Impact of the Pumping Regime on Electricity Cost Savings in Urban Water Supply System
Abstract
1. Introduction
2. Review of Literature
3. Modeling and Research Methodology
3.1. Study Area
3.2. Input Data
3.3. Calculation of Energy Cost
3.4. Genetic Algorithm Optimization (GAO)
3.5. Target Function
- Limitation of the available pumps and downstream demand: This limitation means that sums of the pumped discharges by each pump must be equal to total discharge on that day. This limitation is shown in Equation (3):where is the discharge through pump number (i) at the hour (t) at the station () and is total discharge for 24 h a day.
- Limitation related to reservoirs: Given the permissible level of water in the reservoir, the water level in the reservoir is within a certain range. This range has been expressed in Equations (4) and (5).where is the height of water in the reservoir per hour in meters, and , respectively, are the maximum and minimum permissible height of the water inside the reservoir in meters. The mentioned limitation has been defined in a genetic algorithm as penalty functions to achieve the most optimal possible state.
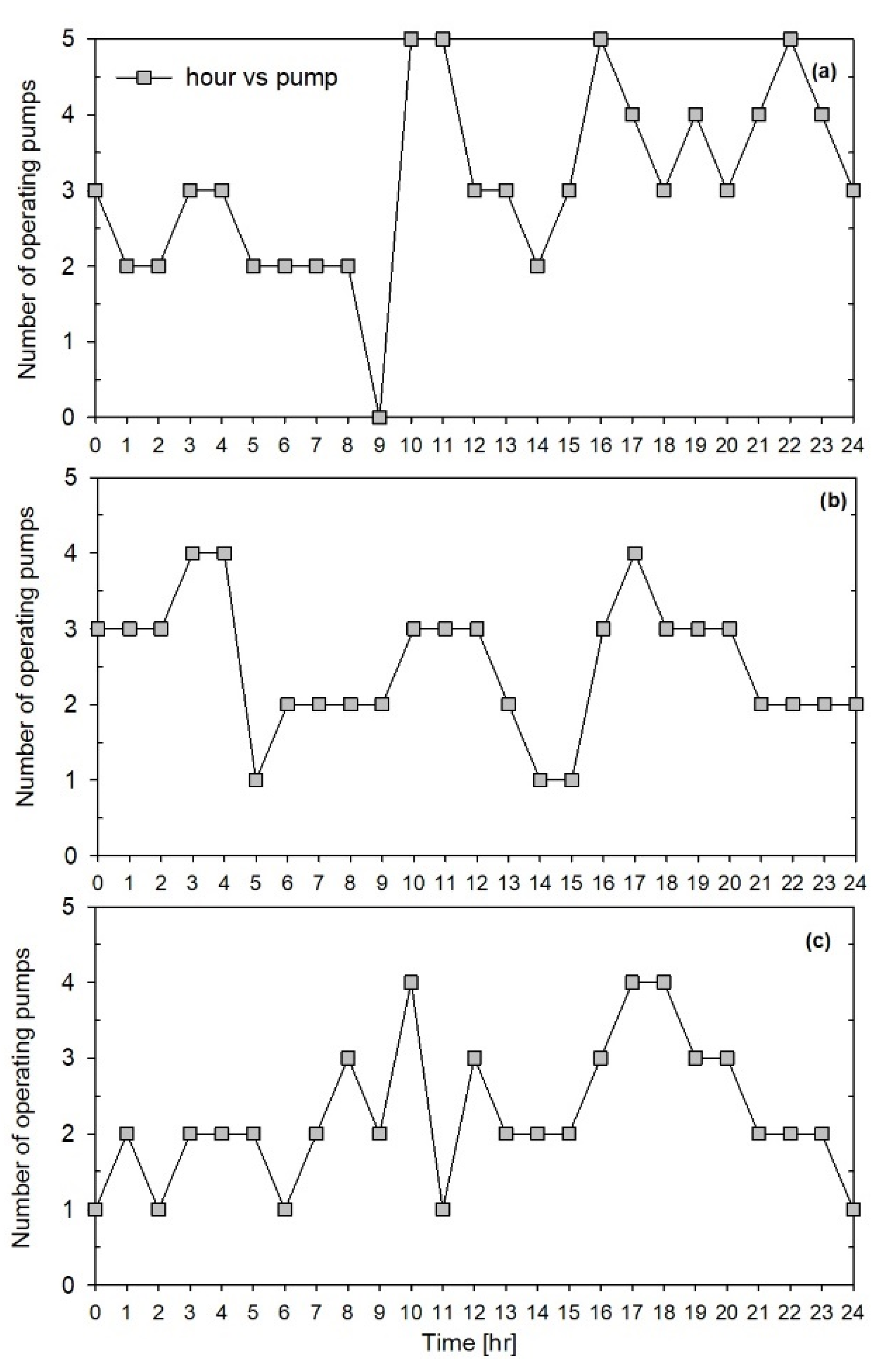
4. Results and Discussion
5. Conclusions
Author Contributions
Funding
Institutional Review Board Statement
Informed Consent Statement
Data Availability Statement
Acknowledgments
Conflicts of Interest
References
- Hussein, H.; Conker, A.; Grandi, M. Small is beautiful but not trendy: Understanding the allure of big hydraulic works in the Euphrates-Tigris and Nile waterscapes. Mediterr. Politics 2020, 1–24. [Google Scholar] [CrossRef]
- Martin-Candilejo, A.; Santillán, D.; Iglesias, A.; Garrote, L. Optimization of the Design of Water Distribution Systems for Variable Pumping Flow Rates. Water 2020, 12, 359. [Google Scholar] [CrossRef]
- Bene, J.G.; Selek, I.; Hős, C. Neutral Search Technique for Short-Term Pump Schedule Optimization. J. Water Resour. Plan. Manag. 2010, 136, 133–137. [Google Scholar] [CrossRef]
- Oikonomou, K.; Parvania, M.; Khatami, R. Optimal Demand Response Scheduling for Water Distribution Systems. IEEE Trans. Ind. Inform. 2018, 14, 5112–5122. [Google Scholar] [CrossRef]
- Filipe, J.; Bessa, R.J.; Reis, M.; Alves, R.; Póvoa, P. Data-driven predictive energy optimization in a wastewater pumping station. Appl. Energy 2019, 252, 113423. [Google Scholar] [CrossRef]
- Jowitt, P.W.; Germanopoulos, G. Optimal Pump Scheduling in Water-Supply Networks. J. Water Resour. Plan. Manag. 1992, 118, 406–422. [Google Scholar] [CrossRef]
- Yu, G.; Powell, R.S.; Sterling, M.J.H. Optimized pump scheduling in water distribution systems. J. Optim. Theory Appl. 1994, 83, 463–488. [Google Scholar] [CrossRef]
- Lansey, K.E.; Awumah, K. Optimal Pump Operations Considering Pump Switches. J. Water Resour. Plan. Manag. 1994, 120, 17–35. [Google Scholar] [CrossRef]
- Ormsbee, L.E.; Reddy, S.L. Nonlinear Heuristic for Pump Operations. J. Water Resour. Plan. Manag. 1995, 121, 302–309. [Google Scholar] [CrossRef]
- Savić, D.A.; Walters, G.A.; Schwab, M. Multiobjective genetic algorithms for pump scheduling in water supply. Comput. Vis. 1997, 227–235. [Google Scholar] [CrossRef]
- Baltar, A.M.; Fontane, D.G. Use of Multiobjective Particle Swarm Optimization in Water Resources Management. J. Water Resour. Plan. Manag. 2008, 134, 257–265. [Google Scholar] [CrossRef]
- Ostfeld, A.; Tubaltzev, A. Ant Colony Optimization for Least-Cost Design and Operation of Pumping Water Distribution Systems. J. Water Resour. Plan. Manag. 2008, 134, 107–118. [Google Scholar] [CrossRef]
- Maghdoori, A.; Khodashenas, S.R.; Pezeshki, A.; Dadar, S. Optimization of Tailraces by Ant Colony Algorithm. Int. J. Adv. Sci. Technol. 2020, 29, 5384–5407. [Google Scholar]
- López-Ibáñez, M.; Prasad, T.D.; Paechter, B. Representations and Evolutionary Operators for the Scheduling of Pump Operations in Water Distribution Networks. Evol. Comput. 2011, 19, 429–467. [Google Scholar] [CrossRef]
- Raucher, R.S.; Cromwell, J.E., III; Cooney, K.; Thompson, P.; Sullivan, L.; Carrico, B.; MacPhee, M.; Wilkinson, R. Risks and Benefits of Energy Management for Drinking Water Utilities; Report; AWWA Research Foundation: Denver, CO, USA; California Energy Commission: Sacramento, CA, USA, 2008; ISBN 978-1-60573-000-4. [Google Scholar]
- Zeitoun, M.; Messerschmid, C.; Attili, S. Asymmetric Abstraction and Allocation: The Israeli-Palestinian Water Pumping Record. Ground Water 2009, 47, 146–160. [Google Scholar] [CrossRef] [PubMed]
- Jamali Jaghdani, T.; Kvartiuk, V. The Energy-Water Nexus in Iran: The Political Economy of Energy Subsidies for Groundwater Pumping. In A Nexus Approach for Sustainable Development; Hülsmann, S., Jampani, M., Eds.; Springer: Cham, Switzerland, 2021. [Google Scholar]
- Liptrot, L.; Hussein, H. Between regulation and targeted expropriation: Rural-to-urban groundwater reallocation in Jordan. Water Altern. 2020, 13, 864–885. [Google Scholar]
- Sovacool, B.K.; Sovacool, K.E. Identifying future electricity–water tradeoffs in the United States. Energy Policy 2009, 37, 2763–2773. [Google Scholar] [CrossRef]
- Mohammadi, M. Optimization of Energy Consumption at Water Pumping Stations. Fourth National Power Promotion Network with the Approach to Removing Production Barriers under Sanctions; Sharif University of Technology Studies Center: Tehran, Iran, 2012; pp. 3–9. (In Persian) [Google Scholar]
- Rajabi, G.H.; Mobini, B.A. Management of Energy Consumption in the Water and Sewage System. In Proceedings of the Third International Energy Conference, Tehran, Iran, 1 May 2002; Available online: https://civilica.com/doc/17924/ (accessed on 10 January 2021). (In Persian).
- Vahedian, J.; Abdollahi, A.; RashidiNejad, M. Investigation of Optimization of Pumping Wells in Kerman Province in Power Consumption Management. In Proceedings of the 30th International Conference of Electricity, Tehran, Iran, 2 November 2015; Available online: https://www.sid.ir/fa/seminar/ViewPaper.aspx?ID=79180 (accessed on 10 January 2021). (In Persian).
- Saghafi, S.; Mehrdadi, N.; Nabi Bidhendi, G.; AminiRad, H. Determine the electric energy consumed in different processes of the Nasir Abad industrial city’s refinery with COD removal approach. J. Ecol. 2014, 1, 19–31. [Google Scholar]
- Dutta, G.; Mitra, K. A literature review on dynamic pricing of electricity. J. Oper. Res. Soc. 2017, 68, 1131–1145. [Google Scholar] [CrossRef]
- Garrick, D.; De Stefano, L.; Yu, W.; Jorgensen, I.; O’Donnell, E.; Turley, L.; Aguilar-Barajas, I.; Dai, X.; Leão, R.D.S.; Punjabi, B.; et al. Rural water for thirsty cities: A systematic review of water reallocation from rural to urban regions. Environ. Res. Lett. 2019, 14, 043003. [Google Scholar] [CrossRef]
- Zydney, J.M.; Hai-Jew, S.; Renninger, K.A.; List, A.; Hardy, I.; Koerber, S.; Lattal, K.A.; Farrell, J.M.; Fretwell, H.; Reiss, N.; et al. Simulation Model. Encycl. Sci. Learn. 2012, 3075. [Google Scholar] [CrossRef]
- Brion, L.M.; Mays, L.W. Methodology for Optimal Operation of Pumping Stations in Water Distribution Systems. J. Hydraul. Eng. 1991, 117, 1551–1569. [Google Scholar] [CrossRef]
- Little, K.W.; McCrodden, B.J. Minimization of Raw Water Pumping Costs Using MILP. J. Water Resour. Plan. Manag. 1989, 115, 511–522. [Google Scholar] [CrossRef]
- Mala-Jetmarova, H.; Sultanova, N.; Savic, D. Lost in optimisation of water distribution systems? A literature review of system operation. Environ. Model. Softw. 2017, 93, 209–254. [Google Scholar] [CrossRef]
- Puleo, V.; Morley, M.; Freni, G.; Savic, D. Multi-stage Linear Programming Optimization for Pump Scheduling. Procedia Eng. 2014, 70, 1378–1385. [Google Scholar] [CrossRef]
- Celi, C.L.; Iglesias-Rey, P.; Solano, F.M. Energy Optimization of Supplied Flows from Multiple Pumping Stations in Water Distributions Networks. Procedia Eng. 2017, 186, 93–100. [Google Scholar] [CrossRef]
- Wang, Y.; Puig, V.; Cembrano, G. Non-linear economic model predictive control of water distribution networks. J. Process Control 2017, 56, 23–34. [Google Scholar] [CrossRef]
- Zhuan, X.; Xia, X. Optimal operation scheduling of a pumping station with multiple pumps. Appl. Energy 2013, 104, 250–257. [Google Scholar] [CrossRef]
- Zhuan, X.; Li, W.; Yang, F. Optimal Operation Scheduling of a Pumping Station in East Route of South-to-north Water Diversion Project. Energy Procedia 2017, 105, 3031–3037. [Google Scholar] [CrossRef]
- Wang, H.; Lei, X.; Khu, S.-T.; Song, L. Optimization of Pump Start-Up Depth in Drainage Pumping Station Based on SWMM and PSO. Water 2019, 11, 1002. [Google Scholar] [CrossRef]
- Rasoulzadeh-Gharibdousti, S.; Haddad, O.B.; Mariño, M.A. Optimal design and operation of pumping stations using NLP-GA. Proc. Inst. Civ. Eng. Water Manag. 2011, 164, 163–171. [Google Scholar] [CrossRef]
- Mackle, G. Application of genetic algorithms to pump scheduling for water supply. In Proceedings of the 1st International Conference on Genetic Algorithms in Engineering Systems: Innovations and Applications (GALESIA), Sheffield, UK, 12–14 September 1995; Institution of Engineering and Technology (IET): Edinburgh, UK, 1995; Volume 1995, pp. 400–405. [Google Scholar]
- Moradi-Jalal, M.; Karney, B.W. Optimal design and operation of irrigation pumping stations using mathematical programming and Genetic Algorithm (GA). J. Hydraul. Res. 2008, 46, 237–246. [Google Scholar] [CrossRef]
- Xu, X.; Yan, Y.; Ma, Q. Study on Operation Control Strategy of Adjacent Pump Stations in Long Distance Multistage Pumping Station Control System; IEEE: Piscataway, NJ, USA, 2018; Volume 170, pp. 382–387. [Google Scholar]
- Sajjadi, S.A.; Ebrahimi, A.; Kianmehr, M.; Salari, S.; Hashemi, M.; Zanganeh, S.H.; Chavoshani, A. Modeling Environmental UV and Gamma Radiations for Health Protection; Health Scope: Teheran, Iran; IEEE: Piscataway, NJ, USA, 2018; Volume 7, p. 14061. [Google Scholar] [CrossRef]
- Dadar, S.; Alamatian, E. Investigating the Impact of Reservoir Volume Change on Reduction of Electricity Consumption Cost in Gonabad Pumping Stations. World J. Environ. Biosci. 2020, 9, 21–32. [Google Scholar]
- Kramer, O. Studies in Computational Intelligence. Genetic Algorithm Essentials; IEEE: Piscataway, NJ, USA, 2017; p. 679. ISBN 978-3-319-52155-8. [Google Scholar]
- Hashemi, S.S.; Tabesh, M.; Ataeekia, B. Ant-colony optimization of pumping schedule to minimize the energy cost using variable-speed pumps in water distribution networks. Urban Water J. 2013, 11, 335–347. [Google Scholar] [CrossRef]
- Capodaglio, A.; Olsson, G. Energy Issues in Sustainable Urban Wastewater Management: Use, Demand Reduction and Recovery in the Urban Water Cycle. Sustainability 2019, 12, 266. [Google Scholar] [CrossRef]












| Place of Establishment | UTM | Height (m) | Type of Reservoir | Function |
|---|---|---|---|---|
| Twin reservoir | 653345 300230 | 1128 | Ground reservoir | Storage |
| Low Consumption | High Consumption | Medium Consumption | Low Consumption | |
|---|---|---|---|---|
| 11 p.m. to 7 a.m. | 7 p.m. to 11 p.m. | 7 a.m. to 7 p.m. | 11 p.m. to 7 a.m. | First 6 months of the year |
| 10 p.m. to 6 a.m. | 6 p.m. to 10 p.m. | 6 a.m. to 6 p.m. | 10 p.m. to 6 a.m. | Second 6 months of the year |
| 106.5 | 426 | 213 | 106.5 | Price per 1 kWh in Rials |
| Hours Pumps | 1 | 2 | 3 | 4 | 5 | 6 | 7 | 8 | 9 | 10 | 11 | 12 | 13 | 14 | 15 | 16 | 17 | 18 | 19 | 20 | 21 | 22 | 23 | 24 |
|---|---|---|---|---|---|---|---|---|---|---|---|---|---|---|---|---|---|---|---|---|---|---|---|---|
| Num1 | 1 | 0 | 1 | 1 | 1 | 1 | 0 | 0 | 1 | 0 | 0 | 1 | 0 | 1 | 1 | 0 | 1 | 1 | 1 | 1 | 0 | 0 | 1 | 0 |
| Num2 | 0 | 0 | 1 | 1 | 1 | 1 | 0 | 1 | 1 | 1 | 0 | 0 | 1 | 0 | 0 | 0 | 0 | 1 | 0 | 1 | 1 | 1 | 0 | 0 |
| Num3 | 1 | 0 | 0 | 0 | 1 | 1 | 1 | 1 | 0 | 0 | 1 | 1 | 1 | 0 | 1 | 1 | 1 | 1 | 1 | 1 | 0 | 0 | 1 | 0 |
| Num4 | 0 | 1 | 1 | 1 | 1 | 0 | 0 | 0 | 1 | 1 | 0 | 0 | 1 | 0 | 1 | 1 | 1 | 0 | 0 | 0 | 1 | 1 | 1 | 1 |
| Num5 | 1 | 1 | 1 | 1 | 0 | 0 | 1 | 1 | 1 | 1 | 1 | 1 | 1 | 1 | 0 | 0 | 0 | 1 | 1 | 0 | 1 | 1 | 0 | 1 |
| Num6 | 1 | 1 | 1 | 0 | 0 | 1 | 0 | 1 | 1 | 1 | 0 | 0 | 0 | 1 | 1 | 1 | 1 | 0 | 1 | 1 | 1 | 1 | 1 | 1 |
| Num7 | 1 | 0 | 0 | 0 | 1 | 1 | 1 | 0 | 0 | 1 | 1 | 1 | 1 | 1 | 1 | 1 | 1 | 1 | 0 | 1 | 1 | 1 | 1 | 1 |
Publisher’s Note: MDPI stays neutral with regard to jurisdictional claims in published maps and institutional affiliations. |
© 2021 by the authors. Licensee MDPI, Basel, Switzerland. This article is an open access article distributed under the terms and conditions of the Creative Commons Attribution (CC BY) license (https://creativecommons.org/licenses/by/4.0/).
Share and Cite
Dadar, S.; Đurin, B.; Alamatian, E.; Plantak, L. Impact of the Pumping Regime on Electricity Cost Savings in Urban Water Supply System. Water 2021, 13, 1141. https://doi.org/10.3390/w13091141
Dadar S, Đurin B, Alamatian E, Plantak L. Impact of the Pumping Regime on Electricity Cost Savings in Urban Water Supply System. Water. 2021; 13(9):1141. https://doi.org/10.3390/w13091141
Chicago/Turabian StyleDadar, Sara, Bojan Đurin, Ebrahim Alamatian, and Lucija Plantak. 2021. "Impact of the Pumping Regime on Electricity Cost Savings in Urban Water Supply System" Water 13, no. 9: 1141. https://doi.org/10.3390/w13091141
APA StyleDadar, S., Đurin, B., Alamatian, E., & Plantak, L. (2021). Impact of the Pumping Regime on Electricity Cost Savings in Urban Water Supply System. Water, 13(9), 1141. https://doi.org/10.3390/w13091141

