Water-Saving Soil Conservation Measures Should Be Used in Northern China: Evidence from Runoff Plot Data
Abstract
1. Introduction
2. Materials and Methods
2.1. Description of the Study Area
2.2. Runoff Plot and Data Collection
2.3. Data Treatment and Statistical Analysis
3. Results and Discussion
3.1. Rainfall Characteristics
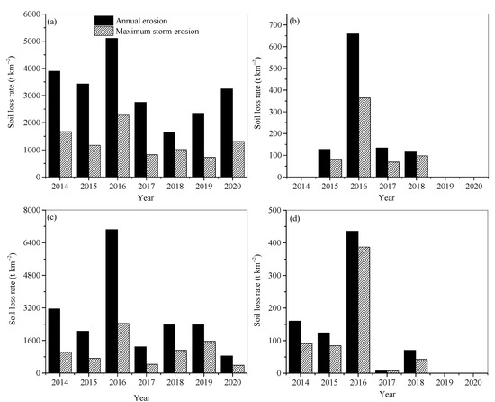
3.2. Runoff and Soil Loss
3.3. Impact of the Slope Gradient and Slope Length
3.4. Impact of Rainfall Characteristics
3.5. Impact of Soil Conservation Measures
4. Conclusions
Funding
Institutional Review Board Statement
Informed Consent Statement
Data Availability Statement
Acknowledgments
Conflicts of Interest
References
- Xiong, M.Q.; Sun, R.H.; Chen, L.D. Effects of soil conservation techniques on water erosion control: A global analysis. Sci. Total Environ. 2018, 645, 753–760. [Google Scholar] [CrossRef] [PubMed]
- Damnati, B.; Ibrahimi, S.; Radakovitch, Q. Quantifying erosion using 137Cs and 210Pb in cultivated soils in three Mediterranean watershed: Synthesis study from El Hachef, Raouz and Nakhla (North West Morocco). J. Afr. Earth Sci. 2013, 79, 50–57. [Google Scholar] [CrossRef]
- Anache, J.A.A.; Wendland, E.C.; Oliveira, P.T.S.; Flanagan, D.C.; Nearing, M.A. Runoff and soil erosion plot-scale studies under natural rainfall: A meta-analysis of the Brazilian experience. Catena 2017, 152, 29–39. [Google Scholar] [CrossRef]
- Borrelli, P.; Robinson, D.A.; Fleischer, L.R.; Lugato, E.; Ballabio, C.; Alewell, C.; Meusburger, K.; Modugno, S.; Schutt, B.; Ferro, V.; et al. An assessment of the global impact of 21st century land use change on soil erosion. Nat. Commun. 2017, 8, 1–13. [Google Scholar] [CrossRef] [PubMed]
- Wuepper, D.; Borrelli, P.; Finger, R. Countries and the global rate of soil erosion. Nat. Sustain. 2020, 3, 51–55. [Google Scholar] [CrossRef]
- Troeh, F.R.; Hobbs, J.A.; Donahue, R.L. Soil and Water Conservation for Productivity and Environmental Protection; Prentice-Hall, Inc.: Englewood Cliffs, NJ, USA, 1980. [Google Scholar]
- Zhu, T.X.; Zhu, A.X. Assessment of soil erosion and conservation on agricultural sloping lands using plot data in the semi-arid hilly loess region of China. J. Hydrol. Reg. Stud. 2014, 2, 69–83. [Google Scholar] [CrossRef]
- Zhao, J.L.; Yang, Z.Q.; Gover, G. Soil and water conservation measures reduce soil and water losses in China but not down to background levels: Evidence from erosion plot data. Geoderma 2019, 337, 729–741. [Google Scholar] [CrossRef]
- Wolka, K.; Mulder, J.; Biazin, B. Effects of soil and water conservation techniques on crop yield, runoff and soil loss in Sub-Saharan Africa: A review. Agric. Water Manag. 2018, 207, 67–79. [Google Scholar] [CrossRef]
- Maetens, W.; Poesen, J.; Vanmaercke, M. How effective are soil conservation techniques in reducing plot runoff and soil loss in Europe and the Mediterranean? Earth-Sci. Rev. 2012, 115, 21–36. [Google Scholar] [CrossRef]
- He, Y.Y.; Wang, X.Y.; Duan, S.H. Characteristics of runoff and sediment during individual rainfall in upper area of Miyun Reservoir. Transac. Chin. Soc. Agric. Eng. 2015, 31, 134–141. [Google Scholar]
- Han, L.F.; Gao, B.; Lu, J.; Zhou, Y.; Xu, D.Y.; Gao, L.; Sun, K. Pollution characteristics and source identification of trace metals in riparian soils of Miyun Reservoir, China. Ecotox. Environ. Saf. 2017, 144, 321–329. [Google Scholar] [CrossRef]
- Qiu, J.L.; Shen, Z.Y.; Hou, X.S.; Xie, H.; Leng, G.Y. Evaluating the performance of conservation practices under climate change scenarios in the Miyun Reservoir Watershed, China. Ecol. Eng. 2020, 143, 105700. [Google Scholar] [CrossRef]
- Qiu, J.L.; Shen, Z.Y.; Huang, M.Y.; Zhang, X.S. Exploring effective best management practices in the Miyun reservoir watershed, China. Ecol. Eng. 2018, 123, 30–42. [Google Scholar] [CrossRef]
- Li, Z.J. Impacts of Soil and Water Conservation Measures on Annual Runoff in the Chao River Basin. Ph.D. Thesis, Institute of Geographic Sciences and Natural Resources Research, Chinese Academy of Sciences, Beijing, China, 2007. [Google Scholar]
- Liu, B.Y.; Bi, X.G.; Fu, S.H. Beijing Soil Loss Equation; Science Press: Beijing, China, 2010. [Google Scholar]
- Gao, Y.C.; Yao, Z.J.; Liu, B.Q.; Lv, A.F. Evolution trend of Minyun Reservoir inflow and its motivating factors analysis. Prog. Geogr. 2002, 21, 546–553. [Google Scholar] [CrossRef]
- Ma, H.; Yang, D.W.; Tan, S.K.; Gao, B.; Hu, Q.F. Impact of climate variability and human activity on streamflow decrease in the Miyun Reservoir catchment. J. Hydrol. 2010, 389, 317–324. [Google Scholar] [CrossRef]
- Yan, T.Z.; Bai, J.W.; Arsenio, T.; Shen, Z.Y. Future climate change impacts on streamflow and nitrogen exports based on CMIP5 projection in the Miyun Reservoir Basin, China. Ecohydrol. Hydrobiol. 2019, 19, 266–278. [Google Scholar] [CrossRef]
- Tang, L.H.; Yang, D.W.; Hu, H.P.; Gao, B. Detecting the effect of land-use change on streamflow, sediment and nutrient losses by distributed hydrological simulation. J. Hydrol. 2011, 409, 172–182. [Google Scholar] [CrossRef]
- Xu, E.Q.; Zhang, H.Q. Aggregating land use quantity and intensity to link water quality in bupper catchment of Miyun Reservoir. Ecol. Indic. 2016, 66, 329–339. [Google Scholar] [CrossRef]
- Zhang, L.; Zou, Z.H.; Shan, W. Development of a method for comprehensive water quality forecasting and its application in Miyun reservoir of Beijing, China. J. Environ. Sci. 2016, 56, 240–246. [Google Scholar] [CrossRef] [PubMed]
- Xu, W.; Cai, Y.P.; Yin, X.N.; Yan, H.; Zhang, L. Soil nitrogen supply capacity as an indicator of sustainable watershed management in the upper basin of Miyun Reservoir. Ecol. Indic. 2018, 92, 221–227. [Google Scholar] [CrossRef]
- Xu, R.H.; Cai, Y.Q.; Wang, X.; Li, C.H.; Liu, Q.; Yang, Z.F. Agricultural nitrogen flow in a reservoir watershed and its implications for water pollution mitigation. J. Clean. Product. 2020, 267, 122034. [Google Scholar] [CrossRef]
- Wang, X.Y.; Hu, Q.J.; Zhu, F.Y.; He, W.; Wang, X.F.; Wang, G. Loss of nutrients in runoff and soil in the watershed of Miyun Reservoir-as an example of Shixia experimental area. J. Cap. Norm. Univ. 2001, 22, 79–85. [Google Scholar]
- Gao, Y. Study on the effect of different soil conservation measures on soil erosion in Shixia catchment. Dev. Inno. 2018, 29, 255–256. [Google Scholar]
- Poesen, J. The influence of slope angle on infiltration rate and Hortonian overland flow. Geomorphology 1984, 49, 117–131. [Google Scholar] [CrossRef]
- Fang, H.Y.; Sun, L.Y.; Tang, Z.H. Effects of rainfall and slope on runoff, soil erosion and rill development: An experimental study using two loess soils. Hydrol. Process. 2015, 29, 2649–2658. [Google Scholar] [CrossRef]
- Bryan, R.B.; Poesen, J. Laboratory experiments on the influence of slope length on runoff, percolation, and rill development. Earth Surf. Process. Landf. 1989, 4, 211–231. [Google Scholar] [CrossRef]
- Slattery, M.; Bryan, R.B. Hydraulic condition for rill incision under simulated rainfall: A laboratory experiment. Earth Surf. Process. Landf. 1992, 17, 127–146. [Google Scholar] [CrossRef]
- Govers, G. A field study on topographical and topsoil effects on runoff generation. Catena 1990, 18, 91–111. [Google Scholar] [CrossRef]
- Fox, D.M.; Bryan, R.B.; Price, A.G. The influence of slope angle on final infiltration rate for interrill conditions. Geoderma 1997, 80, 181–194. [Google Scholar] [CrossRef]
- Fang, H.Y.; Cai, Q.G.; Chen, H.; Li, Q.Y. Temporal changes in suspended sediment transport in a gullied loess basin: The lower Chabagou Creek on the Loess Plateau in China. Earth Surf. Process. Landf. 2008, 33, 1977–1992. [Google Scholar] [CrossRef]
- Zheng, Z.C.; Qin, F.; Li, T.X. Changes in soil surface microrelief of purple soil under different slope gradients and its effects on soil erosion. Trans. Chin. Soc. Agric. Eng. 2015, 31, 168–175. [Google Scholar]
- Guo, J.Z. Discussion on the issue of the relations of slope gradient and runoff amount and sediment production. Yel. Riv. 1958, 3, 47–49. [Google Scholar]
- Jin, C.X. A theoretical study on critical erosion slope gradient. Acta Geogr. Sin. 1995, 50, 234–239. [Google Scholar]
- Cao, W.H. Slope thresholds of soil erosion. Bull. Soil Water Conserv. 1993, 13, 1–5. [Google Scholar]
- Liu, X.B.; Zhang, S.L.; Zhang, X.Y.; Ding, G.W.; Cruse, R.M. Soil erosion control practices in Northeast China: A mini-review. Soil Tillage Res. 2011, 17, 44–48. [Google Scholar] [CrossRef]
- De Ploey, J.; Savat, J.J.; Moeyersons, J. The differential impact of some soil loss factors on flow, runoff creep and rainwash. Earth Surf. Process. Landf. 1976, 1, 151–1616. [Google Scholar] [CrossRef]
- Luo, L.X. Primary result of water erosion amount from gully slopes through field investigation in Lianshi Gou catchment in Gansu province. Geogr. Data 1958, 2, 111–118. [Google Scholar]
- Zheng, F.L.; Tang, K.L.; Zhou, P.H. Study on factors affecting rill erosion on cultivated slope land. Acta Pedol. Sin. 1989, 26, 109–116. [Google Scholar]
- Kong, Y.P.; Zhang, K.L.; Tang, K.L. Impacts of slope length on soil erosion process under simulated rainfall. J. Soil Water Conserv. 2001, 15, 17–24. [Google Scholar]
- Joel, A.; Messing, I.; Seguel, O.; Casanova, M. Measurement of surface, water runoff from plots of two different sizes. Hydrol. Process. 2002, 16, 1467–14786. [Google Scholar] [CrossRef]
- Mermut, A.R.; Luk, S.H.; Römkens, M.J.M.; Poesen, J.W.A. Micromorphological and mineralogical components of surface sealing in loess soils from different geographic regions. Geoderma 1995, 66, 71–84. [Google Scholar] [CrossRef]
- Jiao, J.Y.U.; Zou, H.Y.; Jia, Y.F.; Wang, N. Research progress on the effects of soil erosion on vegetation. Acta Ecol. Sin. 2009, 29, 85–91. [Google Scholar] [CrossRef]
- Chen, H.; Zhang, X.P.; Alba, M.; Yan, R.; Ren, Q.F.; Ren, Z.Y.; Yang, Y.H.; Zhao, W.H.; Lin, P.F.; Liu, B.Y.; et al. Effects of vegetation and rainfall types on surface runoff and soil erosion on steep slopes on the Loess Plateau, China. Catena 2018, 170, 141–1496. [Google Scholar] [CrossRef]
- Liang, Y.; Jiao, J.Y.; Tang, B.Z.; Cao, B.T.; Li, H. Response of runoff and soil erosion to erosive storm events and vegetation restoration on abandoned slope farmland in the Loess Plateau region, China. J. Hydrol. 2020, 584, 1246946. [Google Scholar] [CrossRef]
- Kang, S.Z.; Zhang, L.; Song, X.Y.; Zhang, S.H.; Liu, X.Z.; Liang, Y.L.; Zheng, S.Q. Runoff and sediment los response to rainfall and land use in two agricultural catchments on the Loess Plateau of China. Hydrol. Process. 2001, 15, 977–9886. [Google Scholar] [CrossRef]
- Cerdan, O.; Le, B.Y.; Couturier, A.; Bourennane, H.; Souchere, V. Rill erosion on cultivated hillslopes during two extreme rainfall events in Normandy, France. Soil Tillage Res. 2002, 67, 99–1086. [Google Scholar] [CrossRef]
- Wei, W.; Chen, L.D.; Fu, B.J.; Lu, Y.H.; Gong, J. Responses of water erosion to rainfall extremes and vegetation types in a loess semiarid hilly area, NW China. Hydrol. Process. 2009, 23, 1780–17916. [Google Scholar] [CrossRef]
- Wang, Z.J.; Jiao, J.Y.; Rayburg, S.; Wang, Q.L.; Su, Y. Soil erosion resistance of “Grain for Green” vegetation types under extreme rainfall conditions on the Loess Plateau. China. Catena 2016, 141, 109–116. [Google Scholar] [CrossRef]








| Plot | Slope (°) | Length (m) | Area (m2) | Soil Depth (cm) | Land Use | Soil Conservation Measure |
|---|---|---|---|---|---|---|
| 1 | 16.5 | 10 | 50 | 30 | Cultivated (corn) | - |
| 2 | 16.5 | 10 | 50 | 30 | Orchard (chestnut) | Terrace (size: 3-m wide) |
| 3 | 16.5 | 10 | 50 | 30 | Bare | - |
| 4 | 14.4 | 10 | 50 | 20 | Bare | - |
| 5 | 14.4 | 10 | 50 | 20 | Shrub | Vitex negundo (coverage: 40–60%) |
| 6 | 14.4 | 10 | 50 | 20 | Cultivated (corn) | Contour tillage |
| 7 | 9.4 | 10 | 50 | 20 | Orchard (hawthorn) | Terrace (size: 3-m wide) |
| 8 | 27 | 10 | 50 | 20 | Forest and grass | Robinia and grass (coverage: 90–100%) |
| 9 | 27 | 10 | 50 | 30 | Shrub | Vitex negundo (coverage: 40–50%) |
| 10 | 27 | 10 | 50 | 20 | Forest | Robinia pseudoacacia (coverage: 40%); fish-scale pits (size: 1 × 1.5 m2) |
| 11 | 19.3 | 5 | 25 | 15 | Shrub | Vitex negundo (coverage: 45–60%) |
| 12 | 17.1 | 10 | 50 | 15 | Forest and shrub | Platycladus orientalis and Robinia pseudoacacia (coverage: 90%); fish-scale pits (size: 1 × 1.5 m2) |
| 13 | 18.6 | 10 | 50 | 15 | Shrub | Vitex negundo (coverage: 40–50%) |
| 14 | 19.7 | 10 | 50 | 15 | Shrub | Vitex negundo (coverage: 40–50%) |
| 15 | 19 | 10 | 50 | 15 | Grass | Alfalfa (coverage: 50–60%) |
| 16 | 19 | 10 | 50 | 15 | Grass | Alfalfa (coverage: 10–15%) |
| 17 | 3.5 | 10 | 50 | 60 | Cultivated (corn) | Terrace (size: 4-m wide) |
| 18 | 3.5 | 10 | 50 | 60 | Cultivated (corn) | Contour tillage |
| 19 | 6.3 | 10 | 50 | 20 | Shrub | Vitex negundo (coverage: 45–60%) |
| 20 | 6.3 | 10 | 50 | 20 | Cultivated (corn) | Contour tillage |
| 21 | 14.4 | 20 | 100 | 20 | Bare | - |
| 22 | 14.4 | 20 | 100 | 20 | Bare | - |
| Annual P (mm) | Annual Erosive P (mm) | Percent of Mean Annual Erosive Rainfall Amount to the Annual Mean P (%) | |
|---|---|---|---|
| Mean | 475.1 | 297.1 | 62.3 |
| Range | 385.0–532.2 | 239.1–434.7 | 50.6–81.7 |
| Std. | 52.9 | 62.6 | 8.8 |
| CV | 0.11 | 0.21 | 0.14 |
| Skewness | -0.86 | 1.74 | 1.57 |
| Plot | TRA (mm) * | MAP (mm) | Accu. P (mm) | RGT Times | Runoff Depth (mm) | Soil Loss Rate (t km−2 year−1) | ||||||
|---|---|---|---|---|---|---|---|---|---|---|---|---|
| Min. | Max. | Mean | St.D | Min. | Max. | Mean | St.D | |||||
| 1 | 4.8 | 280.39 | 1962.7 | 62 | 0.00 | 29.65 | 7.73b | 0.77 | 0.00 | 2278.23 | 339.95cd | 56.10 |
| 2 | 21.8 | 107.31 | 751.1 | 14 | 0.00 | 18.08 | 0.85c | 0.32 | 0.00 | 364.16 | 15.69e | 6.38 |
| 3 | 4.8 | 274.13 | 1918.9 | 60 | 0.00 | 18.08 | 7.99b | 0.75 | 0.00 | 2429.35 | 289.81d | 56.99 |
| 4 | 8.4 | 268.04 | 1876.3 | 57 | 0.00 | 18.08 | 7.26b | 0.74 | 0.00 | 2466.32 | 404.67c | 66.56 |
| 5 | 15.1 | 95.47 | 668.3 | 17 | 0.00 | 11.53 | 1.22c | 0.31 | 0.00 | 403.87 | 18.35e | 7.64 |
| 6 | 8.4 | 272.71 | 1909.0 | 59 | 0.00 | 18.08 | 7.34b | 0.72 | 0.00 | 2687.83 | 269.57d | 53.04 |
| 7 | 55.0 | 41.36 | 289.5 | 4 | 0.00 | 3.62 | 0.14c | 0.08 | 0.00 | 1.27 | 0.05e | 0.03 |
| 8 | 0 | 0.00 | 0.0 | 0 | 0.00 | 0.00 | 0.00c | 0.00 | 0.00 | 0.00 | 0.00e | 0.00 |
| 9 | 46.1 | 25.56 | 178.9 | 3 | 0.00 | 11.97 | 0.29c | 0.20 | 0.00 | 28.63 | 0.76e | 0.53 |
| 10 | 0 | 0.00 | 0.0 | 0 | 0.00 | 0.00 | 0.00c | 0.00 | 0.00 | 0.00 | 0.00e | 0.00 |
| 11 | 15.1 | 96.19 | 673.3 | 15 | 0.00 | 18.08 | 1.60c | 0.43 | 0.00 | 37.21 | 2.13e | 0.78 |
| 12 | 55.0 | 60.29 | 422.0 | 5 | 0.00 | 17.01 | 0.47c | 0.28 | 0.00 | 107.28 | 1.73e | 1.63 |
| 13 | 15.1 | 96.86 | 678.0 | 14 | 0.00 | 8.75 | 0.80c | 0.24 | 0.00 | 23.13 | 0.99e | 0.44 |
| 14 | 12.6 | 86.77 | 607.4 | 16 | 0.00 | 10.55 | 0.98c | 0.27 | 0.00 | 387.06 | 12.08e | 6.16 |
| 15 | 15.1 | 75.69 | 529.8 | 10 | 0.00 | 5.21 | 0.53c | 0.17 | 0.00 | 18.78 | 0.59e | 0.31 |
| 16 | 15.1 | 134.26 | 939.8 | 21 | 0.00 | 14.92 | 1.91c | 0.46 | 0.00 | 568.77 | 22.61e | 10.36 |
| 17 | 28.7 | 78.30 | 548.1 | 8 | 0.00 | 5.42 | 0.36c | 0.13 | 0.00 | 7.71 | 0.37e | 0.16 |
| 18 | 8.4 | 255.69 | 1789.8 | 53 | 0.00 | 18.08 | 6.96b | 0.76 | 0.00 | 130.40 | 16.77e | 3.09 |
| 19 | 15.1 | 75.97 | 531.8 | 9 | 0.00 | 9.22 | 0.47c | 0.18 | 0.00 | 73.65 | 1.30e | 1.12 |
| 20 | 8.4 | 264.46 | 1851.2 | 55 | 0.00 | 31.45 | 7.25 b | 0.80 | 0.00 | 920.36 | 53.36e | 16.54 |
| 21 | 4.8 | 280.36 | 1962.5 | 64 | 0.00 | 81.04 | 10.49ab | 1.74 | 0.00 | 2534.04 | 637.09a | 79.97 |
| 22 | 4.8 | 278.50 | 1949.5 | 63 | 0.00 | 88.23 | 10.67a | 1.83 | 0.00 | 3024.96 | 503.61b | 75.53 |
| RD | P | Im | I30 | I60 | ||
|---|---|---|---|---|---|---|
| H | P1 | 0.293 * | 0.642 ** | 0.058 | 0.546 ** | 0.407 ** |
| P2 | 0.344 ** | 0.412 ** | −0.117 | 0.212 | 0.146 | |
| P3 | 0.379 ** | 0.601 ** | 0.008 | 0.473 ** | 0.368 ** | |
| P4 | 0.300 * | 0.544 ** | 0.040 | 0.477 ** | 0.358 ** | |
| P5 | 0.102 | 0.306 * | 0.179 | 0.410 ** | 0.308 * | |
| P6 | 0.263 * | 0.566 ** | 0.117 | 0.651 ** | 0.460 ** | |
| P7 | 0.522 ** | 0.524 ** | −0.121 | 0.206 | 0.131 | |
| P9 | −0.100 * | 0.168 | 0.209 | 0.166 | 0.300 * | |
| P11 | 0.069 | 0.300 * | 0.211 | 0.395 ** | 0.293 * | |
| P12 | 0.248 * | 0.574 ** | −0.020 | 0.122 | 0.148 | |
| P13 | 0.070 | 0.260 * | 0.198 | 0.398 ** | 0.259 * | |
| P14 | −0.007 | 0.257 * | 0.254 * | 0.409 ** | 0.321 ** | |
| P15 | 0.196 | 0.359 ** | 0.195 | 0.365 ** | 0.250 * | |
| P16 | 0.181 | 0.537 ** | 0.171 | 0.514 ** | 0.410 ** | |
| P17 | 0.399 ** | 0.656 ** | −0.019 | 0.330 ** | 0.294 * | |
| P18 | 0.385 ** | 0.642 ** | 0.041 | 0.520 ** | 0.369 ** | |
| P19 | 0.269 * | 0.366 ** | −0.025 | 0.131 | 0.106 | |
| P20 | 0.281 * | 0.643 ** | 0.073 | 0.553 ** | 0.410 ** | |
| P21 | 0.555 ** | 0.640 ** | −0.057 | 0.394 ** | 0.274 * | |
| P22 | 0.567 ** | 0.682 ** | −0.039 | 0.403 ** | 0.318 ** | |
| SLR | P1 | 0.002 | 0.310 * | 0.188 | 0.431 ** | 0.317 ** |
| P2 | 0.051 | 0.229 | 0.089 | 0.283 * | 0.151 | |
| P3 | −0.014 | 0.298 * | 0.223 | 0.410 ** | 0.366 ** | |
| P4 | −0.110 | 0.265 * | 0.290 * | 0.436 ** | 0.388 ** | |
| P5 | −0.100 | 0.099 | 0.176 | 0.207 | 0.167 | |
| P6 | 0.082 | 0.347 ** | 0.168 | 0.441 ** | 0.335 ** | |
| P7 | 0.337 ** | 0.408 ** | −0.088 | 0.126 | 0.023 | |
| P9 | −0.129 | 0.055 | 0.221 | 0.082 | 0.245 * | |
| P11 | −0.076 | 0.221 | 0.129 | 0.128 | 0.170 | |
| P12 | 0.460 ** | 0.420 ** | −0.077 | 0.265 * | 0.240 | |
| P13 | −0.154 | 0.000 | 0.210 | 0.319 ** | 0.155 | |
| P14 | −0.024 | 0.201 | 0.070 | 0.199 | 0.181 | |
| P15 | −0.096 | 0.024 | 0.225 | 0.204 | 0.097 | |
| P16 | −0.052 | 0.306 * | 0.113 | 0.179 | 0.225 | |
| P17 | 0.004 | 0.359 ** | 0.126 | 0.218 | 0.304 * | |
| P18 | −0.109 | 0.273 * | 0.172 | 0.290 * | 0.246 | |
| P19 | 0.027 | −0.013 | −0.064 | −0.048 | −0.064 | |
| P20 | 0.295 * | 0.498 ** | 0.079 | 0.396 ** | 0.373 ** | |
| P21 | 0.035 | 0.334 ** | 0.239 | 0.525 ** | 0.408 ** | |
| P22 | 0.004 | 0.315 ** | 0.284 * | 0.519 ** | 0.463 ** |
| Plot | N | a | b | F-Test | R2 | Sig. |
|---|---|---|---|---|---|---|
| 1 | 62 | 7.004 | 1.598 | 57.489 | 0.489 | 0.000 |
| 2 | 14 | 19.723 | 0.309 | 0.178 | 0.015 | 0.680 |
| 3 | 60 | 7.742 | 1.300 | 28.874 | 0.300 | 0.000 |
| 4 | 57 | 13.710 | 1.310 | 42.928 | 0.434 | 0.000 |
| 5 | 17 | 1.173 | 2.056 | 7.371 | 0.329 | 0.016 |
| 6 | 59 | 3.579 | 1.804 | 87.412 | 0.605 | 0.000 |
| 7 | 4 | 0.279 | 0.804 | 0.240 | 0.107 | 0.672 |
| 9 | 3 | 1.385 | 1.140 | 0.313 | 0.238 | 0.675 |
| 11 | 15 | 5.900 | −0.087 | 0.019 | 0.001 | 0.894 |
| 12 | 5 | 0.415 | 1.218 | 0.729 | 0.195 | 0.456 |
| 13 | 14 | 0.685 | 1.031 | 7.104 | 0.372 | 0.021 |
| 14 | 16 | 3.318 | 1.281 | 4.100 | 0.227 | 0.062 |
| 15 | 10 | 0.296 | 1.625 | 4.711 | 0.371 | 0.062 |
| 16 | 21 | 1.937 | 1.227 | 3.959 | 0.180 | 0.062 |
| 17 | 8 | 3.698 | −0.500 | 0.521 | 0.08 | 0.497 |
| 18 | 53 | 1.958 | 0.842 | 14.988 | 0.227 | 0.000 |
| 19 | 9 | 0.312 | 1.181 | 0.681 | 0.089 | 0.436 |
| 20 | 55 | 2.650 | 0.949 | 12.868 | 0.195 | 0.001 |
| 21 | 64 | 56.082 | 0.905 | 34.756 | 0.359 | 0.000 |
| 22 | 63 | 22.189 | 1.203 | 60.437 | 0.502 | 0.000 |
Publisher’s Note: MDPI stays neutral with regard to jurisdictional claims in published maps and institutional affiliations. |
© 2021 by the author. Licensee MDPI, Basel, Switzerland. This article is an open access article distributed under the terms and conditions of the Creative Commons Attribution (CC BY) license (http://creativecommons.org/licenses/by/4.0/).
Share and Cite
Fang, H. Water-Saving Soil Conservation Measures Should Be Used in Northern China: Evidence from Runoff Plot Data. Water 2021, 13, 853. https://doi.org/10.3390/w13060853
Fang H. Water-Saving Soil Conservation Measures Should Be Used in Northern China: Evidence from Runoff Plot Data. Water. 2021; 13(6):853. https://doi.org/10.3390/w13060853
Chicago/Turabian StyleFang, Haiyan. 2021. "Water-Saving Soil Conservation Measures Should Be Used in Northern China: Evidence from Runoff Plot Data" Water 13, no. 6: 853. https://doi.org/10.3390/w13060853
APA StyleFang, H. (2021). Water-Saving Soil Conservation Measures Should Be Used in Northern China: Evidence from Runoff Plot Data. Water, 13(6), 853. https://doi.org/10.3390/w13060853