Assessing Hydrological Cost-Effectiveness of Stormwater Multi-Level Control Strategies in Mountain Park under the Concept of Sponge City
Abstract
:1. Introduction
2. Materials and Methods
2.1. Study Area
2.2. Multi-Level Control Strategies
2.3. Design Storms
2.4. Hydrological Model
2.5. Assessment Metrics
2.5.1. Hydrological Performance Metrics
2.5.2. Life-Cycle Cost Metrics
2.5.3. Hydrological Cost-Effectiveness Metrics
3. Results and Discussion
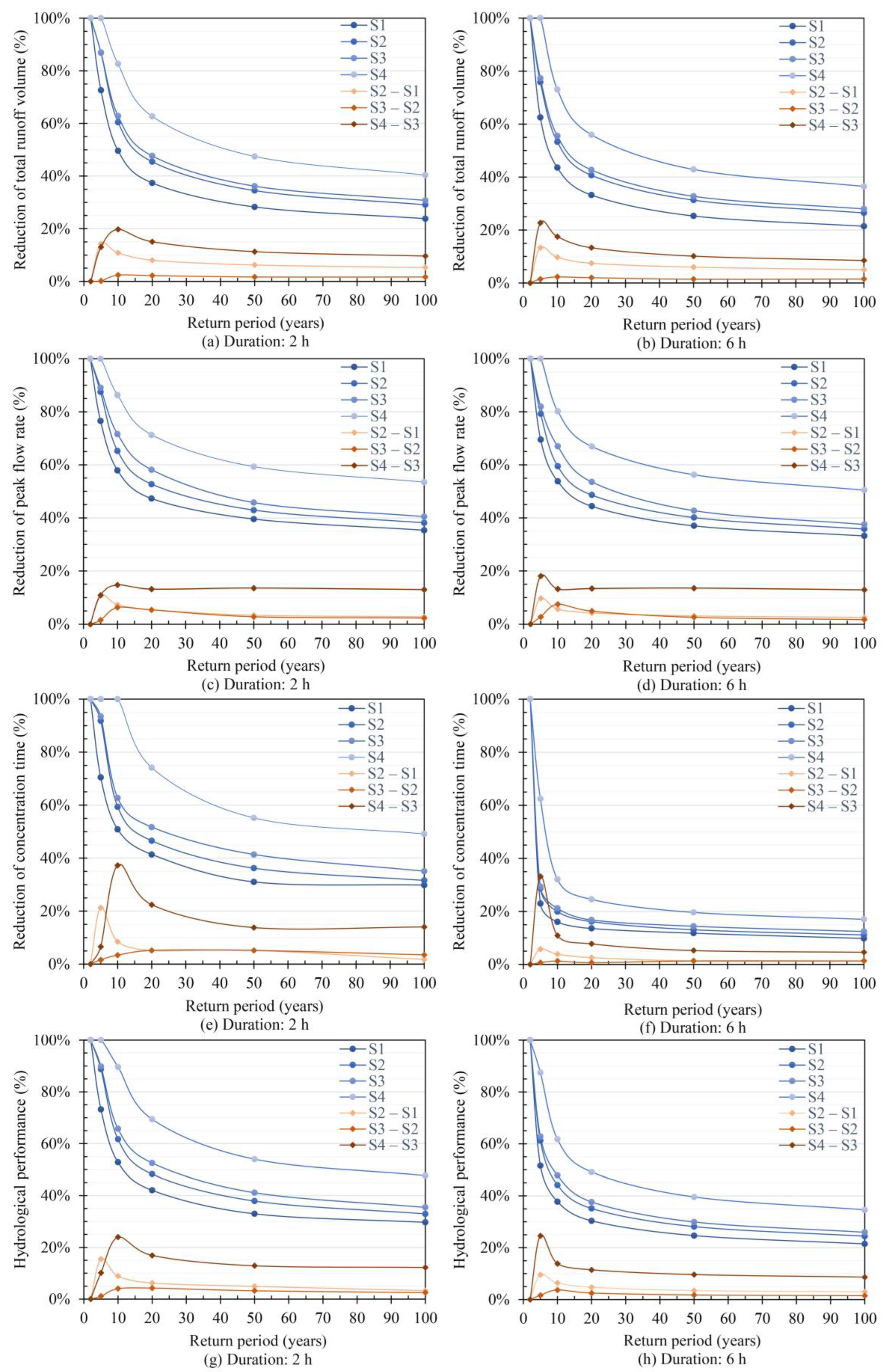
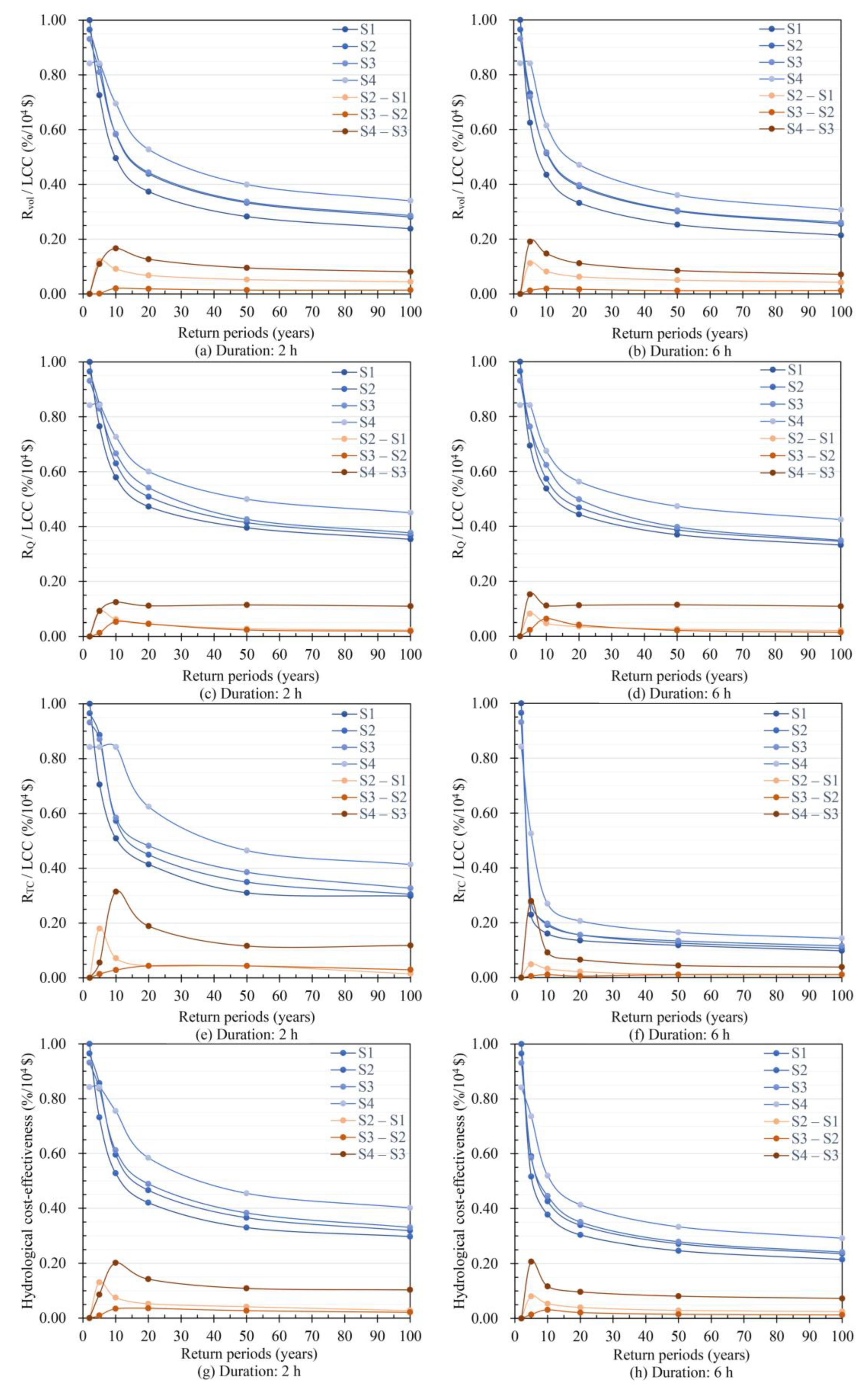
3.1. Hydrological Performance Assessment
3.1.1. Runoff Volume Reduction
3.1.2. Peak Flow Reduction
3.1.3. Concentration Time Reduction
3.1.4. Comprehensive Implications
3.2. Life-Cycle Cost Assessment
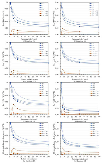
3.3. Hydrological Cost-Effectiveness Assessment
4. Conclusions
- (1)
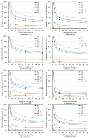
- The results for hydrological performance indicate that the volume of multi-level storage is the most significant factor affecting its hydrological performance, providing the multi-level interception and storage strategy (S4) with a considerable advantage for benefit enhancement. This was followed by the multi-level interception strategy (S2) with a slightly lower overall performance than the multi-level storage strategy (S3), with the terminal strategy (S1) performing the worst. In particular, increasing multi-level storage is the most effective method for enhancing hydrological performance, and multi-level interception facilities are preferred for a specific storage volume. Although these pre-evaluation findings indicate a potentially positive hydrologic performance for multi-level or dispersed LID facilities in this mountain park, further validation with actual precipitation and runoff information should be required to improve the precision of this hydrological modelling study.However, due to the life-cycle cost (LCC) limitations, the trend in hydrological cost-effectiveness is entirely the opposite in the 2–10-year return periods. The high-intensity multi-level strategy performs better under the high-intensity precipitation events, whereas a low- to mid-intensity strategy seems suitable for the low-intensity events (particularly for the 2–5-year events). It is mainly influenced by the LCC limitations and the marginal effect of hydrological performance, which require a combined consideration in this practice. Likewise, this conclusion may also be applicable to the LID practice. In most sponge city practices, a control target of 2−5 years of design precipitation (or less) is more appropriate for adopting a low-intensity LID strategy. The excessive pursuit of hydrological benefits may fail to fully utilize the LID facility, resulting in increased costs and wasted resources. Thus, we may be required to limit the LID practice levels based on control objectives; such a limited approach can be achieved by considering the objective of cost-effectiveness. Particular attention should be paid to local low- to mid-intensity precipitation characteristics and site characteristics, which are directly related to the size, type selection, and layout of LID facilities and will influence the target setting and overall hydrological cost-effectiveness.
- (2)
- Comparison of S2 and S3 in terms of hydrological performance and cost-effectiveness for a specific storage volume shows that the multi-level storage facility in S3 seems not to perform its distributed hydrological performance. The slope of the mountain may influence this. However, this study did not conduct a controlled experimental design for different topography and catchment areas. The effect of slope on the hydrological performance of multi-level regulation facilities could not be effectively concluded. This will probably be one of our future research directions. Research samples can also be further expanded in future research on this topic. We can design controlled texts to compare and verify the combined hydrologic performance of multi-level or dispersed LID facilities at different slope conditions on sloped and non-sloped sites. We will use actual projects as evidence-based research cases to promote the general applicability of this study.
- (3)
- This paper focuses on model building, cost-benefit simulation, and evaluation of hydrological multi-level control schemes. It actually belongs to the theoretical modelling stage, which can provide some theoretical support and technical reference for urban mountain park design and LID practice for sloped areas. However, due to constrained conditions, the soil type, infiltration rate, and other factors used in this paper mainly depend on the available data in the neighboring areas of Guanyao Mountain. In this study’s modelling and simulation process, the parameters were appropriately calibrated based on runoff coefficients, so there are some specific limitations. To further verify the effectiveness of multi-level control facilities in this mountain park, we can obtain the actual precipitation runoff data through field sensor monitoring and compare the model simulation results to optimize and validate this study.
Author Contributions
Funding
Institutional Review Board Statement
Informed Consent Statement
Data Availability Statement
Acknowledgments
Conflicts of Interest
References
- Xiujuan, Q.; Kueihsien, L.; Randrup, T.B. Sustainable stormwater management: A qualitative case study of the Sponge Cities initiative in China. Sustain. Cities Soc. 2020, 53, 101963. [Google Scholar] [CrossRef]
- Li, X.; Li, J.; Fang, X.; Gong, Y.; Wang, W. Case studies of the sponge city program in China. In Proceedings of the World Environmental and Water Resources Congress 2016, West Palm Beach, FL, USA, 22–26 May 2016; pp. 295–308. [Google Scholar]
- Chan, F.K.S.; Griffiths, J.A.; Higgitt, D.; Xu, S.; Zhu, F.; Tang, Y.-T.; Xu, Y.; Thorne, C.R. “Sponge City” in China—A breakthrough of planning and flood risk management in the urban context. Land Use Policy 2018, 76, 772–778. [Google Scholar] [CrossRef]
- Jiang, Y.; Zevenbergen, C.; Fu, D. Understanding the challenges for the governance of China’s “sponge cities” initiative to sustainably manage urban stormwater and flooding. Nat. Hazards 2017, 89, 521–529. [Google Scholar] [CrossRef]
- Sun, Y.; Chen, Z.; Wu, G.; Wu, Q.; Zhang, F.; Niu, Z.; Hu, H.-Y. Characteristics of water quality of municipal wastewater treatment plants in China: Implications for resources utilization and management. J. Clean. Prod. 2016, 131, 1–9. [Google Scholar] [CrossRef] [Green Version]
- Xia, J.; Zhang, Y.; Xiong, L.; He, S.; Wang, L.; Yu, Z. Opportunities and challenges of the Sponge City construction related to urban water issues in China. Sci. China Earth Sci. 2017, 60, 652–658. [Google Scholar] [CrossRef]
- Köster, S. How the Sponge City becomes a supplementary water supply infrastructure. Water-Energy Nexus 2021, 4, 35–40. [Google Scholar] [CrossRef]
- MOHURD. The Construction Guideline of Sponge City in China—Low Impact Development of Stormwater System (Trail); China Architecture & Building Press: Beijing, China, 2014. [Google Scholar]
- Gao, J.; Li, J.; Li, Y.; Xia, J.; Lv, P. A Distribution Optimization Method of Typical LID Facilities for Sponge City Construction. Ecohydrol. Hydrobiol. 2021, 21, 13–22. [Google Scholar] [CrossRef]
- Liu, J.; Gong, X.; Li, L.; Chen, F.; Zhang, J. Innovative design and construction of the sponge city facilities in the Chaotou Park, Talent Island, Jiangmen, China. Sustain. Cities Soc. 2021, 70, 102906. [Google Scholar] [CrossRef]
- Yang, Y.; Guan, T.; Wu, L. An exploration of sponge city planning solutions for residential areas based on the XPdrainage model. Urban Plan. Forum 2018, S1, 126–129. [Google Scholar] [CrossRef]
- Cheng, Y.; Wang, R. A novel stormwater management system for urban roads in China based on local conditions. Sustain. Cities Soc. 2018, 39, 163–171. [Google Scholar] [CrossRef]
- GB/T 51345-2018; Evaluation Criteria for Sponge City Construction. MOHURD: Beijing, China, 2018.
- Chen, S.; Van De Ven, F.H.M.; Zevenbergen, C.; Verbeeck, S.; Ye, Q.; Zhang, W.; Wei, L. Revisiting China’s Sponge City Planning Approach: Lessons from a Case Study on Qinhuai District, Nanjing. Front. Environ. Sci. 2021, 9, 428. [Google Scholar] [CrossRef]
- Nguyen, T.T.; Ngo, H.H.; Guo, W.; Wang, X.C. A new model framework for sponge city implementation: Emerging challenges and future developments. J. Environ. Manag. 2020, 253, 109689. [Google Scholar] [CrossRef]
- Li, H.; Ding, L.; Ren, M.; Li, C.; Wang, H. Sponge City Construction in China: A Survey of the Challenges and Opportunities. Water 2017, 9, 594. [Google Scholar] [CrossRef] [Green Version]
- Li, F.; Zhang, J. A review of the progress in Chinese Sponge City programme: Challenges and opportunities for urban stormwater management. Water Supply 2022, 22, 1638–1651. [Google Scholar] [CrossRef]
- Wu, L. The science of human settlements should be established with major concern. Bull. Chin. Acad. Sci. 2012, 21, 442–443. [Google Scholar] [CrossRef]
- Yuan, Y.; Gan, Y.; Xu, Y.; Xie, Q.; Shen, Y.; Yin, Y. SWMM-Based Assessment of Urban Mountain Stormwater Management Effects under Different LID Scenarios. Water 2022, 14, 78. [Google Scholar] [CrossRef]
- Liu, J.; Li, Y.; Zhang, J. Analysis on Surface Runoff Property and Stormwater Utilization in Urban Mountain Parks in Chongqing. J. Hum. Settl. West China 2020, 34, 42–49. [Google Scholar] [CrossRef]
- Zhang, G.; Chen, Y.; Wu, Y. Commentary on Eco-Hydrological Regulation for Integrated River Basin Management. Sci. Geogr. Sin. 2019, 39, 1191–1198. [Google Scholar] [CrossRef]
- Zhao, W.; Zhu, M.; Shu, F. Mountainous Sponge City Planning Methods in the View of Ecohydrology—A Case Study of Chongqing Metropolitan Area. Mt. Res. 2017, 35, 68–77. [Google Scholar] [CrossRef]
- Mao, H.; Luo, P.; Sha, T. Study on Urban Design Strategy of Gully Area in Response to Mountain Hydrological Characteristics. Chin. Landsc. Archit. 2017, 33, 34–38. [Google Scholar] [CrossRef]
- Cheng, Y.; Yuan, Y. Research on Parametric Design of Imitating Natural Waterscape in Mountain Environment. Chin. Landsc. Archit. 2015, 31, 10–14. [Google Scholar] [CrossRef]
- Zhang, D.; Tang, Z. Ecological Restoration and Landscape Design of the Quarry Park in Tangshan of Nanjing. Chin. Landsc. Archit. 2019, 35, 5–12. [Google Scholar] [CrossRef]
- Hamel, P.; Daly, E.; Fletcher, T.D. Source-control stormwater management for mitigating the impacts of urbanisation on baseflow: A review. J. Hydrol. 2013, 485, 201–211. [Google Scholar] [CrossRef]
- Jia, H.; Lu, Y.; Yu, S.L.; Chen, Y. Planning of LID–BMPs for urban runoff control: The case of Beijing Olympic Village. Sep. Purif. Technol. 2012, 84, 112–119. [Google Scholar] [CrossRef]
- Eckart, K.; McPhee, Z.; Bolisetti, T. Performance and implementation of low impact development—A review. Sci. Total Environ. 2017, 607–608, 413–432. [Google Scholar] [CrossRef] [PubMed]
- Baek, S.S.; Choi, D.H.; Jung, J.W.; Lee, H.J.; Lee, H.; Yoon, K.S.; Cho, K.H. Optimizing low impact development (LID) for stormwater runoff treatment in urban area, Korea: Experimental and modelling approach. Water Res. 2015, 86, 122–131. [Google Scholar] [CrossRef]
- Davis, A.P.; Shokouhian, M.; Sharma, H.; Minami, C. Water quality improvement through bioretention media: Nitrogen and phosphorus removal. Water Environ. Res. 2006, 78, 284–293. [Google Scholar] [CrossRef]
- Zhang, K.; Chui, T.F.M. A comprehensive review of spatial allocation of LID-BMP-GI practices: Strategies and optimization tools. Sci. Total Environ. 2018, 621, 915–929. [Google Scholar] [CrossRef]
- Morsy, M.M.; Goodall, J.L.; Shatnawi, F.M.; Meadows, M.E. Distributed Stormwater Controls for Flood Mitigation within Urbanized Watersheds: Case Study of Rocky Branch Watershed in Columbia, South Carolina. J. Hydrol. Eng. 2016, 21, 05016025. [Google Scholar] [CrossRef]
- Towsif Khan, S.; Chapa, F.; Hack, J. Highly Resolved Rainfall-Runoff Simulation of Retrofitted Green Stormwater Infrastructure at the Micro-Watershed Scale. Land 2020, 9, 339. [Google Scholar] [CrossRef]
- Todeschini, S.; Papiri, S.; Ciaponi, C. Placement Strategies and Cumulative Effects of Wet-weather Control Practices for Intermunicipal Sewerage Systems. Water Resour. Manag. 2018, 32, 2885–2900. [Google Scholar] [CrossRef]
- Zhang, M.; Tan, W.; Zhong, J. A Research on the Applicable Modes of LID-Based Slope Residence Planning. IOP Conf. Ser. Earth Environ. Sci. 2021, 693, 012002. [Google Scholar] [CrossRef]
- Li, Y.; Liu, J.; Zhang, J. On the Strategy for Constructing a Low Impact Development (LID) Rainwater Control System Based on Different Types of Sub-catchments—A Case Study of Chongqing’s Main Urban Area. J. Southwest Univ. 2019, 41, 151–157. [Google Scholar] [CrossRef]
- Luan, Q.; Fu, X.; Song, C.; Wang, H.; Liu, J.; Wang, Y. Runoff Effect Evaluation of LID through SWMM in Typical Mountainous, Low-Lying Urban Areas: A Case Study in China. Water 2017, 9, 439. [Google Scholar] [CrossRef] [Green Version]
- Hou, Q.; Yuan, Y.; Liu, R.; Cheng, X. Research on Water Environment Optimization Design Methods of Urban Mountain Parks. Landsc. Archit. 2020, 27, 98–103. [Google Scholar] [CrossRef]
- Mei, C.; Liu, J.; Wang, H.; Yang, Z.; Ding, X.; Shao, W. Integrated assessments of green infrastructure for flood mitigation to support robust decision-making for sponge city construction in an urbanized watershed. Sci. Total Environ. 2018, 639, 1394–1407. [Google Scholar] [CrossRef] [PubMed]
- Wang, M.; Zhang, D.; Adhityan, A.; Ng, W.J.; Dong, J.; Tan, S.K. Assessing cost-effectiveness of bioretention on stormwater in response to climate change and urbanization for future scenarios. J. Hydrol. 2016, 543, 423–432. [Google Scholar] [CrossRef]
- Wang, Z.; Zhou, S.; Wang, M.; Zhang, D. Cost-benefit analysis of low-impact development at hectare scale for urban stormwater source control in response to anticipated climatic change. J. Environ. Manag. 2020, 264, 110483. [Google Scholar] [CrossRef]
- Liu, J.; Li, W.; Peng, Z.; Liu, Z. Research on Stormwater Management Landscape System Strategies in Mountainous Urban Parks Based on the Hydrological Cost Comprehensive Effectiveness. Landsc. Archit. 2021, 28, 90–96. [Google Scholar] [CrossRef]
- Rossman, L.A. Storm Water Management Model User’s Manual; version 5.1; USEPA: Washington, DC, USA, 2014.
- Norris, G.A. Integrating life cycle cost analysis and LCA. Int. J. Life Cycle Assess. 2001, 6, 118–120. [Google Scholar] [CrossRef]
- Krebs, G.; Kokkonen, T.; Valtanen, M.; Koivusalo, H.; Setälä, H. A high resolution application of a stormwater management model (SWMM) using genetic parameter optimization. Urban Water J. 2013, 10, 394–410. [Google Scholar] [CrossRef]
- Shen, J.; Zhang, Q. A GIS-Based Subcatchments Division Approach for SWMM. Open Civ. Eng. J. 2015, 9, 515–521. [Google Scholar] [CrossRef] [Green Version]
- Bureau, N.C.A. Formula of Rainstorm Intensity in Nanjing (Revised). Available online: http://cgj.nanjing.gov.cn/information/extrafile/1/201403121404284714 (accessed on 6 August 2021).
- Keifer, C.J.; Chu, H.H. Synthetic Storm Pattern for Drainage Design. J. Hydraul. Div. 1957, 83, 1332-1–1332-25. [Google Scholar] [CrossRef]
- Ni, Z.; Li, Q.; Du, F.; Jiang, H. Study on design of rainstorm pattern based on short duration in Nanjing City. J. Water Resour. Water Eng. 2019, 30, 57–62. [Google Scholar] [CrossRef]
- Jia, H.; Ma, H.; Sun, Z.; Yu, S.; Ding, Y.; Liang, Y. A closed urban scenic river system using stormwater treated with LID-BMP technology in a revitalized historical district in China. Ecol. Eng. 2014, 71, 448–457. [Google Scholar] [CrossRef]
- Zhang, L.; Li, J.; Pei, H.; He, G. Rainfall Pattern Analysis of Short Duration Rainstorm in Nanjing. Adv. Meteorol. Sci. Technol. 2019, 9, 15–20, 55. [Google Scholar] [CrossRef]
- Rosa, D.J.; Clausen, J.C.; Dietz, M.E. Calibration and Verification of SWMM for Low Impact Development. J. Am. Water Resour. Assoc. 2015, 51, 746–757. [Google Scholar] [CrossRef]
- Wang, M.; Zhang, D.; Lou, S.; Hou, Q.; Liu, Y.; Cheng, Y.; Qi, J.; Tan, S.K. Assessing Hydrological Effects of Bioretention Cells for Urban Stormwater Runoff in Response to Climatic Changes. Water 2019, 11, 997. [Google Scholar] [CrossRef] [Green Version]
- Li, Q.; Wang, F.; Yu, Y.; Huang, Z.; Li, M.; Guan, Y. Comprehensive performance evaluation of LID practices for the sponge city construction: A case study in Guangxi, China. J. Environ. Manag. 2019, 231, 10–20. [Google Scholar] [CrossRef]
- Horton, R.E. The Rôle of infiltration in the hydrologic cycle. Trans. Am. Geophys. Union 1933, 14, 446–460. [Google Scholar] [CrossRef]
- Deng, J.; Yin, H.; Kong, F.; Chen, J.; Dronova, I.; Pu, Y. Determination of runoff response to variation in overland flow area by flow routes using UAV imagery. J. Environ. Manag. 2020, 265, 109868. [Google Scholar] [CrossRef] [PubMed]
- Li, M.; Yin, H.; Kong, F.; Liu, J.; Qiu, S. Research on spatial distribution and stormwater regulation benefits of low impact development in Gulou District, Nanjing, China. J. Water Resour. Water Eng. 2019, 30, 30–38. [Google Scholar] [CrossRef]
- Song, Y.; Li, Q.; Niu, M.; Yan, F.; He, P.; Chen, Q.; Zhou, Z.; Du, Y. Rainstorm and waterlogging simulation in typical inundated districts of Nanjing based on SWMM. Adv. Sci. Technol. Water Resour. 2019, 39, 56–61. [Google Scholar] [CrossRef]
- Su, W.; Duan, H. Catchment-based imperviousness metrics impacts on floods in Niushou River basin, Nanjing City, East China. Chin. Geogr. Sci. 2017, 27, 229–238. [Google Scholar] [CrossRef] [Green Version]
- Shi, X.; Li, Y.; Huang, L.; Qiu, S. Waterlogging simulation and runoff analysis of urban rainstorm for Nanjing. Sci. Surv. Mapp. 2017, 42, 179–185. [Google Scholar] [CrossRef]
- Sun, Y.; Li, Q.; Liu, L.; Xu, C.; Liu, Z. Hydrological simulation approaches for BMPs and LID practices in highly urbanized area and development of hydrological performance indicator system. Water Sci. Eng. 2014, 7, 143–154. [Google Scholar] [CrossRef]
- Palla, A.; Gnecco, I. Hydrologic modelling of Low Impact Development systems at the urban catchment scale. J. Hydrol. 2015, 528, 361–368. [Google Scholar] [CrossRef]
- Xing, W.; Li, P.; Cao, S.-B.; Gan, L.-L.; Liu, F.-L.; Zuo, J.-E. Layout effects and optimization of runoff storage and filtration facilities based on SWMM simulation in a demonstration area. Water Sci. Eng. 2016, 9, 115–124. [Google Scholar] [CrossRef] [Green Version]
- Yang, Y.; Chui, T.F.M. Optimizing surface and contributing areas of bioretention cells for stormwater runoff quality and quantity management. J. Environ. Manag. 2018, 206, 1090–1103. [Google Scholar] [CrossRef]
- Spatari, S.; Yu, Z.; Montalto, F.A. Life cycle implications of urban green infrastructure. Environ. Pollut. 2011, 159, 2174–2179. [Google Scholar] [CrossRef]
- Chui, T.F.M.; Liu, X.; Zhan, W. Assessing cost-effectiveness of specific LID practice designs in response to large storm events. J. Hydrol. 2016, 533, 353–364. [Google Scholar] [CrossRef]
- Vineyard, D.; Ingwersen, W.W.; Hawkins, T.R.; Xue, X.; Demeke, B.; Shuster, W. Comparing Green and Grey Infrastructure Using Life Cycle Cost and Environmental Impact: A Rain Garden Case Study in Cincinnati, OH. J. Am. Water Resour. Assoc. 2015, 51, 1342–1360. [Google Scholar] [CrossRef]
- ZYA1-02(01)-2018; Sponge City Construction Project Investment Estimation Index. MOHURD: Beijing, China, 2018.
- Ministry of Housing and Urban-Rural Development of Peoples Republic of China. Methods and Parameters of Economic Evaluation for Municipal Utilities Construction Projects; China Planning Press: Beijing, China, 2008.
- Liao, Z.; Chen, H.; Huang, F.; Li, H. Cost–effectiveness analysis on LID measures of a highly urbanized area. Desalin. Water Treat. 2014, 56, 2817–2823. [Google Scholar] [CrossRef]
- Houle, J.J.; Roseen, R.M.; Ballestero, T.P.; Puls, T.A.; Sherrard, J. Comparison of Maintenance Cost, Labor Demands, and System Performance for LID and Conventional Stormwater Management. J. Environ. Eng. 2013, 139, 932–938. [Google Scholar] [CrossRef]
- Muhan, L.; Shuang, T. Review of Research Contents and Methods on Low Impact Development Cost-Effectiveness. Huazhong Archit. 2021, 39, 1–5. [Google Scholar] [CrossRef]
- Hou, J.; Han, H.; Qi, W.; Guo, K.; Li, Z.; Hinkelmann, R. Experimental investigation for impacts of rain storms and terrain slopes on low impact development effect in an idealized urban catchment. J. Hydrol. 2019, 579, 124176. [Google Scholar] [CrossRef]












| Catchment Number | Area (m2) | Primary Landcover | Average Slope |
|---|---|---|---|
| C1-1 | 11,959 | Woodland | 22% |
| C1-2 | 6186 | Woodland and grassland | 15% |
| C2-1 | 10,420 | Woodland | 28% |
| C2-2 | 10,958 | Woodland and pavement | 9% |
| C3-1 | 2654 | Grassland | 19% |
| C3-2 | 1708 | Woodland and grassland | 24% |
| C4-1 | 2778 | Grassland | 19% |
| C4-2 | 20,859 | Woodland and water bodies | 21% |
| Parameters | Unit | Recommended Range [43] | Values in Previous Studies [56,57,58,59,60] | Values in This Study |
|---|---|---|---|---|
| Depth of depression storage for impervious areas | mm | 1.27–2.54 | 1.00–2.00 | 1.50 |
| Depth of depression storage for pervious areas | mm | 2.54–7.62 | 3.80–7.62 | 5.85 |
| Manning’s N for impervious areas | / | 0.001–0.020 | 0.011–0.02 | 0.015 |
| Manning’s N for pervious areas | / | 0.01–0.80 | 0.30–0.80 | 0.40 |
| Manning’s N for conduits | / | 0.011–0.02 | 0.011–0.015 | 0.011 |
| Manning’s N for grassed swales | / | 0.02–0.40 | 0.02–0.4 | 0.2 |
| Manning’s N for ecological intercepting channels | / | 0.02–0.35 | 0.02–0.05 | 0.05 |
| Max Infiltration Rate | mm/h | 25.40–127.00 | 25.40–76.20 | 50.80 |
| Mini Infiltration Rate | mm/h | 0.25–30.00 | 0.25–10.92 | 1 |
| Decay Coefficients | 1/h | 2.00–7.00 | 1.85–3.00 | 3 |
| Drying time | d | 2–14 | 2–7 | 7 |
| Layer | Parameter | Channel | Eco-Swale | Detention Pond |
|---|---|---|---|---|
| Surface | Berm height (mm) | 600 | 250 | 1000 |
| Vegetation volume fraction (m3/m3) | 0.1 | 0.3 | 0.1 | |
| Surface roughness (Manning’s n) | 0.05 | 0.2 | 0.03 | |
| Surface slope (%) | 2 | 0.5 | 0.5 | |
| Soil | Thickness of soil (mm) | 600 | 450 | 450 |
| Porosity (m3/m3) | 0.5 | 0.5 | 0.5 | |
| Field capacity (m3/m3) | 0.284 | 0.284 | 0.284 | |
| Wilting point (m3/m3) | 0.135 | 0.135 | 0.135 | |
| Conductivity (mm/h) | 6.6 | 6.6 | 6.6 | |
| Conductivity slope | 10 | 10 | 10 | |
| Suction head (mm) | 70 | 170 | 170 | |
| Storage | Thickness of storage (mm) | / | 500 | / |
| Void ratio (voids/solids) | / | 0.5 | / | |
| Seepage rate (mm/h) | / | 500 | / | |
| Clogging factor | / | 0 | / |
Publisher’s Note: MDPI stays neutral with regard to jurisdictional claims in published maps and institutional affiliations. |
© 2022 by the authors. Licensee MDPI, Basel, Switzerland. This article is an open access article distributed under the terms and conditions of the Creative Commons Attribution (CC BY) license (https://creativecommons.org/licenses/by/4.0/).
Share and Cite
Hou, Q.; Cheng, Y.; Yuan, Y.; Wang, M. Assessing Hydrological Cost-Effectiveness of Stormwater Multi-Level Control Strategies in Mountain Park under the Concept of Sponge City. Water 2022, 14, 1524. https://doi.org/10.3390/w14101524
Hou Q, Cheng Y, Yuan Y, Wang M. Assessing Hydrological Cost-Effectiveness of Stormwater Multi-Level Control Strategies in Mountain Park under the Concept of Sponge City. Water. 2022; 14(10):1524. https://doi.org/10.3390/w14101524
Chicago/Turabian StyleHou, Qinghe, Yuning Cheng, Yangyang Yuan, and Mo Wang. 2022. "Assessing Hydrological Cost-Effectiveness of Stormwater Multi-Level Control Strategies in Mountain Park under the Concept of Sponge City" Water 14, no. 10: 1524. https://doi.org/10.3390/w14101524
APA StyleHou, Q., Cheng, Y., Yuan, Y., & Wang, M. (2022). Assessing Hydrological Cost-Effectiveness of Stormwater Multi-Level Control Strategies in Mountain Park under the Concept of Sponge City. Water, 14(10), 1524. https://doi.org/10.3390/w14101524

