congress, Sacramento, CA, USA, 21–25 May 2017; pp. 634–641. [Google Scholar]
- Chaudhuri, R.R.; Sharma, P. An integrated stochastic approach for extreme rainfall analysis in the National Capital Region of India. J. Earth Syst. Sci. 2021, 130, 1–15. [Google Scholar] [CrossRef]
- Alam, M.A.; Emura, K.; Farnham, C.; Yuan, J. Best-fit probability distributions and return periods for maximum monthly rainfall in Bangladesh. Climate 2018, 6, 9. [Google Scholar] [CrossRef] [Green Version]
- Sherman, C.W. Maximum rates of rainfall at Boston. Trans. Am. Soc. Civ. Eng. 1905, 54, 173–181. [Google Scholar] [CrossRef]
- Gupta, H.V.; Kling, H.; Yilmaz, K.K.; Martinez, G.F. Decomposition of the mean squared error and nse performance criteria: Implications for improving hydrological modelling. J. Hydrol. 2009, 377, 80–91. [Google Scholar] [CrossRef] [Green Version]
- Chen, H.; Yong, B.; Kirstetter, P.E.; Wang, L.; Hong, Y. Global component analysis of errors in three satellite-only global precipitation estimates. Hydrol. Earth Syst. Sci. 2021, 25, 3087–3104. [Google Scholar] [CrossRef]
- Yang, M.; Liu, G.; Chen, T.; Chen, Y.; Xia, C. Evaluation of GPM IMERG precipitation products with the point rain gauge records over Sichuan, China. Atmos. Res. 2020, 246, 105101. [Google Scholar] [CrossRef]
- Kastridis, A.; Theodosiou, G.; Fotiadis, G. Investigation of Flood Management and Mitigation Measures in Ungauged NATURA Protected Watersheds. Hydrology 2021, 8, 170. [Google Scholar] [CrossRef]
- Koutsoyiannis, D.; Baloutsos, G. Analysis of a Long Record of Annual Maximum Rainfall in Athens, Greece, and Design Rainfall Inferences. Nat. Hazards 2000, 22, 29–48. [Google Scholar] [CrossRef]
- Trang, H.T.; Manomaiphiboon, K.; Singhrattna, N.; Assareh, N. Evaluation of multiple sub-daily satellite precipitation products for Thailand. J. Sustain. Energy. Environ. 2020, 11, 81–91. [Google Scholar]
- Jiang, S.; Ren, L.; Xu, C.; Yong, B.; Yuan, F.; Liu, Y.; Yang, X.; Zeng, X. Statistical and hydrological evaluation of the latest Integrated Multi-satellitE Retrievals for GPM (IMERG) over a midlatitude humid basin in South China. Atmos. Res. 2018, 214, 418–429. [Google Scholar] [CrossRef]
- Le, M.H.; Lakshmi, V.; Bolten, J.; Bui, D.D. Adequacy of Satellite-derived Precipitation Estimates for hydrological modeling in Vietnam basins. J. Hydrol. 2020, 586, 124820. [Google Scholar] [CrossRef]
- Nguyen, L.B. Accuracy of Integrated Multi-SatelliE Retrievals for GPM Satellite Rainfall Product over North Vietnam. Polish J. Environ. Stud. 2021, 30, 5657–5667. [Google Scholar] [CrossRef]
- Da Silva, N.A.; Webber, B.G.; Matthews, A.J.; Feist, M.M.; Stein, T.H.; Holloway, C.E.; Abdullah, M.F. Validation of GPM IMERG extreme precipitation in the Maritime Continent by station and radar data. Earth Space Sci. 2021, 8, e2021EA001738. [Google Scholar] [CrossRef]
- Ramadhan, R.; Marzuki, M.; Yusnaini, H.; Muharsyah, R.; Suryanto, W.; Sholihun, S.; Vonnisa, M.; Battaglia, A.; Hashiguchi, H. Capability of GPM IMERG Products for Extreme Precipitation Analysis over the Indonesian Maritime Continent. Remote Sens. 2022, 14, 412. [Google Scholar] [CrossRef]
- Wang, H.; Yong, B. Quasi-Global evaluation of IMERG and GSMaP precipitation products over land usinggauge observations. Water 2020, 12, 243. [Google Scholar] [CrossRef] [Green Version]
- Iqbal, Z.; Shahid, S.; Ahmed, K.; Ismail, T.; Ziarh, G.F.; Chung, E.S.; Wang, X. Evaluation of CMIP6GCM rainfall in mainland Southeast Asia. Atmos. Res. 2021, 254, 105525. [Google Scholar] [CrossRef]








| Dataset | Temporal Resolution | Spatial Resolution | Period |
|---|---|---|---|
| IMERG [39] | 30 min | 0.1° × 0.1° | 2000–Present |
| GSMaP_NRT [33] | 1 h | 0.1° × 0.1° | 2000–Present |
| GSMaP_GC [40] | 1 h | 0.1° × 0.1° | 2000–Present |
| TRMM [41] | 3 h | 0.25° × 0.25° | 1998–2019 |
| Function | Equation | Parameter |
|---|---|---|
| GEV | k: shape μ: location σ: scale | |
| Gumbel | ||
| GP | ||
| Log Pearson-III | : shape : location |
| Index | Range | Optimum Value |
|---|---|---|
| 0 to 1 | 1 | |
| 0 | ||
| −∞ to 1 | 1 | |
| −∞ to +∞ | 0 | |
| −∞ to ∞ | 1 |
| Metrics | GSMaP_GC | GSMaP_NRT | IMERG | TRMM |
|---|---|---|---|---|
| RMSE | 12.91 | 13.75 | 18.44 | 12.4 |
| PBIAS% | 33.0 | −9.4 | −66.9 | 145.0 |
| rSD | 1.78 | 1.0 | 0.44 | 2.76 |
| R2 | 0.12 | 0.22 | 0.22 | 0.19 |
| KGE | −0.07 | 0.47 | −0.02 | −1.35 |
| Negative Log-Likelihood Statistics (MLE Estimator) | |||||||||||
|---|---|---|---|---|---|---|---|---|---|---|---|
| Distribution | Duration (hour) | ||||||||||
| 0.5 | 1 | 1.5 | 2 | 3 | 6 | 12 | 24 | 36 | 48 | 72 | |
| GEV | 105.6 | 118.8 | 126.2 | 129.4 | 133.2 | 136.3 | 135.9 | 136.9 | 136.2 | 137.9 | 141.9 |
| Gumbel | 105.8 | 119.3 | 126.4 | 129.6 | 133.2 | 136.4 | 135.9 | 137.3 | 137.0 | 138.3 | 142.3 |
| GP | 108.1 | 118.4 | 127.4 | 130.9 | 135.8 | 141.1 | 143.9 | 153.9 | 143.3 | 146.7 | 151.1 |
| LP3 | 151.1 | 151.1 | 151.1 | 151.1 | 151.1 | 151.1 | 151.1 | 151.1 | 151.1 | 151.1 | 151.1 |
| Rainfall Intensity (mm) | |||||||||
|---|---|---|---|---|---|---|---|---|---|
| Observed (2015–2020) | IMERG | Difference | |||||||
| Durations | 24 h | 48 h | 72 h | 24 h | 48 h | 72 h | 24 h | 48 h | 72 h |
| 2 Year ARI | 17.97 | 13.47 | 11.61 | 14.42 | 9.21 | 7.46 | 3.5 | 4.3 | 4.2 |
| 5 Year ARI | 24.12 | 17.94 | 15.48 | 19.05 | 11.63 | 9.39 | 5.1 | 6.3 | 6.1 |
| 10 Year ARI | 26.43 | 19.75 | 16.99 | 21.71 | 13.01 | 10.50 | 4.7 | 6.7 | 6.5 |
| 25 Year ARI | 28.20 | 21.23 | 18.18 | 24.67 | 14.55 | 11.73 | 3.5 | 6.7 | 6.4 |
| 50 Year ARI | 29.01 | 21.95 | 18.73 | 26.60 | 15.55 | 12.53 | 2.4 | 6.4 | 6.2 |
| 100 Year ARI | 29.54 | 22.45 | 19.10 | 28.33 | 16.44 | 13.25 | 1.2 | 6.0 | 5.8 |
Publisher’s Note: MDPI stays neutral with regard to jurisdictional claims in published maps and institutional affiliations. |
© 2022 by the authors. Licensee MDPI, Basel, Switzerland. This article is an open access article distributed under the terms and conditions of the Creative Commons Attribution (CC BY) license (https://creativecommons.org/licenses/by/4.0/).
Share and Cite
Kyaw, A.K.; Shahid, S.; Wang, X. Remote Sensing for Development of Rainfall Intensity–Duration–Frequency Curves at Ungauged Locations of Yangon, Myanmar. Water 2022, 14, 1699. https://doi.org/10.3390/w14111699
Kyaw AK, Shahid S, Wang X. Remote Sensing for Development of Rainfall Intensity–Duration–Frequency Curves at Ungauged Locations of Yangon, Myanmar. Water. 2022; 14(11):1699. https://doi.org/10.3390/w14111699
Chicago/Turabian StyleKyaw, Aung Kyaw, Shamsuddin Shahid, and Xiaojun Wang. 2022. "Remote Sensing for Development of Rainfall Intensity–Duration–Frequency Curves at Ungauged Locations of Yangon, Myanmar" Water 14, no. 11: 1699. https://doi.org/10.3390/w14111699
APA StyleKyaw, A. K., Shahid, S., & Wang, X. (2022). Remote Sensing for Development of Rainfall Intensity–Duration–Frequency Curves at Ungauged Locations of Yangon, Myanmar. Water, 14(11), 1699. https://doi.org/10.3390/w14111699

