Integrated Approach to Quantify the Impact of Land Use and Land Cover Changes on Water Quality of Surma River, Sylhet, Bangladesh
Abstract
:1. Introduction
2. Materials and Methods
2.1. Design of the Study
2.2. Study Area
2.3. Water Sampling and Analytical Methods
2.3.1. LULC Change Analysis
2.3.2. Statistical Analyses
3. Results
3.1. Water Quality
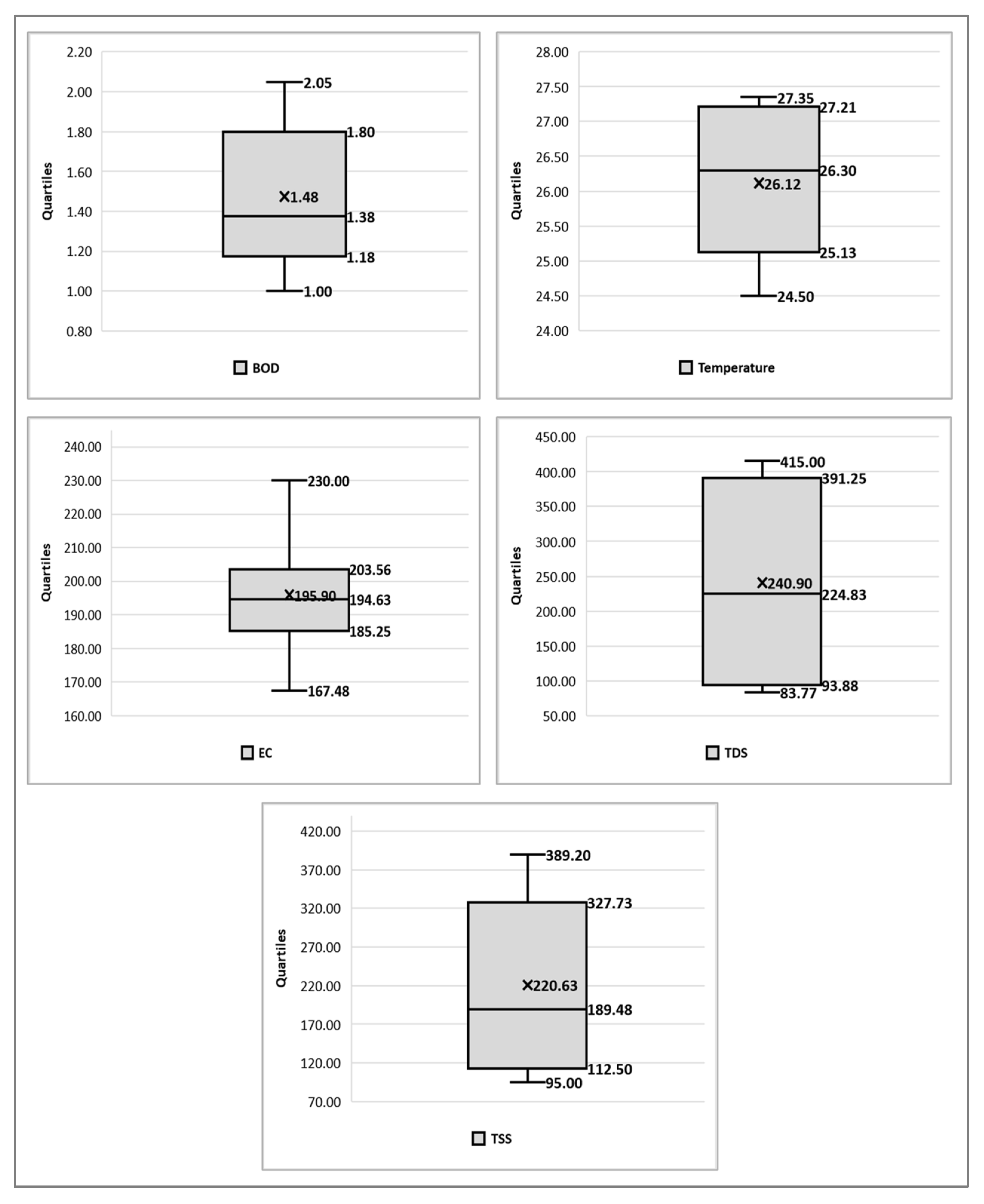
3.2. Descriptive Statistics of the Water Quality Parameters (WQPs)
3.3. LULC Change in the Buffer Zone
3.4. Descriptive Statistics of the LULC Types
3.5. Water Quality Relation with LULC
Correlation Analysis
3.6. Fulfillment of Distributional Assumption of Dependent Variables
3.7. Regression Analysis
4. Discussion
5. Conclusions
Author Contributions
Funding
Institutional Review Board Statement
Informed Consent Statement
Data Availability Statement
Conflicts of Interest
References
- Haygarth, P.M.; Jarvis, S.C. (Eds.) Agriculture, Hydrology, and Water Quality; CABI Publishing: Wallingford, UK, 2002. [Google Scholar]
- Zhou, T.; Wu, J.; Peng, S. Assessing the effects of landscape pattern on river water quality at multiple scales: A case study of the Dongjiang River watershed, China. Ecol. Indic. 2012, 23, 166–175. [Google Scholar] [CrossRef]
- Naher, T.; Chowdhury, M.A.I. Assessment and Correlation Analysis of Water Quality Parameters: A Case Study of Surma River at Sylhet Division, Bangladesh. Int. J. Eng. Trends Technol. 2017, 53, 126–136. [Google Scholar] [CrossRef]
- UNEP-IETC. Planning and Management of Lakes and Reservoirs: An Integrated Approach to Eutrophication; UNEP-IETC: Osaka, Japan, 1997; Volume 11. [Google Scholar]
- Bhat, S.; Jacobs, J.M.; Hatfield, K.; Prenger, J. Relationships between stream water chemistry and military land use in forested watersheds in Fort Benning, Georgia. Ecol. Indic. 2006, 6, 458–466. [Google Scholar] [CrossRef]
- Hopkins, R.L. Use of landscape pattern metrics and multiscale data in aquatic species distribution models: A case study of a freshwater mussel. Landsc. Ecol. 2009, 24, 943–955. [Google Scholar] [CrossRef]
- Bhaduri, B.; Harbor, J.O.N.; Engel, B.; Grove, M. Assessing watershed-scale, long-term hydrologic impacts of land-use change using a GIS-NPS model. Environ. Manag. 2000, 26, 643–658. [Google Scholar] [CrossRef]
- Kumar, P. Numerical quantification of current status quo and future prediction of water quality in eight Asian megacities: Challenges and opportunities for sustainable water management. Environ. Monit. Assess. 2019, 191, 319. [Google Scholar] [CrossRef]
- Zhu, C. Land Use/Land Cover Change and Its Hydrological Impacts from 1984 to 2010 in the Little River Watershed, Tennessee. 2011. Available online: https://trace.tennessee.edu/cgi/viewcontent.cgi?article=2228&context=utk_gradthes (accessed on 5 February 2020).
- Hossain, M.S. Impact of land use change on stream water quality: A review of modelling approaches. J. Res. Eng. Appl. Sci. 2017, 2. [Google Scholar]
- Griffith, J.A. Geographic techniques and recent applications of remote sensing to landscape-water quality studies. Water Air Soil Pollut. 2002, 138, 181–197. [Google Scholar] [CrossRef]
- Li, K.; Chi, G.; Wang, L.; Xie, Y.; Wang, X.; Fan, Z. Identifying the critical riparian buffer zone with the strongest linkage between landscape characteristics and surface water quality. Ecol. Indic. 2018, 93, 741–752. [Google Scholar] [CrossRef]
- Goldstein, R.M.; Carlisle, D.M.; Meador, M.R.; Short, T.M. Can basin land use effects on physical characteristics of streams be determined at broad geographic scales? Environ. Monit. Assess. 2007, 130, 495–510. [Google Scholar] [CrossRef]
- Pegram, G.C.; Görgens, A.H.M. A Guide to Non-Point Source Assessment: To Support Water Quality Management of Surface Water Resources in South Africa; Water Research Commission: Cape Town, South Africa, 2001. [Google Scholar]
- Uriarte, M.; Yackulic, C.B.; Lim, Y.; Arce-Nazario, J.A. Influence of land use on water quality in a tropical landscape: A multi-scale analysis. Landsc. Ecol. 2011, 26, 1151. [Google Scholar] [CrossRef] [Green Version]
- Hassan, Z.U.; Shah, J.A.; Kanth, T.A.; Pandit, A.K. Influence of land use/land cover on the water chemistry of Wular Lake in Kashmir Himalaya (India). Ecol. Process. 2015, 4, 9. [Google Scholar] [CrossRef] [Green Version]
- McMillan, S.K.; Tuttle, A.K.; Jennings, G.D.; Gardner, A. Influence of restoration age and riparian vegetation on reach-scale nutrient retention in restored urban streams. JAWRA J. Am. Water Resour. Assoc. 2014, 50, 626–638. [Google Scholar] [CrossRef]
- Giao, N.T.; Cong, N.V.; Nhien, H.T.H. Using Remote Sensing and Multivariate Statistics in Analyzing the Relationship between Land Use Pattern and Water Quality in Tien Giang Province, Vietnam. Water 2021, 13, 1093. [Google Scholar] [CrossRef]
- Li, S.; Peng, S.; Jin, B.; Zhou, J.; Li, Y. Multi-scale relationship between land use/land cover types and water quality in different pollution source areas in Fuxian Lake Basin. PeerJ 2019, 7, e7283. [Google Scholar] [CrossRef] [PubMed] [Green Version]
- Gu, Q.; Hu, H.; Ma, L.; Sheng, L.; Yang, S.; Zhang, X.; Zhang, M.; Zheng, K.; Chen, L. Characterizing the spatial variations of the relationship between land use and surface water quality using self-organizing map approach. Ecol. Indic. 2019, 102, 633–643. [Google Scholar] [CrossRef]
- Chen, D.; Elhadj, A.; Xu, H.; Xu, X.; Qiao, Z. A Study on the Relationship between Land Use Change and Water Quality of the Mitidja Watershed in Algeria Based on GIS and RS. Sustainability 2020, 12, 3510. [Google Scholar] [CrossRef]
- Ribeiro, K.H.; Favaretto, N.; Dieckow, J.; Souza, L.C.D.P.; Minella, J.P.G.; Almeida, L.D.; Ramos, M.R. Quality of surface water related to land use: A case study in a catchment with small farms and intensive vegetable crop production in southern Brazil. Rev. De Ciência Do Solo 2014, 38, 656–668. [Google Scholar] [CrossRef] [Green Version]
- Xiao, H.; Ji, W. Relating landscape characteristics to non-point source pollution in mine waste-located watersheds using geospatial techniques. J. Environ. Manag. 2007, 82, 111–119. [Google Scholar] [CrossRef] [PubMed]
- Yang, X. An assessment of landscape characteristics affecting estuarine nitrogen loading in an urban watershed. J. Environ. Manag. 2012, 94, 50–60. [Google Scholar] [CrossRef]
- Mitchell, M.G.; Bennett, E.M.; Gonzalez, A. Linking landscape connectivity and ecosystem service provision: Current knowledge and research gaps. Ecosystems 2013, 16, 894–908. [Google Scholar] [CrossRef]
- Shen, Z.; Hou, X.; Li, W.; Aini, G.; Chen, L.; Gong, Y. Impact of landscape pattern at multiple spatial scales on water quality: A case study in a typical urbanised watershed in China. Ecol. Indic. 2015, 48, 417–427. [Google Scholar] [CrossRef]
- Chowdhury, M.H. Surma River. 2015. Available online: http://en.banglapedia.org/index.php?title=Surma_River (accessed on 3 January 2020).
- American Public Health Association (APHA). Standard Methods for the Examination of Water and Wastewater; APHA: Washington DC, USA, 2005. [Google Scholar]
- Eastman, J.R. IDRISI Taiga Guide to GIS and Image Processing; Clark Labs Clark University: Worcester, MA, USA, 2009. [Google Scholar]
- Zhang, Z.; Zhang, F.; Du, J.; Chen, D.; Zhang, W. Impacts of land use at multiple buffer scales on seasonal water quality in a reticular river network area. PLoS ONE 2021, 16, e0244606. [Google Scholar] [CrossRef] [PubMed]
- Bateni, F.; Fakheran, S.; Soffianian, A. Assessment of land cover changes & water quality changes in the Zayandehroud River Basin between 1997–2008. Environ. Monit. Assess. 2013, 185, 10511–10519. [Google Scholar]
- Rawat, J.S.; Kumar, M. Monitoring land use/cover change using remote sensing and GIS techniques: A case study of Hawalbagh block, district Almora, Uttarakhand, India. Egypt. J. Remote Sens. Space Sci. 2015, 18, 77–84. [Google Scholar] [CrossRef] [Green Version]
- Giri, S.; Qiu, Z. Understanding the relationship of land uses and water quality in twenty first century: A review. J. Environ. Manag. 2016, 173, 41–48. [Google Scholar] [CrossRef] [Green Version]
- Camara, M.; Jamil, N.R.; Abdullah, A.F.B. Impact of land uses on water quality in Malaysia: A review. Ecol. Process. 2019, 8, 10. [Google Scholar] [CrossRef]
- Duran, M.; Suicmez, M. Utilization of both benthic macroinvertebrates and physicochemical parameters for evaluating water quality of the stream Cekerek (Tokat, Turkey). J. Environ. Biol. 2007, 28, 231–236. [Google Scholar]
- Chattopadhyay, S.; Rani, L.A.; Sangeetha, P.V. Water quality variations as linked to land use pattern: A case study in Chalakudy river basin, Kerala. Curr. Sci. 2005, 89, 2163–2169. [Google Scholar]
- Chauhan, A.; Verma, S.C. Impact of Agriculture, Urban and Forest Land Use on Physico-Chemical Properties of Water-A Review. Int. J. Curr. Microbiol. Appl. Sci. 2015, 4, 18–22. [Google Scholar]
- Tu, J. Spatial and temporal relationships between water quality and land use in northern Georgia, USA. J. Integr. Environ. Sci. 2011, 8, 151–170. [Google Scholar] [CrossRef]
- Tong, S.T.; Chen, W. Modeling the relationship between land use and surface water quality. J. Environ. Manag. 2002, 66, 377–393. [Google Scholar] [CrossRef] [PubMed]
- Xiao, R.; Wang, G.; Zhang, Q.; Zhang, Z. Multi-scale analysis of relationship between landscape pattern and urban river water quality in different seasons. Sci. Rep. 2016, 6, 25250. [Google Scholar] [CrossRef] [PubMed] [Green Version]
- Waters, E.R.; Morse, J.L.; Bettez, N.D.; Groffman, P.M. Differential carbon and nitrogen controls of denitrification in riparian zones and streams along an urban to exurban gradient. J. Environ. Qual. 2014, 43, 955–963. [Google Scholar] [CrossRef] [PubMed]
- Wang, X.; Zhang, F. Multi-scale analysis of the relationship between landscape patterns and a water quality index (WQI) based on a stepwise linear regression (SLR) and geographically weighted regression (GWR) in the Ebinur Lake oasis. Environ. Sci. Pollut. Res. 2018, 25, 7033–7048. [Google Scholar] [CrossRef]
- Li, Y.L.; Liu, K.; Li, L.; Xu, Z.X. Relationship of land use/cover on water quality in the Liao River basin, China. Procedia Environ. Sci. 2012, 13, 1484–1493. [Google Scholar] [CrossRef] [Green Version]





| Station No. | Station Zone | Location | Flow Direction | |
|---|---|---|---|---|
| Latitude | Longitude | |||
| ST-1 | Shahjalal Bridge | 24°52′54.408″ N | 91°52′42.78″ E | ![]() |
| ST-2 | Keane Bridge | 24°53′14.244″ N | 91°52′3.252″ E | |
| ST-3 | Kazir Bazar | 24°53′16.26″ N | 91°51′33.696″ E | |
| Parameter | DO (mg/L) | BOD5 (mg/L) | pH | Temp. (°C) | EC (μS/cm) | TDS (mg/L) | TSS (mg/L) | TS (mg/L) | |||||||||
|---|---|---|---|---|---|---|---|---|---|---|---|---|---|---|---|---|---|
| Season | Dry | Wet | Dry | Wet | Dry | Wet | Dry | Wet | Dry | Wet | Dry | Wet | Dry | Wet | Dry | Wet | |
| Station No. | ST-1 | 6 | 4.1 | 1.2 | 1.1 | 7.4 | 7.4 | 20 | 29 | 280 | 100 | 400 | 300 | 140 | 100 | 540 | 400 |
| ST-2 | 6.2 | 5.1 | 1.3 | 1.2 | 7.4 | 7.5 | 20 | 30 | 290 | 120 | 500 | 310 | 100 | 90 | 600 | 400 | |
| ST-3 | 6.3 | 6.2 | 1 | 1 | 7.4 | 5.6 | 21 | 30 | 300 | 160 | 400 | 430 | 110 | 110 | 510 | 540 | |
| Average | 6.2 | 5.1 | 1.2 | 1.1 | 7.4 | 6.8 | 20.3 | 29.6 | 290 | 126.6 | 433.3 | 346.6 | 116.6 | 100 | 550 | 446.6 | |
| Mean | 5.65 | 1.15 | 7.1 | 24.95 | 208.3 | 389.95 | 108.3 | 498.3 | |||||||||
| Parameter | DO (mg/L) | BOD5 (mg/L) | pH | Temp. (°C) | EC (μS/cm) | TDS (mg/L) | TSS (mg/L) | TS (mg/L) | |||||||||
|---|---|---|---|---|---|---|---|---|---|---|---|---|---|---|---|---|---|
| Season | Dry | Wet | Dry | Wet | Dry | Wet | Dry | Wet | Dry | Wet | Dry | Wet | Dry | Wet | Dry | Wet | |
| Station No. | ST-1 | 4.4 | 7.9 | 1 | 2.8 | 7.96 | 6.47 | 27.6 | 26.6 | 280.5 | 54.46 | 140.3 | 27.23 | 48.4 | 730 | 188.7 | 757.23 |
| ST-2 | 3.6 | 7.6 | 1 | 2 | 6.97 | 7.31 | 27.8 | 26.7 | 292.9 | 74.43 | 146.7 | 37.2 | 51.3 | 650 | 198 | 687.2 | |
| ST-3 | 3.7 | 11.6 | 0.9 | 3.2 | 7.14 | 6.94 | 27.9 | 26.8 | 322.7 | 75.81 | 161.4 | 37.91 | 47.9 | 470 | 209.3 | 507.91 | |
| Average | 3.9 | 9.03 | 0.97 | 2.67 | 7.36 | 6.91 | 27.77 | 26.7 | 298.7 | 68.23 | 149.47 | 34.11 | 49.2 | 616.67 | 198.67 | 650.78 | |
| Mean | 6.47 | 1.82 | 7.13 | 27.23 | 183.47 | 91.79 | 332.93 | 424.72 | |||||||||
| Water Quality Parameters | Minimum | Maximum | Mean | SD | ||||
|---|---|---|---|---|---|---|---|---|
| 2010 | 2019 | 2010 | 2019 | 2010 | 2019 | 2010 | 2019 | |
| DO (mg/L) | 5.05 | 5.60 | 6.25 | 7.65 | 5.65 | 6.47 | 0.60 | 1.06 |
| BOD5 (mg/L) | 1.00 | 1.50 | 1.25 | 2.05 | 1.13 | 1.82 | 0.13 | 0.28 |
| pH | 6.50 | 7.04 | 7.45 | 7.22 | 7.12 | 7.13 | 0.53 | 0.09 |
| temperature (°C) | 24.50 | 27.10 | 25.50 | 27.35 | 25.00 | 27.23 | 0.50 | 0.13 |
| EC (µS/cm) | 190.00 | 167.48 | 230.00 | 199.26 | 208.33 | 183.47 | 20.21 | 15.89 |
| TDS (mg/L) | 350.00 | 83.77 | 415.00 | 99.66 | 390.00 | 91.79 | 35.00 | 7.95 |
| TSS (mg/L) | 95.00 | 258.95 | 120.00 | 389.20 | 108.33 | 332.93 | 12.58 | 66.91 |
| TS (mg/L) | 470.00 | 358.61 | 525.00 | 472.97 | 498.33 | 424.72 | 27.54 | 59.24 |
| LULC Type | Sampling Station | |||||
|---|---|---|---|---|---|---|
| ST-1 | ST-2 | ST-3 | ||||
| 2010 (%) | 2019 (%) | 2010 (%) | 2019 (%) | 2010 (%) | 2019 (%) | |
| Waterbody | 6.3 | 7.5 | 5.4 | 6.9 | 5.8 | 7.1 |
| Built-up | 30.1 | 41.8 | 25.8 | 48.6 | 18.7 | 38.8 |
| Agricultural Land | 32.4 | 23.8 | 39.9 | 18.1 | 32.3 | 18.3 |
| Vegetation | 27.8 | 20.7 | 26.7 | 22.3 | 40.6 | 32.2 |
| Barren Land | 3.4 | 6.2 | 2.2 | 4.1 | 2.6 | 3.6 |
| LULC (in %) | Minimum | Maximum | Mean | SD | ||||
|---|---|---|---|---|---|---|---|---|
| 2010 | 2019 | 2010 | 2019 | 2010 | 2019 | 2010 | 2019 | |
| waterbody | 5.39 | 6.91 | 6.28 | 7.50 | 5.84 | 7.15 | 0.45 | 0.31 |
| built-up | 18.71 | 38.81 | 30.12 | 48.57 | 24.89 | 43.07 | 5.76 | 5.00 |
| agricultural land | 32.28 | 18.06 | 39.87 | 23.83 | 34.84 | 20.07 | 4.36 | 3.26 |
| vegetation | 26.72 | 20.67 | 40.62 | 32.26 | 31.73 | 25.10 | 7.72 | 6.26 |
| barren land | 2.17 | 3.58 | 3.36 | 6.18 | 2.70 | 4.62 | 0.61 | 1.37 |
| LULC Types | Waterbody | Built-Up | Agricultural Land | Vegetation | Barren Land | |
|---|---|---|---|---|---|---|
| WQPs | ||||||
| DO (mg/L) | 0.38 | 0.12 | −0.50 | 0.36 | 0.09 | |
| BOD5 (mg/L) | 0.82 | 0.72 | −0.74 | −0.42 | 0.66 | |
| pH | 0.03 | 0.34 | 0.18 | −0.76 | 0.15 | |
| temperature (°C) | 0.82 | 0.79 | −0.90 | −0.32 | 0.63 | |
| EC (µS/cm) | −0.74 | −0.82 | 0.47 | 0.92 | −0.84 | |
| TDS (mg/L) | −0.94 | −0.93 | 0.92 | 0.56 | −0.79 | |
| TSS (mg/L) | 0.92 | 0.90 | −0.83 | −0.64 | 0.89 | |
| TS (mg/L) | −0.61 | −0.63 | 0.75 | 0.16 | −0.25 | |
| Dependent Variable (WQPs) | Independent Variables (Land Usage Type) | Estimated Linear Regression Equations | Adjusted R2 |
|---|---|---|---|
| BOD5 | Waterbody | BOD5 = 0.737 + 0.594 × Y_2019 + 0.068 × W | 0.645 |
| temperature | waterbody, agricultural land | Temp = 29.097 + 2.567 × Y_2019 − 0.546 × W − 0.026 × A | 0.889 |
| EC | built-up, vegetation, barren land | EC = 205.887 + 12.714 × Y_2019 − 0.802 × Bu + 1.332 × V − 7.369 × Ba | 0.833 |
| TDS | waterbody, built-up, agricultural land | TDS = 726.425 − 184.029 × Y_2019 − 45.117 × W − 2.988 × Bu + 0.039 × A | 0.993 |
| TSS | waterbody, built-up, barren land | TSS = 309.915 + 172.824 × Y_2019 − 68.363 × W + 1.890 × Bu + 55.799 × Ba | 0.922 |
Publisher’s Note: MDPI stays neutral with regard to jurisdictional claims in published maps and institutional affiliations. |
© 2021 by the authors. Licensee MDPI, Basel, Switzerland. This article is an open access article distributed under the terms and conditions of the Creative Commons Attribution (CC BY) license (https://creativecommons.org/licenses/by/4.0/).
Share and Cite
Kadir, A.; Ahmed, Z.; Uddin, M.M.; Xie, Z.; Kumar, P. Integrated Approach to Quantify the Impact of Land Use and Land Cover Changes on Water Quality of Surma River, Sylhet, Bangladesh. Water 2022, 14, 17. https://doi.org/10.3390/w14010017
Kadir A, Ahmed Z, Uddin MM, Xie Z, Kumar P. Integrated Approach to Quantify the Impact of Land Use and Land Cover Changes on Water Quality of Surma River, Sylhet, Bangladesh. Water. 2022; 14(1):17. https://doi.org/10.3390/w14010017
Chicago/Turabian StyleKadir, Abdul, Zia Ahmed, Md. Misbah Uddin, Zhixiao Xie, and Pankaj Kumar. 2022. "Integrated Approach to Quantify the Impact of Land Use and Land Cover Changes on Water Quality of Surma River, Sylhet, Bangladesh" Water 14, no. 1: 17. https://doi.org/10.3390/w14010017
APA StyleKadir, A., Ahmed, Z., Uddin, M. M., Xie, Z., & Kumar, P. (2022). Integrated Approach to Quantify the Impact of Land Use and Land Cover Changes on Water Quality of Surma River, Sylhet, Bangladesh. Water, 14(1), 17. https://doi.org/10.3390/w14010017


