Incorporating Stakeholder Knowledge into a Complex Stock Assessment Model: The Case of Eel Recruitment
Abstract
1. Introduction
2. Materials and Methods
2.1. GEREM Model: Assumptions and Data Requirements
2.2. Stakeholder Involvement in the SUDOANG Project
- A first presentation/workshop of the model was made during the kick-off meeting (30 May–1 June 2018) to present the model, discuss available time series, and explain the underlying assumptions of the model. Then, each participant was asked to draw a map showing zones where recruitment was thought to be homogeneous in space and time (supplementary material—Figure S1).
- A workshop was then organised (15–16 November 2018) to discuss and validate the recruitment zone definition and plan an exercise to collect information from the participants regarding the exploitation rates of commercial fisheries. The participants were each given a sheet with the main glass eel fisheries and asked to provide a value and a range.
- A document summarising the main findings about the work on exploitation rates was sent a few months later, and an online questionnaire was sent to all participants of the project to re-run the exercise.
- The results regarding the opinions on exploitation rates were presented in the second annual meeting (19–21 June 2019).
- These results were discussed and validated during the following workshop (2–3 December 2019).
- An online video (because of the COVID crisis) was made available on YouTube (https://www.youtube.com/watch?v=6KlhH6FDmBM, accessed on 19 April 2021) and an online questionnaire was used to obtain feedback from stakeholders. A final popularisation video was made available on YouTube (https://www.youtube.com/watch?v=1P6ae7HGMcQ&t=3s, accessed on 19 April 2021) to explain the rationales of the model in a nutshell.
2.3. Available Data Series
2.4. Definition of Model Zones Using Questionnaires and Consistency with Environmental Conditions
- A plot of experts in which each point stands for an expert and the distance between points stands for the distance between the opinions of the experts. This diagram is not produced here, as many stakeholders remained anonymous.
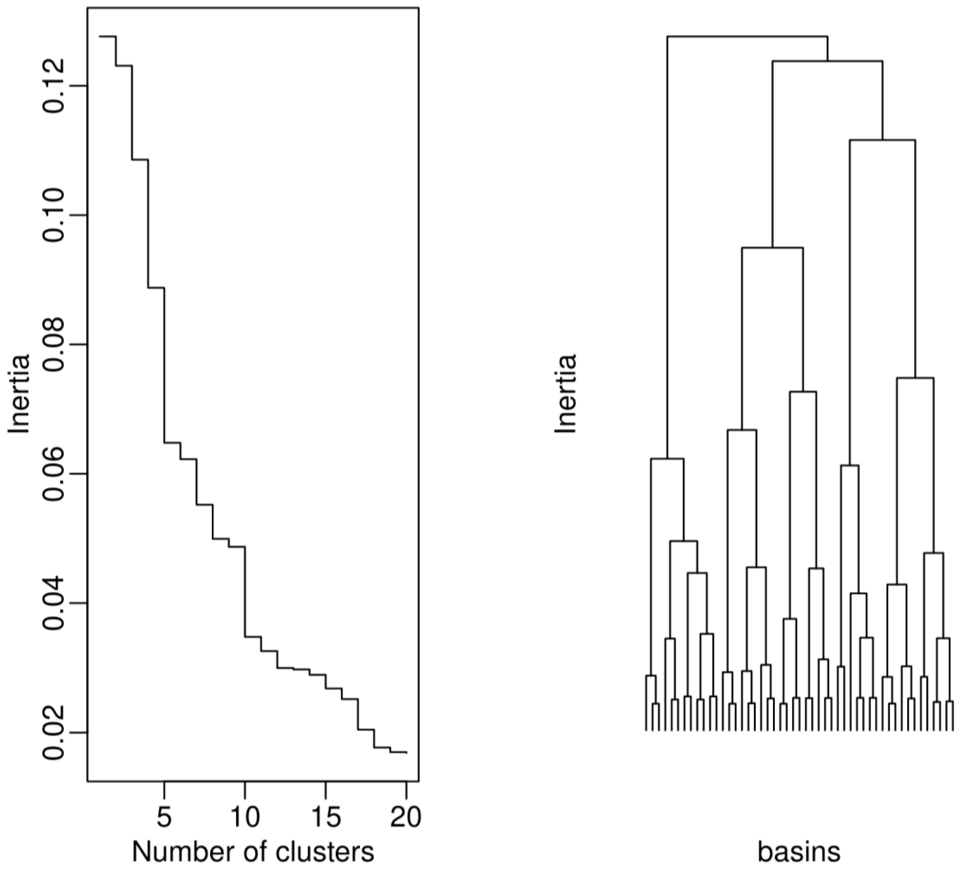
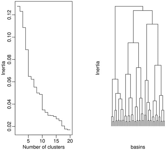
- A plot of river basins on which each point stands for a river basin and two points are close when most experts thought they should be in the same zone. For simplicity, only the first two components were plotted. However, hierarchical clustering was carried out to classify river basins based on their distance using all the coordinates of all dimensions from the PCA.
- Continental environmental conditions, including average air temperature and rainfall from 1950–2000 (source: WORLDCLIM [37]).
- Marine conditions (averaged from 2006 to 2016 for the period from October to April, corresponding to the main period of recruitment [38]), including the average sea surface temperatures (source: IFREMER), average salinity (source: IBI MFC), average concentration of Chlorophyl a (source: ACRI-ST) within a 100 km buffer around the outlet, and the distance to the 150 m isobath as a proxy of the local continental shelf width.
2.5. Construction of Priors on Glass Eel Fishery Exploitation Rates
2.5.1. Design of the Questionnaires
2.5.2. Types of Priors
2.6. Running the Model
2.7. Model Fitting
3. Results
3.1. Zone Definition
3.2. Opinions on the Exploitation Rates and Resulting Priors
4. Discussion
4.1. Involving Stakeholders in Model Construction
4.2. DISTATIS and the Construction of Stakeholder-Based Priors: Two Relevant Methods Used to Collect Expert Opinion
4.3. The Effect of Incorporating Stakeholder Knowledge
4.4. Towards the Comparison of Recruitment and Escapement
Supplementary Materials
Author Contributions
Funding
Institutional Review Board Statement
Informed Consent Statement
Data Availability Statement
Acknowledgments
Conflicts of Interest
References
- Smith, M.E. Chaos in Fisheries Management. Marit. Anthropol. Stud. 1990, 3, 1–13. [Google Scholar]
- de Vos, B.I.; van Tatenhove, J.P.M. Trust Relationships Between Fishers and Government: New Challenges for the Co-Management Arrangements in the Dutch Flatfish Industry. Mar. Policy 2011, 35, 218–225. [Google Scholar] [CrossRef]
- Glenn, H.; Tingley, D.; Sánchez Maroõ, S.; Holm, D.; Kell, L.; Padda, G.; Runar Edvardsson, I.; Asmundsson, J.; Conides, A.; Kapiris, K.; et al. Trust in the Fisheries Scientific Community. Mar. Policy 2012, 36, 54–72. [Google Scholar] [CrossRef]
- Planque, B.; Mullon, C. Modelling Chance and Necessity in Natural Systems. ICES J. Mar. Sci. 2020, 77, 1573–1588. [Google Scholar] [CrossRef]
- Glaser, S.M.; Fogarty, M.J.; Liu, H.; Altman, I.; Hsieh, C.-H.; Kaufman, L.; MacCall, A.D.; Rosenberg, A.A.; Ye, H.; Sugihara, G. Complex Dynamics May Limit Prediction in Marine Fisheries. Fish Fish. 2014, 15, 616–633. [Google Scholar] [CrossRef]
- Wilson, J.A.; Townsend, R.; Kelban, P.; McKay, S.; French, J. Managing Unpredictable Resources: Traditional Policies Applied to Chaotic Populations. Ocean Shorel. Manag. 1990, 13, 179–197. [Google Scholar] [CrossRef]
- Röckmann, C.; Ulrich, C.; Dreyer, M.; Bell, E.; Borodzicz, E.; Haapasaari, P.; Hauge, K.H.; Howell, D.; Mäntyniemi, S.; Miller, D.; et al. The Added Value of Participatory Modelling in Fisheries Management—What Has Been Learnt? Mar. Policy 2012, 36, 1072–1085. [Google Scholar] [CrossRef]
- Planque, B.; Mullon, C.; Arneberg, P.; Eide, A.; Fromentin, J.-M.; Heymans, J.J.; Hoel, A.H.; Niiranen, S.; Ottersen, G.; Sandø, A.B.; et al. A Participatory Scenario Method to Explore the Future of Marine Social-Ecological Systems. Fish Fish. 2019, 20, 434–451. [Google Scholar] [CrossRef]
- Johannes, R.E.; Freeman, M.M.R.; Hamilton, R.J. Ignore Fishers’ Knowledge and Miss the Boat. Fish Fish. 2000, 1, 257–271. [Google Scholar] [CrossRef]
- Pita, P.; Fernández-Vidal, D.; García-Galdo, J.; Muíño, R. The Use of the Traditional Ecological Knowledge of Fishermen, Cost-Effective Tools and Participatory Models in Artisanal Fisheries: Towards the Co-Management of Common Octopus in Galicia (NW Spain). Fish. Res. 2016, 178, 4–12. [Google Scholar] [CrossRef]
- Pita, C.; Pierce, G.J.; Theodossiou, I. Stakeholders’ Participation in the Fisheries Management Decision-Making Process: Fishers’ Perceptions of Participation. Mar. Policy 2010, 34, 1093–1102. [Google Scholar] [CrossRef]
- Lehuta, S.; Girardin, R.; Mah’evas, S.; Travers-Trolet, M.; Vermard, Y. Reconciling Complex System Models and Fisheries Advice: Practical Examples and Leads. Aquat. Living Resour. 2016, 29, 208. [Google Scholar] [CrossRef]
- Schmidt, J. Breeding Places and Migrations of the Eel. Nature 1923, 111, 51–54. [Google Scholar] [CrossRef]
- Tesch, F.W. The Eel; Blackwell Publishing: Oxford, UK, 2003. [Google Scholar]
- Als, T.D.; Hansen, M.M.; Maes, G.E.; Castonguay, M.; Riemann, L.; Aarestrup, K.; Munk, P.; Sparholt, H.; Hanel, R.; Bernatchez, L. All Roads Lead to Home: Panmixia of European Eel in the Sargasso Sea. Mol. Ecol. 2011, 20, 1333–1346. [Google Scholar] [CrossRef] [PubMed]
- Dekker, W. The Fractal Geometry of the European Eel Stock. ICES J. Mar. Sci. 2000, 57, 109–121. [Google Scholar] [CrossRef]
- Drouineau, H.; Rigaud, C.; Daverat, F.; Lambert, P. Eveel (Evolutionary Ecology Based Model for Eel): A Model to Explore the Role of Phenotypic Plasticity as an Adaptive Response of Three Temperate Eels (Anguilla Anguilla, A. Japonica and A. Rostrata) to Spatially Structured Environments. Can. J. Fish. Aquat. Sci. 2014, 71, 1561–1571. [Google Scholar] [CrossRef]
- Kettle, A.J.; Asbjørn Vøllestad, L.; Wibig, J. Where Once the Eel and the Elephant Were Together: Decline of the European Eel Because of Changing Hydrology in Southwest Europe and Northwest Africa? Fish Fish. 2011, 12, 380–411. [Google Scholar] [CrossRef]
- Vøllestad, L.A. Geographic Variation in Age and Length at Metamorphosis of Maturing European Eel—Environmental Effects and Phenotypic Plasticity. J. Anim. Ecol. 1992, 61, 41–48. [Google Scholar] [CrossRef]
- Dekker, W. Management of the Eel Is Slipping Through Our Hands! Distribute Control and Orchestrate National Protection. ICES J. Mar. Sci. 2016, 73, 2442–2452. [Google Scholar] [CrossRef]
- Bornarel, V.; Lambert, P.; Briand, C.; Beaulaton, L.; Antunes, C.; Belpaire, C.; Cicotti, E.; Evans, D.; Diaz, E.; Diserud, O.H.; et al. Modelling the Recruitment of European Eel (Anguilla Anguilla) Throughout Its European Range. ICES J. Mar. Sci. 2018, 75, 541–552. [Google Scholar] [CrossRef]
- Dekker, W. Did Lack of Spawners Cause the Collapse of the European Eel, Anguilla Anguilla? Fish Manag. Ecol. 2003, 10, 365–376. [Google Scholar] [CrossRef]
- ICES Joint EIFAAC/ICES/GFCM Working Group on Eels (WGEEL); ICES Scientific Reports Issue 50; ICES: Bergen, Norway, 2019; Volume 1, p. 177.
- Pike, C.; Crook, V.; Gollock, M. Anguilla anguilla. In The IUCN Red List of Threatened Species 2020: E.T60344A152845178. 2020. Available online: http://www.iucnredlist.org (accessed on 19 April 2021).
- Drouineau, H.; Durif, C.; Castonguay, M.; Mateo, M.; Rochard, E.; Verreault, G.; Yokouchi, K.; Lambert, P. Freshwater Eels: A Symbol of the Effects of Global Change. Fish Fish. 2018, 19, 903–930. [Google Scholar] [CrossRef]
- Feunteun, E. Management and Restoration of European Eel Population (Anguilla Anguilla): An Impossible Bargain. Ecol. Eng. 2002, 18, 575–591. [Google Scholar] [CrossRef]
- Briand, C.; Chapon, P.M.; Beaulaton, L.; Drouineau, H.; Lambert, P. Eel Density Analysis (EDA 2.2.1) Escapement of Silver Eels (Anguilla anguilla) from French Rivers—Report 2018; EPTB Vilaine–Agence Française de la Biodiversité-Inra-Irstea: La Roche-Bernard, France, 2018. [Google Scholar]
- Drouineau, H.; Beaulaton, L.; Lambert, P.; Briand, C. GEREM (Glass-Eel Recruitment Estimation Model): A Model to Estimate Glass-Eel Recruitment at Different Spatial Scales. Fish. Res. 2016, 174, 68–80. [Google Scholar] [CrossRef]
- Dekker, W. Thematic Overview. In Monitoring of Glass Eel Recruitment; Report C007/02-WD; RIVO-Netherlands Institute for Fisheries Research: Ijmuiden, The Netherlands, 2002; p. 256. [Google Scholar]
- Aranburu, A.; Diaz, E.; Briand, C. Glass Eel Recruitment and Exploitation in a South European Estuary (Oria Bay of Biscay). ICES J. Mar. Sci. 2016, 73, 111–121. [Google Scholar] [CrossRef]
- Beaulaton, L.; Briand, C. Effect of Management Measures on Glass Eel Escapement. ICES J. Mar. Sci. 2007, 64, 1402–1413. [Google Scholar] [CrossRef]
- Bru, N.; Prouzet, P.; Lejeune, M. Daily and Seasonal Estimates of the Recruitment and Biomass of Glass Eels Runs (Anguilla Anguilla) and Exploitation Rates in the Adour Open Estuary (Southwestern France). Aquat. Living Resour. 2009, 22, 509–523. [Google Scholar] [CrossRef]
- de Catalunya, G. Plan de Gestión de La Anguila Europea—Cataluńa; Generalitat de Catalunya: Barcelona, Spain, 2012.
- Abdi, H.; O’Toole, A.J.; Valentin, D.; Edelman, B. DISTATIS: The Analysis of Multiple Distance Matrices. In Proceedings of the IEEE Conference on Computer Vision and Pattern Recognition, CVPR Workshops 2005, San Diego, CA, USA, 21–23 September 2005; p. 42. [Google Scholar]
- Abdi, H.; Valentin, D.; Chollet, S.; Chrea, C. Analyzing Assessors and Products in Sorting Tasks: DISTATIS, Theory and Applications. Food Qual. Prefer. 2007, 18, 627–640. [Google Scholar] [CrossRef]
- Beaton, D.; Fatt, C.C.; Abdi, H. DistatisR: DiSTATIS Three Way Metric Multidimensional Scaling; VNU Publishing House: London, UK, 2019. [Google Scholar]
- Hijmans, R.J.; Cameron, S.E.; Parra, J.L.; Jones, P.G.; Jarvis, A. Very High Resolution Interpolated Climate Surfaces for Global Land Areas. Int. J. Climatol. 2005, 25, 1965–1978. [Google Scholar] [CrossRef]
- ICES Workshop on the Temporal Migration Patterns of European Eel (WKEELMIGRATION); ICES Scientific Reports Volume 2, Issue 205; ICES: Copenhagen, Denmark, 2020; p. 109.
- De’Ath, G. Multivariate Regression Trees: A New Technique for Modelling Species-Environment Relationships. Ecology 2002, 83, 1105–1117. [Google Scholar]
- Hothorn, T.; Zeileis, A. Partykit: A Modular Toolkit for Recursive Partytioning in R. J. Mach. Learn. Res. 2015, 16, 3905–3909. [Google Scholar]
- Tableau, A.; Drouineau, H.; Delpech, C.; Pierre, M.; Lobry, J.; Le Pape, O.; Breine, J.; Lepage, M. A Fish-Based Index of Estuarine Ecological Quality Incorporating Information from Both Scientific Fish Survey and Experts Knowledge. Ecol. Indic. 2013, 32, 147–156. [Google Scholar] [CrossRef]
- Briand, C.; Fatin, D.; Feunteun, E.; Fontenelle, G. Estimating the Stock of Glass Eels in an Estuary by Mark-Recapture Experiments Using Vital Dyes. Bull. Fr. Pêche Piscic. 2005, 378–379, 23–46. [Google Scholar] [CrossRef][Green Version]
- Drouineau, H.; Rigaud, C.; Laharanne, A.; Fabre, R.; Bau, F.; Baran, P. Assessing the Efficiency of an Eel Ladder and Trap Using Tag-Recaptures Data and a Bayesian Model. In Proceedings of the 6th World Fisheries Congess, Edinburgh, UK, 7–11 May 2012. [Google Scholar]
- Mateo, M.; Briand, C.; Beaulaton, L.; Drouineau, H. GT1—Produit 1.1; Atlas Sudoang: La Roche Bernard, France; Girona, Spain; Lisbon, Portugal, 2020. [Google Scholar]
- Pella, H.; Lejot, J.; Lamouroux, N.; Snelder, T. Le réseau hydrographique théorique (RHT) français et ses attributs environnementaux. Géomorphol. Relief Process. Environ. 2012, 18, 317–336. [Google Scholar] [CrossRef]
- Plummer, M. JAGS: A Program for Analysis of Bayesian Graphical Models Using Gibbs Sampling. In Proceedings of the 3rd International Workshop on Distributed Statistical Computing, Vienna, Austria, 20–22 March 2003. [Google Scholar]
- Denwood, M.J. Runjags: An R Package Providing Interface Utilities, Model Templates, Parallel Computing Methods and Additional Distributions for MCMC Models in JAGS. J. Statist. Softw. 2016, 71, 1–25. [Google Scholar] [CrossRef]
- Zuur, A.F.; Fryer, R.J.; Jolliffe, I.T.; Dekker, R.; Beukema, J.J. Estimating Common Trends in Multivariate Time Series Using Dynamic Factor Analysis. Environmetrics 2003, 14, 665–685. [Google Scholar] [CrossRef]
- Drouineau, H. GT3—Délivrable E3.1.1: Inventaire Des Données Disponibles Sur Le Recrutement Pour Application Du Modèle GEREM; Atlas Sudoang: La Roche Bernard, France; Girona, Spain; Lisbon, Portugal, 2019. [Google Scholar]
- Ministère de l’Ecologie, de l’Energie, du Developpement durable et de l’Aménagement du Territoire; Onema. Ministère de l’Agriculture et de la Pêche Plan de Gestion Anguille de La France—Application Du Règlement (CE) 1100/2007 Du 18 Septembre 2007—Volet National; Ministère de l’Ecologie, de l’Energie, du Développement Durable et de la Mer, en Charge des Technologies Vertes et des Négociations sur le Climat, Onema, Ministère de l’Alimentation, de l’Agriculture et de la Pêche: Paris, France, 2010.
- Briand, C.; Fatin, D.; Fontenelle, G.; Feunteun, E. Estuarine and fluvial recruitment of the European glass eel, Anguilla anguilla, in an exploited Atlantic estuary. Fish. Manag. Ecol. 2003, 10, 377–384. [Google Scholar] [CrossRef]
- Jacobs, R.A. Methods for Combining Experts’ Probability Assessments. Neural Comput. 1995, 7, 867–888. [Google Scholar] [CrossRef]
- Linstone, H.A.; Turoff, M. Introduction to the Delphi Method: Techniques and Applications. Delphi Method Tech. Appl. 1975, 3–12. [Google Scholar]
- Cooke, R. Experts in Uncertainty: Opinion and Subjective Probability in Science; Oxford University Press: Oxford, UK, 1991. [Google Scholar]
- Martin, T.G.; Burgman, M.A.; Fidler, F.; Kuhnert, P.M.; Low-Choy, S.; McBride, M.; Mengersen, K. Eliciting expert knowledge in conservation science. Conserv. Biol. 2012, 26, 29–38. [Google Scholar] [CrossRef]
- Cairns, D.K.; Avery, T.S.; Benchetrit, J.; Bornarel, V.; Casselman, J.M.; Castonguay, M.; Crow, S.K.; Dorow, M.; Drouineau, H.; Frankowski, J.; et al. Methods and data sources to support American eel population analysis. DFO Can. Sci. Advis. Sec. Res. Doc. 2020, in press. [Google Scholar]
- Pasquaud, S.; Brind’Amour, A.; Berthelé, O.; Girardin, M.; Elie, P.; Boët, P.; Lepage, M. Impact of the Sampling Protocol in Assessing Ecological Trends in an Estuarine Ecosystem: The Empirical Example of the Gironde Estuary. Ecol. Indic. 2012, 15, 18–29. [Google Scholar] [CrossRef]
- Clemen, R.T.; Winkler, R.L. Limits for the Precision and Value of Information from Dependent Sources. Oper. Res. 1985, 33, 427–442. [Google Scholar] [CrossRef]
- Ferrell, W.R. Combining individual judgments. In Behavioral Decision Making; Springer: Boston, MA, USA, 1985; pp. 111–145. [Google Scholar]
- ICES Report of Workshop on the Future of Eel Advice (WKFEA); ICES Scientific Report; ICES: Copenhagen, Denmark, 2021; Volume 3.












| Series | Type | Zone | Surface (km2) | First Year | Last Year | Nb Data | Basin |
|---|---|---|---|---|---|---|---|
| AdGERMA | absolute | ATL_F | 16,898.84 | 1999 | 2005 | 7 | Adour |
| AdTCG | catch | ATL_F | 16,898.84 | 1986 | 2008 | 23 | Adour |
| ChGEMAC | absolute | ATL_F | 9856.00 | 2007 | 2008 | 2 | Charente |
| GiGEMAC | absolute | ATL_F | 80,624.80 | 1999 | 1999 | 1 | Gironde |
| GiScG | relative | ATL_F | 80,624.80 | 1994 | 2020 | 27 | Gironde |
| GiTCG | catch | ATL_F | 80,624.80 | 1961 | 2008 | 47 | Gironde |
| LoGERMA | absolute | ATL_F | 117,095.80 | 2004 | 2006 | 3 | Loire |
| LoiG | relative | ATL_F | 117,095.80 | 1960 | 2008 | 49 | Loire |
| SeGEMAC | absolute | ATL_F | 916.90 | 2007 | 2010 | 4 | Seudre |
| VilG | absolute | ATL_F | 10,485.20 | 1971 | 2015 | 42 | Vilaine |
| GuadG | relative | ATL_IB | 56,380.74 | 1998 | 2007 | 10 | Guadalquivir |
| MinG | catch | ATL_IB | 17,062.99 | 1975 | 2020 | 46 | Minho |
| MondG | relative | ATL_IB | 6658.52 | 1989 | 2020 | 4 | Mondego |
| NaloG | catch | CANT | 4812.56 | 1960 | 2020 | 61 | Nalon |
| Oria | absolute | CANT | 851.48 | 2006 | 2018 | 7 | Oria |
| AlbuG | catch | Med | 825.76 | 1960 | 2020 | 57 | Albufera de Valencia |
| EbroG | catch | Med | 83,977.67 | 1966 | 2020 | 52 | Ebro |
| Ter | catch | Med | 2990.49 | 2011 | 2015 | 4 | Ter |
| VacG | trap | Med | 834.90 | 2004 | 2020 | 17 | Vaccares |
Publisher’s Note: MDPI stays neutral with regard to jurisdictional claims in published maps and institutional affiliations. |
© 2021 by the authors. Licensee MDPI, Basel, Switzerland. This article is an open access article distributed under the terms and conditions of the Creative Commons Attribution (CC BY) license (https://creativecommons.org/licenses/by/4.0/).
Share and Cite
Drouineau, H.; Vanacker, M.; Diaz, E.; Mateo, M.; Korta, M.; Antunes, C.; Delgado, C.F.; Domingos, I.; Zamora, L.; Beaulaton, L.; et al. Incorporating Stakeholder Knowledge into a Complex Stock Assessment Model: The Case of Eel Recruitment. Water 2021, 13, 1136. https://doi.org/10.3390/w13091136
Drouineau H, Vanacker M, Diaz E, Mateo M, Korta M, Antunes C, Delgado CF, Domingos I, Zamora L, Beaulaton L, et al. Incorporating Stakeholder Knowledge into a Complex Stock Assessment Model: The Case of Eel Recruitment. Water. 2021; 13(9):1136. https://doi.org/10.3390/w13091136
Chicago/Turabian StyleDrouineau, Hilaire, Marie Vanacker, Estibaliz Diaz, Maria Mateo, Maria Korta, Carlos Antunes, Carlos Fernández Delgado, Isabel Domingos, Lluis Zamora, Laurent Beaulaton, and et al. 2021. "Incorporating Stakeholder Knowledge into a Complex Stock Assessment Model: The Case of Eel Recruitment" Water 13, no. 9: 1136. https://doi.org/10.3390/w13091136
APA StyleDrouineau, H., Vanacker, M., Diaz, E., Mateo, M., Korta, M., Antunes, C., Delgado, C. F., Domingos, I., Zamora, L., Beaulaton, L., Lambert, P., & Briand, C. (2021). Incorporating Stakeholder Knowledge into a Complex Stock Assessment Model: The Case of Eel Recruitment. Water, 13(9), 1136. https://doi.org/10.3390/w13091136

