Identifying Characteristics of Guam’s Extreme Rainfalls Prior to Climate Change Assessment
Abstract
:1. Introduction
2. Methodology
2.1. Development of Temporal Downscaling Model
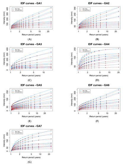
2.2. Investigation of the Effect of Two Distinct Storm Systems on IDF Curves Estimation
- (a)
- To build log-linear regression models for each return period using the six- or two-AMP series.
- (b)
- To estimate the three AMP series (15 min, 30 min).
- (c)
- To compare the estimated AMP series to the observed AMP series.
2.3. Investigation of Typhoon Effects on IDF Curves
3. Study Area and Data
4. Results and Discussion
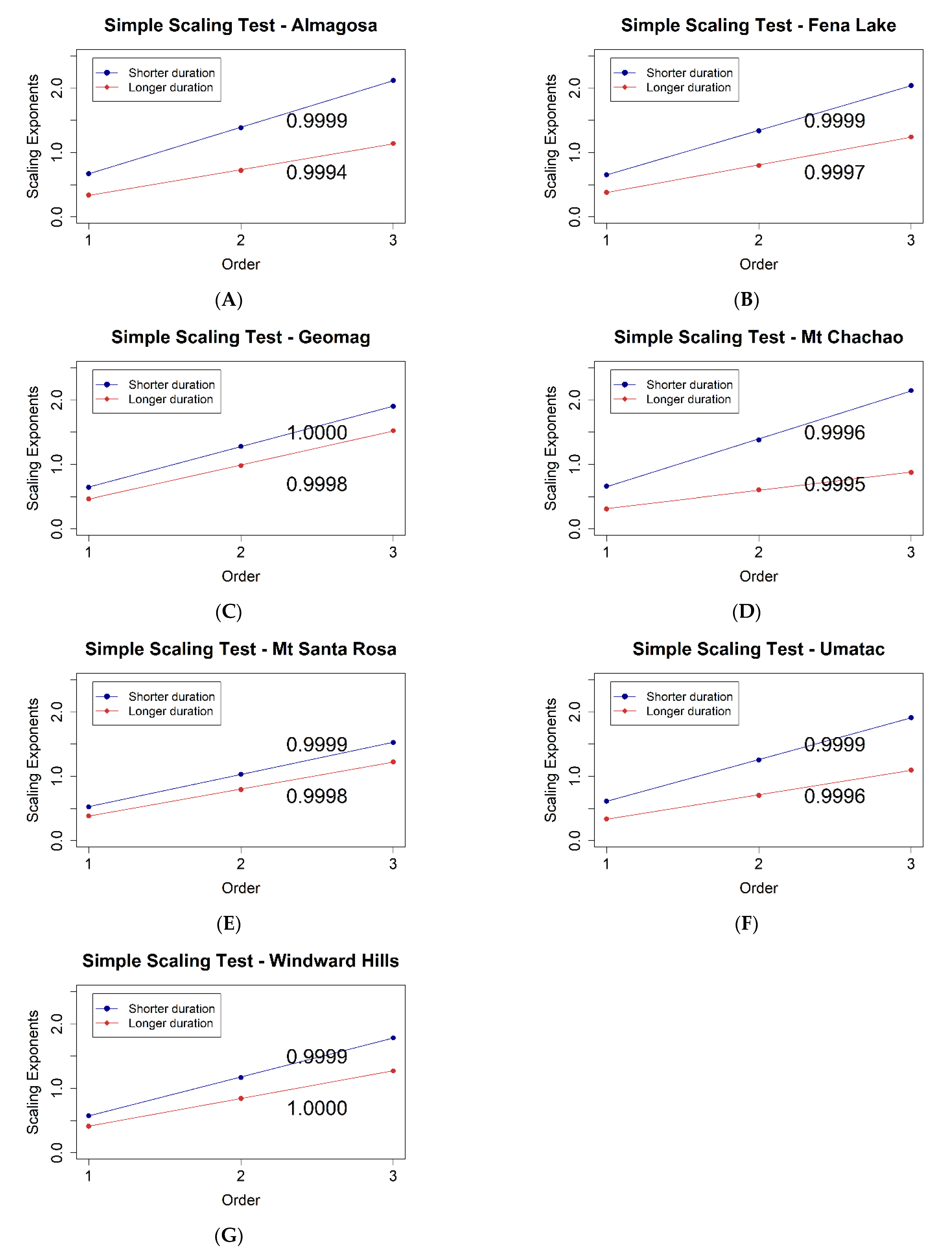
4.1. Scaling-GEV Model
4.2. Investigation of Typhoon Effects on IDF Curves
5. Conclusions
Author Contributions
Funding
Informed Consent Statement
Data Availability Statement
Conflicts of Interest
References
- Perica, S.; Lin, B.; Martin, D.; Yan, F.; Brewer, D.; Trypaluk, C.; Yekta, M.; Hiner, L.; Heim, S.; Dietz, S.; et al. NOAA Atlas 14 Volume 5 Version 3, Precipitation-Frequency Atlas of the United States, Selected Pacific Islands; NOAA, National Weather Service: Silver Spring, MD, USA, 2011. [Google Scholar]
- Hershfield, D.M. Rainfall frequency atlas of the United States. Tech. Pap. 1961, 40, 1–61. [Google Scholar]
- Simonovic, S.P.; Schardong, A.; Sandink, D.; Srivastav, R. A web-based tool for the development of intensity duration frequency curves under changing climate. Environ. Model. Softw. 2016, 81, 136–153. [Google Scholar] [CrossRef]
- Vu, M.; Raghavan, S.; Liu, J.; Liong, S.Y. Constructing short-duration IDF curves using coupled dynamical–statistical approach to assess climate change impacts. Int. J. Climatol. 2018, 38, 2662–2671. [Google Scholar] [CrossRef]
- Pachauri, R.K.; Allen, M.R.; Barros, V.R.; Broome, J.; Cramer, W.; Christ, R.; Church, J.A.; Clarke, L.; Dahe, Q.; Dasgupta, P. Climate Change 2014: Synthesis Report. Contribution of Working Groups I, II and III to the Fifth Assessment Report of the Intergovernmental Panel on Climate Change; IPCC: Geneva, Switzerland, 2014; 151p. [Google Scholar]
- Grecni, Z.; Miles, W.; King, R.; Frazier, A.; Keener, V. Climate Change in Guam: Indicators and Considerations for Key Sectors, Pacific Islands Regional Climate Assessment; East-West Center: Honlulu, HI, USA, 2020. [Google Scholar] [CrossRef]
- WHO. Human Health and Climate Change in Pacific Island Countries; World Health Organization. Regional Office for the Western Pacific: Suva, Fiji, 2015; Available online: https://www.who.int/publications/i/item/9789290617303 (accessed on 14 April 2022).
- Nunn, P.D. Responding to the challenges of climate change in the Pacific Islands: Management and technological imperatives. Clim. Res. 2009, 40, 211–231. [Google Scholar] [CrossRef]
- Luetz, J.M.; Nunn, P.D. Climate change adaptation in the Pacific Islands: A review of faith-engaged approaches and opportunities. In Managing Climate Change Adaptation in the Pacific Region; Springer: Cham, Switzerland, 2020; pp. 293–311. [Google Scholar] [CrossRef]
- Taylor, S.; Kumar, L. Global climate change impacts on pacific islands terrestrial biodiversity: A review. Trop. Conserv. Sci. 2016, 9, 203–223. [Google Scholar] [CrossRef] [Green Version]
- Menabde, M.; Seed, A.; Pegram, G. A simple scaling model for extreme rainfall. Water Resour. Res. 1999, 35, 335–339. [Google Scholar] [CrossRef]
- Shrestha, A.; Babel, M.S.; Weesakul, S.; Vojinovic, Z. Developing Intensity–Duration–Frequency (IDF) curves under climate change uncertainty: The case of Bangkok, Thailand. Water 2017, 9, 145. [Google Scholar] [CrossRef] [Green Version]
- Lander, M.A.; Guard, C.P. Creation of a 50-Year Rainfall Database, Annual Rainfall Climatology, and Annual Rainfall Distribution Map for Guam; Technical Report #102; Water and Environmental Research Institute of the Western Pacific of the University of Guam: Mangilao, Guam, 2003; p. 32. [Google Scholar]
- Gualdi, S.; Scoccimarro, E.; Navarra, A. Changes in tropical cyclone activity due to global warming: Results from a high-resolution coupled general circulation model. J. Clim. 2008, 21, 5204–5228. [Google Scholar] [CrossRef]
- Natural Environment Research Council. Flood studies report. Hydrol. Stud. 1975, 1, 1–40. [Google Scholar]
- Yeo, M.-H.; Nguyen, V.; Kpodonu, T.A. Characterizing extreme rainfalls and constructing Confidence Intervals for IDF curves using Scaling-GEV distribution model. Int. J. Climatol. 2020, 41, 456–468. [Google Scholar] [CrossRef]
- Nguyen, T.-D.; Nguyen, V.-T.-V.; Gachon, P. A spatial–temporal downscaling approach for construction of intensity–duration–frequency curves in consideration of gcm-based climate change scenarios. In Advances in Geosciences: Volume 6: Hydrological Science (HS); World Scientific: Singapore, 2007; pp. 11–21. [Google Scholar]
- Herath, S.M.; Sarukkalige, P.R.; Nguyen, V.T.V. A spatial temporal downscaling approach to development of IDF relations for Perth airport region in the context of climate change. Hydrol. Sci. J. 2016, 61, 2061–2070. [Google Scholar] [CrossRef] [Green Version]
- Langousis, A.; Veneziano, D. Intensity-duration-frequency curves from scaling representations of rainfall. Water Resour. Res. 2007, 43. [Google Scholar] [CrossRef]
- Bougadis, J.; Adamowski, K. Scaling model of a rainfall intensity-duration-frequency relationship. Hydrol. Processes 2006, 20, 3747–3757. [Google Scholar] [CrossRef]
- Nguyen, V.; Desramaut, N.; Nguyen, T. Estimation of urban design storms in consideration of GCM-based climate change scenarios. In Proceedings of the International Conference on Water & Urban Development Paradigms: Towards an integration of Engineering, Design and Management Approaches, Leuven, Belgium, 15–19 September 2008; pp. 347–356. [Google Scholar]
- US Army Corps of Engineers; Government of Guam BSP. Flood Frequency Estimates for Streams on Guam; 2020. Available online: https://bsp.guam.gov/wp-bsp-content/uploads/2020/07/01-Part-1-General1.pdf (accessed on 14 April 2022).
- Guam Homeland Security/Office of Civil Defense. 2019 Guam Hazard Mitigation Plan; Guam Homeland Security: Oakland, CA, USA, 2019; 340p. Available online: https://ghs.guam.gov/sites/default/files/final_2019_guam_hmp_20190726.pdf (accessed on 14 April 2022).
- US Department of Interior. United States of American Insular Energy Assessment Report; Pacific Power Association: Suva, Fiji, 2006; 487p, Available online: https://www.pcreee.org/publication/united-states-america-insular-areas-assessment-report-update-1982-territorial-energy (accessed on 14 April 2022).
- Widlansky, M.J.; Annamalai, H.; Gingerich, S.B.; Storlazzi, C.D.; Marra, J.J.; Hodges, K.I.; Choy, B.; Kitoh, A. Tropical cyclone projections: Changing climate threats for Pacific Island defense installations. Weather Clim. Soc. 2019, 11, 3–15. [Google Scholar] [CrossRef] [Green Version]
- Tracey, J.I.; Schlanger, S.O.; Stark, J.T.; Doan, D.B.; May, H.G. General Geology of Guam. 1964. Available online: https://pubs.usgs.gov/pp/0403a/report.pdf (accessed on 14 April 2022).
- Taboroši, D.; Jenson, J.W.; Mylroie, J.E. Karst Features of Guam Mariana Islands; Water and Environmental Research Institute of the Western Pacific: Mangilao, Guam, 2004; p. 29. [Google Scholar]
- Witten, H. CNMI and Guam Stormwater Management Manual; 2006. Available online: https://www.deq.gov.mp/assets/ww-forms/cnmi_stormwater_control_manual_vol1.pdf (accessed on 14 April 2022).
- IPCC. Climate Change 2021: The Physical Science Basis. Contribution of Working Group I to the Sixth Assessment Report of the Intergovernmental Panel on Climate Change; Cambridge University Press: New York, NY, USA, 2021. [Google Scholar]
- Yeo, M.-H.; Pangelinan, J.; King, R. Data for: Description of Guam’s Extreme Rainfall Events Using Scaling Invariant Properties for Climate Change Assessment. 2021. Available online: https://www.narcis.nl/dataset/RecordID/oai%3Aeasy.dans.knaw.nl%3Aeasy-dataset%3A227339 (accessed on 14 April 2022).











| Site | Site IDs | Latitude | Longitude | Length |
|---|---|---|---|---|
| Almagosa Rain Gage | GA1 | 13.35292 | 144.68314 | 2007–2021 |
| Fena Rain Gage near Reservoir Pump Station | GA2 | 13.36025 | 144.70889 | 2007–2021 |
| Geomag Observatory | GA3 | 13.58820 | 144.92020 | 2012–2021 |
| Mt. Chachao Rain Gage | GA4 | 13.43947 | 144.71217 | 2010–2021 |
| Mt. Santa Rosa, Yigo | GA5 | 13.52460 | 144.91090 | 2001–2021 |
| Umatac Rain Gage, Umatac | GA6 | 13.31390 | 144.66980 | 2007–2021 |
| Windward Hills, Yona | GA7 | 13.33830 | 144.73020 | 2007–2021 |
| Name of Typhoon | Date (yyyy-mm-dd) | Distance from Guam (km) | Intensity (m/s) | Max Intensity within Radius (m/s) |
|---|---|---|---|---|
| Krosa | 2001-10-03 | 82.8 | 12.9 | 15.4 |
| Chataan | 2002-07-05 | 50.7 | 48.9 | 48.9 |
| Pongsona | 2002-12-08 | 33.7 | 66.9 | 66.9 |
| Krovanh | 2003-08-17 | 28.3 | 12.9 | 12.9 |
| Maemi | 2003-09-05 | 21.9 | 15.4 | 15.4 |
| Maeri | 2004-09-20 | 99.5 | 12.9 | 15.4 |
| Tokage | 2004-10-12 | 98.2 | 18.0 | 18.0 |
| Talim | 2005-08-25 | 75.0 | 10.3 | 10.3 |
| Saomai | 2006-08-05 | 57.0 | 23.2 | 23.2 |
| Nuri | 2008-08-16 | 51.7 | 7.7 | 7.7 |
| Dolphin | 2008-12-11 | 75.0 | 15.4 | 15.4 |
| Mirinae | 2009-10-27 | 85.0 | 20.6 | 20.6 |
| Malou | 2010-08-31 | 53.5 | 7.7 | 7.7 |
| Megi | 2010-10-11 | 85.7 | 7.7 | 7.7 |
| Sanvu | 2012-05-22 | 87.2 | 20.6 | 20.6 |
| Wipha | 2013-10-10 | 32.4 | 10.3 | 10.3 |
| Francisco | 2013-10-16 | 97.0 | 15.4 | 15.4 |
| Rammasun | 2014-07-12 | 35.4 | 15.4 | 15.4 |
| Halong | 2014-07-30 | 82.8 | 28.3 | 28.3 |
| Bavi | 2015-03-15 | 11.3 | 20.6 | 20.6 |
| Dolphin | 2015-05-15 | 79.5 | 51.4 | 51.4 |
| Chan-Hom | 2015-07-05 | 45.4 | 23.2 | 23.2 |
| Three | 2016-07-13 | 73.5 | 7.7 | 7.7 |
| Fourteen | 2016-08-23 | 85.9 | 20.6 | 20.6 |
| Meranti | 2016-09-07 | 103.0 | 7.7 | 7.7 |
| Malakas | 2016-09-11 | 72.2 | 15.4 | 15.4 |
| Chaba | 2016-09-28 | 90.2 | 15.4 | 15.4 |
| Maria | 2018-07-04 | 20.7 | 28.3 | 30.9 |
| Soulik | 2018-08-15 | 100.6 | 15.4 | 15.4 |
| Mahgkhut | 2018-09-10 | 90.2 | 51.4 | 51.4 |
| Trami | 2018-09-20 | 51.5 | 12.9 | 12.9 |
| Durations | Almagosa | Fena Lake | Geomag | Mt Chachao | Mt Santa Rosa | Umatac | Windward Hills |
|---|---|---|---|---|---|---|---|
| 15 min | 0.51 | 0.80 | 1.89 | 0.00 | 0.00 | 0.00 | 0.55 |
| 30 min | 0.00 | 0.42 | 3.42 | 0.00 | 0.00 | 0.00 | 0.73 |
| 45 min | 0.00 | 0.16 | 1.88 | 0.00 | 0.10 | 0.20 | 0.75 |
| 1 h | 0.00 | 0.20 | 1.42 | 0.23 | 0.46 | 0.95 | 0.36 |
| 2 h | 0.33 | 0.52 | 2.82 | 1.01 | 1.36 | 0.67 | 0.58 |
| 3 h | 0.61 | 0.76 | 4.13 | 1.63 | 1.71 | 1.25 | 2.24 |
| 6 h | 1.66 | 1.49 | 8.75 | 2.33 | 2.73 | 1.43 | 3.70 |
| 12 h | 2.13 | 2.67 | 11.91 | 2.22 | 3.35 | 1.66 | 3.80 |
| 24 h | 2.78 | 2.91 | 7.77 | 1.69 | 2.66 | 1.49 | 4.39 |
Publisher’s Note: MDPI stays neutral with regard to jurisdictional claims in published maps and institutional affiliations. |
© 2022 by the authors. Licensee MDPI, Basel, Switzerland. This article is an open access article distributed under the terms and conditions of the Creative Commons Attribution (CC BY) license (https://creativecommons.org/licenses/by/4.0/).
Share and Cite
Yeo, M.-H.; Pangelinan, J.; King, R. Identifying Characteristics of Guam’s Extreme Rainfalls Prior to Climate Change Assessment. Water 2022, 14, 1578. https://doi.org/10.3390/w14101578
Yeo M-H, Pangelinan J, King R. Identifying Characteristics of Guam’s Extreme Rainfalls Prior to Climate Change Assessment. Water. 2022; 14(10):1578. https://doi.org/10.3390/w14101578
Chicago/Turabian StyleYeo, Myeong-Ho, James Pangelinan, and Romina King. 2022. "Identifying Characteristics of Guam’s Extreme Rainfalls Prior to Climate Change Assessment" Water 14, no. 10: 1578. https://doi.org/10.3390/w14101578
APA StyleYeo, M.-H., Pangelinan, J., & King, R. (2022). Identifying Characteristics of Guam’s Extreme Rainfalls Prior to Climate Change Assessment. Water, 14(10), 1578. https://doi.org/10.3390/w14101578

