Application of 2H and 18O Isotopes for Tracing Municipal Solid Waste Landfill Contamination of Groundwater: Two Italian Case Histories
Abstract
1. Introduction
- CO2 + 4H2 → CH4 + 2H2O (CO2 reduction);
- CH3COOH → CH4 + CO2 (acetate fermentation).
2. Geological and Hydrogeological Setting
2.1. Case History I in Sardinia (Southern Italy)
- -
- Aquifer 1 (shallow): represented by conglomerates and sand of the Nurallao deposits;
- -
- Aquifer 2 (deep): characterized by conglomerates and gravels of the Nurallao deposits.
2.2. Case History II in Umbria (Central Italy)
- -
- Upper sandy conglomerate deposits;
- -
- Marly arenaceous formation.
3. Material and Methods
- -
- Rsample is the abundance ratio of the isotopic species, respectively 2H/1H for hydrogen and 18O/16O for oxygen, for each sample;
- -
- RSMOW is the isotopic ratio of the standard (Standard Mean Ocean Water), accepted for the isotopes in water [39].
4. Results and Discussion
- -
- Global Meteoric Water Line (GMWL) [39], described by Equation (2):δ2H = 8 δ18O‰ + 10
- -
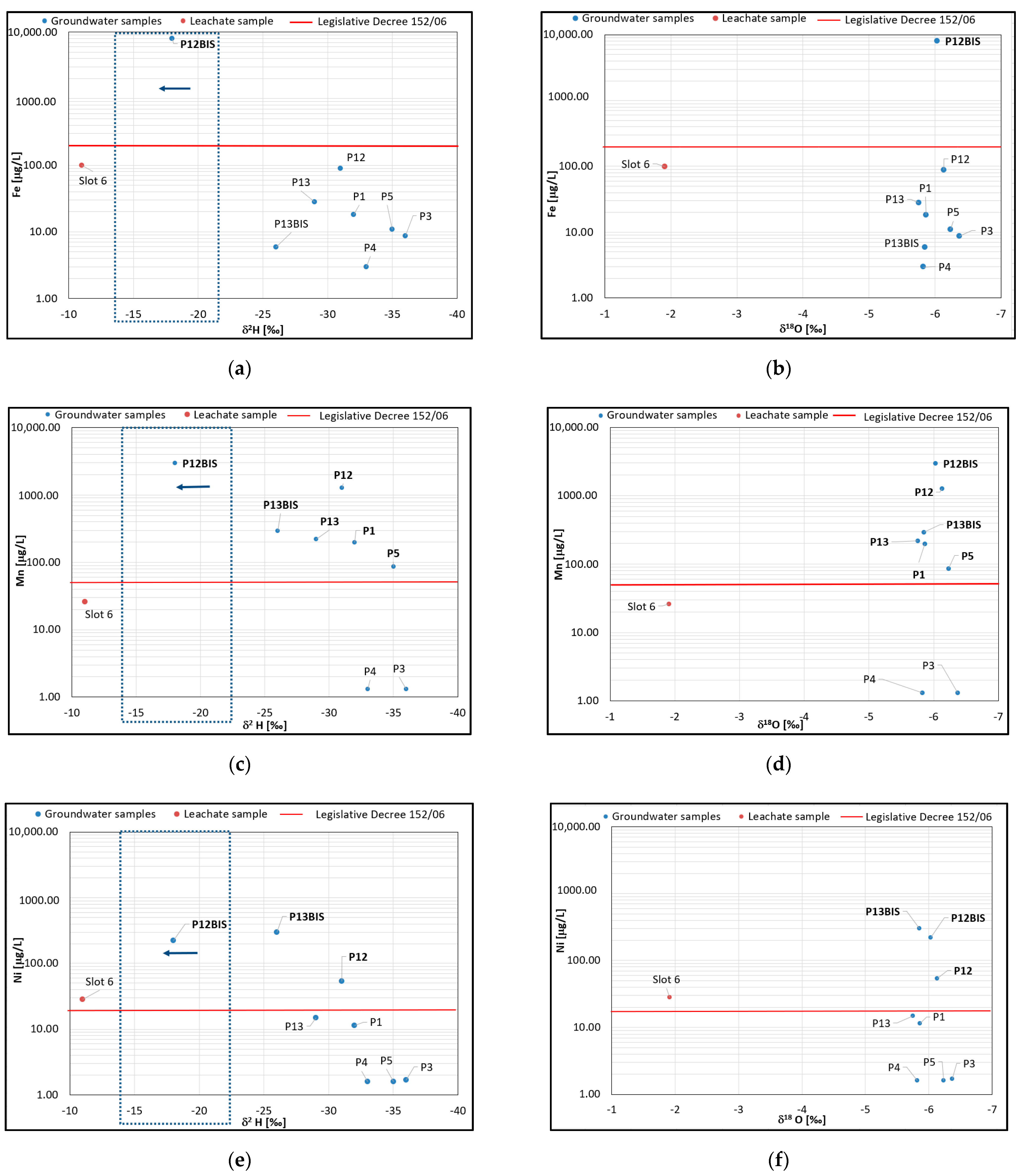
4.1. Case History I in Sardinia (Southern Italy)
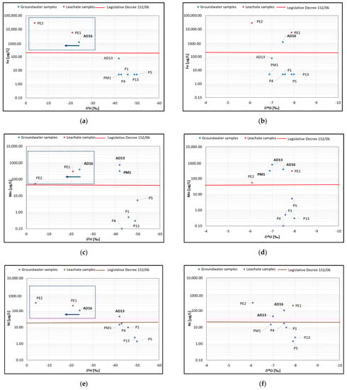
4.2. Case History II in Umbria (Central Italy)
5. Conclusions
Author Contributions
Funding
Institutional Review Board Statement
Informed Consent Statement
Data Availability Statement
Conflicts of Interest
References
- Lee, K.S.; Ko, K.S.; Kim, E.Y. Application of stable isotopes and dissolved ions for monitoring landfill leachate contamination. Environ. Geochem. Health 2020, 42, 1387–1399. [Google Scholar] [CrossRef]
- Mukherjee, S.; Mukhopadhyay, S.; Hashim, M.A.; Gupta, B. Sen Contemporary environmental issues of landfill leachate: Assessment and remedies. Crit. Rev. Environ. Sci. Technol. 2015, 45, 472–590. [Google Scholar] [CrossRef]
- Qin, M.; Molitor, H.; Brazil, B.; Novak, J.T.; He, Z. Recovery of nitrogen and water from landfill leachate by a microbial electrolysis cell-forward osmosis system. Bioresour. Technol. 2016, 200, 485–492. [Google Scholar] [CrossRef]
- Adeolu, A.O.; Ada, O.V.; Gbenga, A.A.; Adebayo, O.A. Assessment of groundwater contamination by leachate near a municipal solid waste landfill. Afr. J. Environ. Sci. Technol. 2011, 5, 933–940. [Google Scholar]
- Liu, Z.P.; Wu, W.H.; Shi, P.; Guo, J.S.; Cheng, J. Characterization of dissolved organic matter in landfill leachate during the combined treatment process of air stripping, Fenton, SBR and coagulation. Waste Manag. 2015, 41, 111–118. [Google Scholar] [CrossRef] [PubMed]
- Foo, K.Y.; Hameed, B.H. An overview of landfill leachate treatment via activated carbon adsorption process. J. Hazard. Mater. 2009, 171, 54–60. [Google Scholar] [CrossRef] [PubMed]
- de Medeiros Engelmann, P.; dos Santos, V.H.J.M.; Barbieri, C.B.; Augustin, A.H.; Ketzer, J.M.M.; Rodrigues, L.F. Environmental monitoring of a landfill area through the application of carbon stable isotopes, chemical parameters and multivariate analysis. Waste Manag. 2018, 76, 591–605. [Google Scholar] [CrossRef] [PubMed]
- Castañeda, S.S.; Sucgang, R.J.; Almoneda, R.V.; Mendoza, N.D.S.; David, C.P.C. Environmental isotopes and major ions for tracing leachate contamination from a municipal landfill in Metro Manila, Philippines. J. Environ. Radioact. 2012, 110, 30–37. [Google Scholar] [CrossRef]
- Moravia, W.G.; Amaral, M.C.S.; Lange, L.C. Evaluation of landfill leachate treatment by advanced oxidative process by Fenton’s reagent combined with membrane separation system. Waste Manag. 2013, 33, 89–101. [Google Scholar] [CrossRef]
- Puig, S.; Serra, M.; Coma, M.; Cabré, M.; Dolors Balaguer, M.; Colprim, J. Microbial fuel cell application in landfill leachate treatment. J. Hazard. Mater. 2011, 185, 763–767. [Google Scholar] [CrossRef]
- Varjani, S.; Gnansounou, E.; Baskar, G.; Pant, D. Waste Bioremediation; Springer: Singapore, 2018; pp. 233–247. [Google Scholar]
- Preziosi, E.; Frollini, E.; Zoppini, A.; Ghergo, S.; Melita, M.; Parrone, D.; Rossi, D.; Amalfitano, S. Disentangling natural and anthropogenic impacts on groundwater by hydrogeochemical, isotopic and microbiological data: Hints from a municipal solid waste landfill. Waste Manag. 2019, 84, 245–255. [Google Scholar] [CrossRef] [PubMed]
- Naveen, B.P.; Mahapatra, D.M.; Sitharam, T.G.; Sivapullaiah, P.V.; Ramachandra, T.V. Physico-chemical and biological characterization of urban municipal landfill leachate. Environ. Pollut. 2017, 220, 1–12. [Google Scholar] [CrossRef] [PubMed]
- Porowska, D. Identification of groundwater contamination zone around a reclaimed landfill using carbon isotopes. Water Sci. Technol. 2017, 75, 328–339. [Google Scholar] [CrossRef] [PubMed]
- Wimmer, B.; Hrad, M.; Huber-Humer, M.; Watzinger, A.; Wyhlidal, S.; Reichenauer, T.G. Stable isotope signatures for characterising the biological stability of landfilled municipal solid waste. Waste Manag. 2013, 33, 2083–2090. [Google Scholar] [CrossRef]
- Nigro, A.; Sappa, G.; Barbieri, M. Application of boron and tritium isotopes for tracing landfill contamination in groundwater. J. Geochem. Explor. 2017, 172, 101–108. [Google Scholar] [CrossRef]
- Wachniew, P. Environmental tracers as a tool in groundwater vulnerability assessment. Acque Sotter.-Ital. J. Groundw. 2015, 19–25. [Google Scholar] [CrossRef]
- Elliot, T. Environmental tracers. Water 2014, 6, 3264–3269. [Google Scholar] [CrossRef]
- Coplen, T.B.; Herczeg, A.L.; Barnes, C. Isotope Engineering—Using Stable Isotopes of the Water Molecule to Solve Practical Problems. Available online: https://link.springer.com/chapter/10.1007/978-1-4615-4557-6_3 (accessed on 31 March 2021).
- Jasechko, S. Global Isotope Hydrogeology―Review. Rev. Geophys. 2019, 57, 835–965. [Google Scholar] [CrossRef]
- Gat, J.R. Oxygen and hydrogen isotopes in the hydrologic cycle. Annu. Rev. Earth Planet. Sci. 1996, 24, 225–262. [Google Scholar] [CrossRef]
- Pujiindiyati, E.R. Application of deuterium and oxygen-18 to trace leachate movement in Bantar Gebang sanitary landfill. Atom Indones. 2011, 37, 76–82. [Google Scholar] [CrossRef][Green Version]
- Tazioli, A. Landfill investigation using tritium and isotopes as pollution tracers. Acquae Mundi 2011, 18, 83–92. [Google Scholar]
- Hackley, L.C.; Liu, C.I.; Coleman, D.D. Environmental Isotope Characteristics of Landfill Leachates and Gases. Groundwater 1996, 34, 827–836. [Google Scholar] [CrossRef]
- Kerfoot, H.B.; Baker, J.A.; Burt, D.M. The use of isotopes to identify landfill gas effects on groundwater. J. Environ. Monit. 2003, 5, 896–901. [Google Scholar] [CrossRef]
- Venkata Mohan, S.R.; Devi, M.P.; Reddy, M.; Chandrasekhar, K.; Juwarkar, A.; Sarma, P.N. Bioremediation of petroleum sludge under anaerobic microenvironment: Influence of biostimulation and bioaugmentation. Environ. Eng. Manag. J. 2011, 10, 1609–1616. [Google Scholar] [CrossRef]
- Kumar, P.; Pant, D.C.; Mehariya, S.; Sharma, R.; Kansal, A.; Kalia, V.C. Ecobiotechnological Strategy to Enhance Efficiency of Bioconversion of Wastes into Hydrogen and Methane. Indian J. Microbiol. 2014, 54, 262–267. [Google Scholar] [CrossRef] [PubMed]
- Kalia, V.C. Microbial applications. Microb. Appl. 2017, 2, 1–336. [Google Scholar]
- Teh, Y.A.; Silver, W.L.; Conrad, M.E.; Borglin, S.E.; Carlson, C.M. Carbon isotope fractionation by methane-oxidizing bacteria in tropical rain forest soils. J. Geophys. Res. Biogeosci. 2006, 111, 1–8. [Google Scholar] [CrossRef]
- Grossman, E.L.; Cifuentes, L.A.; Cozzarelli, I.M. Anaerobic methane oxidation in a landfill-leachate plume. Environ. Sci. Technol. 2002, 36, 2436–2442. [Google Scholar] [CrossRef] [PubMed]
- North, J.C.; Frew, R.D.; Van Hale, R. Can stable isotopes be used to monitor landfill leachate impact on surface waters? J. Geochem. Explor. 2006, 88, 49–53. [Google Scholar] [CrossRef]
- Bates, B.L.; McIntosh, J.C.; Lohse, K.A.; Brooks, P.D. Influence of groundwater flowpaths, residence times and nutrients on the extent of microbial methanogenesis in coal beds: Powder River Basin, USA. Chem. Geol. 2011, 284, 45–61. [Google Scholar] [CrossRef]
- Morasch, B.; Richnow, H.H.; Schink, B.; Vieth, A.; Meckenstock, R.U. Carbon and hydrogen stable isotope fractionation during aerobic bacterial degradation of aromatic hydrocarbons. Appl. Environ. Microbiol. 2002, 68, 5191–5194. [Google Scholar] [CrossRef]
- Mohammadzadeh, H.; Clark, I. Degradation pathways of dissolved carbon in landfill leachate traced with compound-specific 13C analysis of DOC. Isotopes Environ. Health Stud. 2008, 44, 267–294. [Google Scholar] [CrossRef]
- Kjeldsen, P.; Barlaz, M.A.; Rooker, A.P.; Baun, A.; Ledin, A.; Christensen, T.H. Present and long-term composition of MSW landfill leachate: A review. Crit. Rev. Environ. Sci. Technol. 2002, 32, 297–336. [Google Scholar] [CrossRef]
- Rodrigo-Ilarri, J.; Rodrigo-Clavero, M.E. Mathematical modeling of the biogas production in msw landfills. Impact of the implementation of organic matter and food waste selective collection systems. Atmosphere 2020, 11, 1306. [Google Scholar] [CrossRef]
- Rank, D.; Papesch, W.; Rajner, V. Envinronmental Isotopes Study at a Research Landfill (Breitenau, Lower Austria). Available online: https://inis.iaea.org/collection/NCLCollectionStore/_Public/27/061/27061798.pdf?r=1 (accessed on 31 March 2021).
- Nisi, B.; Raco, B.; Dotsika, E. Groundwater contamination studies by environmental isotopes: A review. Handb. Environ. Chem. 2016, 40, 115–150. [Google Scholar]
- Craig, H. Isotopic variations in meteoric waters. Science 1961, 133, 1702–1703. [Google Scholar] [CrossRef] [PubMed]
- Gat, J.R.; Carmi, I. Effect of climate changes on the precipitation patterns and isotopic composition of water in a climate transition zone: Case of the Eastern Mediterranean Sea area. Influ. Clim. Chnage Clim. Var. Hydrolic Regime Water Resour. 1987, 513–524. [Google Scholar]
- Bajjali, W. Spatial variability of environmental isotope and chemical content of precipitation in Jordan and evidence of slight change in climate. Appl. Water Sci. 2012, 2, 271–283. [Google Scholar] [CrossRef][Green Version]
- Giustini, F.; Brilli, M.; Patera, A. Mapping oxygen stable isotopes of precipitation in Italy. J. Hydrol. Reg. Stud. 2016, 8, 162–181. [Google Scholar] [CrossRef]











| Municipal Solid Waste (MSW) | Industrial Waste |
|---|---|
| Slot 2 | Slot 1 |
| Slot 3 | Slot 5 |
| Slot 4 | Slot 6 |
| Case History I (July 2020) | |||||||||
| Samples | pH | T | Eh | Electric Conductivity | Fe | Mn | Ni | δ2‰H—1‰ (VSMOW) | δ18‰ O—0.05‰ (VSMOW) |
| - | °C | mV | μS/cm | μg/L | μg/L | μg/L | |||
| P1 | 6.91 | 32.07 | 107.6 | 6127 | 18.2 | 197 | 11.5 | −32 | −5.86 |
| P3 | 7.45 | 21.61 | 65.8 | 1100 | 8.7 | 1.3 | 1.7 | −36 | −6.37 |
| P4 | 7.25 | 22.26 | 113.5 | 2228 | 3 | 1.3 | 1.6 | −33 | −5.82 |
| P5 | 7.38 | 24.22 | −104.7 | 1487 | 10.9 | 85.9 | 1.6 | −35 | −6.23 |
| P12 | 6.48 | 26.66 | 50.1 | 3396 | 89 | 1271 | 53.9 | −31 | −6.13 |
| P12BIS | 6.96 | 28.14 | −171.7 | 8020 | 8022 | 2941 | 221 | −18 | −6.03 |
| P13 | 6.78 | 25.34 | 118 | 18,190 | 28.2 | 221 | 14.9 | −29 | −5.75 |
| P13BIS | 6.92 | 30.37 | 98.2 | 9094 | 5.9 | 292 | 300 | −26 | −5.85 |
| Slot 1 | na | na | na | na | na | na | na | −16 | −2.65 |
| Slot 2 | na | na | na | na | na | na | na | −8 | −6.36 |
| Slot 6 | na | na | na | na | 100 | 26 | 28 | −11 | −1.91 |
| (a) | |||||||||
| Case History II (July 2020) | |||||||||
| Samples | pH | T | Eh | Electric Conductivity | Fe | Mn | Ni | μ2‰H—1‰ (VSMOW) | δ18‰ O—0.05‰ (VSMOW) |
| - | °C | mV | μS/cm | μg/L | μg/L | μg/L | |||
| AD13 | 6.92 | 11.3 | 154 | 1900 | 74 | 742 | 45 | −42 | −7.0 |
| AD16 | 7.54 | 11.1 | 170 | 5680 | 1150 | 383 | 105 | −24 | −7.5 |
| P1 | 7.8 | 14.6 | 147 | 1660 | 5 | 0.5 | 9.5 | −46 | −7.6 |
| P4 | 7.89 | 14.2 | 177 | 1730 | 5 | 0.1 | 16.6 | −43 | −7.5 |
| P5 | 8.11 | 13.8 | 103 | 1020 | 5 | 5.3 | 1.4 | −50 | −7.9 |
| P13 | 7.73 | 14.2 | 181 | 1290 | 5 | 0.3 | 2.4 | −49 | −8.0 |
| PM1 | 7.69 | 14 | 39 | 810 | 5 | 309 | 14.6 | −42 | −6.9 |
| PE1 | 8.11 | na | na | 15,000 | 5690 | 297 | 207 | −21 | −7.9 |
| PE2 | 8.64 | na | na | 20,500 | 28,300 | 54 | 307 | −4 | −6.1 |
| (b) | |||||||||
| pH | T | Eh | Fe | Mn | Ni | δ2H | δ18O | |
|---|---|---|---|---|---|---|---|---|
| pH | 1 | |||||||
| T | −0.567 | 1 | ||||||
| Eh | −0.194 | 0.018 | 1 | |||||
| Fe | −0.078 | 0.197 | −0.753 | 1 | ||||
| Mn | −0.393 | 0.286 | −0.692 | 0.919 | 1 | |||
| Ni | −0.274 | 0.544 | −0.260 | 0.500 | 0.515 | 1 | ||
| δ2H | −0.428 | 0.504 | −0.451 | 0.836 | 0.833 | 0.791 | 1 | |
| δ18O | −0.433 | 0.444 | 0.463 | −0.047 | −0.077 | 0.214 | 0.352 | 1 |
| pH | T | Eh | Fe | Mn | Ni | δ2H | δ18O | |
|---|---|---|---|---|---|---|---|---|
| pH | 1 | |||||||
| T | 0.741 | 1 | ||||||
| Eh | −0.184 | −0.230 | 1 | |||||
| Fe | −0.206 | −0.709 | 0.279 | 1 | ||||
| Mn | −0.921 | −0.841 | −0.087 | 0.324 | 1 | |||
| Ni | −0.495 | −0.870 | 0.288 | 0.939 | 0.596 | 1 | ||
| δ2H | −0.359 | −0.732 | 0.180 | 0.936 | 0.484 | 0.964 | 1 | |
| δ18O | −0.625 | −0.374 | −0.470 | 0.016 | 0.747 | 0.280 | 0.330 | 1 |
Publisher’s Note: MDPI stays neutral with regard to jurisdictional claims in published maps and institutional affiliations. |
© 2021 by the authors. Licensee MDPI, Basel, Switzerland. This article is an open access article distributed under the terms and conditions of the Creative Commons Attribution (CC BY) license (https://creativecommons.org/licenses/by/4.0/).
Share and Cite
Andrei, F.; Barbieri, M.; Sappa, G. Application of 2H and 18O Isotopes for Tracing Municipal Solid Waste Landfill Contamination of Groundwater: Two Italian Case Histories. Water 2021, 13, 1065. https://doi.org/10.3390/w13081065
Andrei F, Barbieri M, Sappa G. Application of 2H and 18O Isotopes for Tracing Municipal Solid Waste Landfill Contamination of Groundwater: Two Italian Case Histories. Water. 2021; 13(8):1065. https://doi.org/10.3390/w13081065
Chicago/Turabian StyleAndrei, Francesca, Maurizio Barbieri, and Giuseppe Sappa. 2021. "Application of 2H and 18O Isotopes for Tracing Municipal Solid Waste Landfill Contamination of Groundwater: Two Italian Case Histories" Water 13, no. 8: 1065. https://doi.org/10.3390/w13081065
APA StyleAndrei, F., Barbieri, M., & Sappa, G. (2021). Application of 2H and 18O Isotopes for Tracing Municipal Solid Waste Landfill Contamination of Groundwater: Two Italian Case Histories. Water, 13(8), 1065. https://doi.org/10.3390/w13081065

