Stratigraphic Analysis of Firn Cores from an Antarctic Ice Shelf Firn Aquifer
Abstract
1. Introduction
2. Materials and Methods
2.1. Study Area
2.2. Sample Collection and Handling
2.3. Laboratory Analysis
3. Results
3.1. Field Observations
3.2. Framework to Describe Firn Stratigraphy
3.2.1. Granulometry
3.2.2. Contacts between Layers and at the Boundaries of Recrystalised Structures
3.2.3. Recrystalized Structures
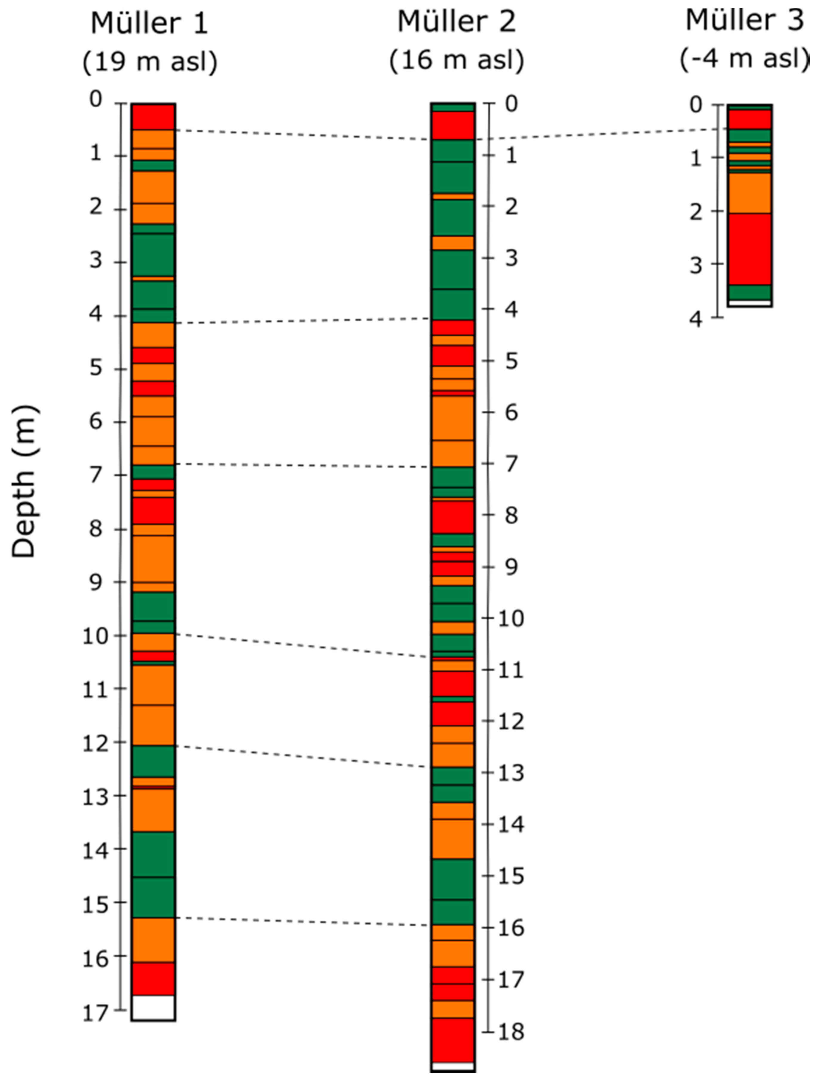
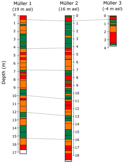
3.3. Observed Stratigraphy
3.3.1. Müller 1
3.3.2. Müller 2
3.3.3. Müller 3
3.3.4. Stratigraphic Correlations
4. Discussion
4.1. Framework to Describe Firn Stratigraphy
4.2. A Conceptual Firn Aquifer Model Based on Firn Core Analysis
4.3. Future Application of Firn Core Analyses in Hydrological Modelling
- Porosity
- Permeability
- Saturated fraction
- depth of the permeable layer
- likelihood of connections between layers
- presence of conduits or spaces within layers
Supplementary Materials
Author Contributions
Funding
Institutional Review Board Statement
Informed Consent Statement
Data Availability Statement
Acknowledgments
Conflicts of Interest
References
- Iken, A. The Effect of the Subglacial Water-Pressure on the Sliding Velocity of a Glacier in an Idealized Numerical-Model. J. Glaciol. 1981, 27, 407–421. [Google Scholar] [CrossRef]
- Reijmer, C.H.; van den Broeke, M.R.; Fettweis, X.; Ettema, J.; Stap, L.B. Refreezing on the Greenland ice sheet: A comparison of parameterizations. Cryosphere 2012, 6, 743–762. [Google Scholar] [CrossRef]
- Banwell, A.F.; MacAyeal, D.R.; Sergienko, O.V. Breakup of the Larsen B Ice Shelf triggered by chain reaction drainage of supraglacial lakes. Geophys. Res. Lett. 2013, 40, 5872–5876. [Google Scholar] [CrossRef]
- Montgomery, L.; Miège, C.; Miller, J.; Scambos, T.A.; Wallin, B.; Miller, O.; Solomon, D.K.; Forster, R.; Koenig, L. Hydrologic Properties of a Highly Permeable Firn Aquifer in the Wilkins Ice Shelf, Antarctica. Geophys. Res. Lett. 2020, 47. [Google Scholar] [CrossRef]
- Banwell, A. Ice-shelf stability questioned. Nature 2017, 544, 306–307. [Google Scholar] [CrossRef][Green Version]
- Bell, R.E.; Chu, W.; Kingslake, J.; Das, I.; Tedesco, M.; Tinto, K.J.; Zappa, C.J.; Frezzotti, M.; Boghosian, A.; Lee, W.S. Antarctic ice shelf potentially stabilized by export of meltwater in surface river. Nature 2017, 544, 344–348. [Google Scholar] [CrossRef]
- Scambos, T.; Fricker, H.A.; Liu, C.-C.; Bohlander, J.; Fastook, J.; Sargent, A.; Massom, R.; Wu, A.-M. Ice shelf disintegration by plate bending and hydro-fracture: Satellite observations and model results of the 2008 Wilkins ice shelf break-ups. Earth Planet. Sci. Lett. 2009, 280, 51–60. [Google Scholar] [CrossRef]
- MacAyeal, D.R.; Sergienko, O.V. The flexural dynamics of melting ice shelves. Ann. Glaciol. 2017, 54, 1–10. [Google Scholar] [CrossRef]
- Banwell, A.F.; Caballero, M.; Arnold, N.S.; Glasser, N.F.; Mac Cathles, L.; MacAyeal, D.R. Supraglacial lakes on the Larsen B ice shelf, Antarctica, and at Paakitsoq, West Greenland: A comparative study. Ann. Glaciol. 2014, 55, 1–8. [Google Scholar] [CrossRef]
- Buzzard, S.C.; Feltham, D.L.; Flocco, D. A Mathematical Model of Melt Lake Development on an Ice Shelf. J. Adv. Modeling Earth Syst. 2018, 10, 262–283. [Google Scholar] [CrossRef]
- Kingslake, J.; Ely, J.C.; Das, I.; Bell, R.E. Widespread movement of meltwater onto and across Antarctic ice shelves. Nature 2017, 544, 349–352. [Google Scholar] [CrossRef]
- Kingslake, J.; Ng, F.; Sole, A. Modelling channelized surface drainage of supraglacial lakes. J. Glaciol. 2017, 61, 185–199. [Google Scholar] [CrossRef]
- Forster, R.R.; Box, J.E.; van den Broeke, M.R.; Miège, C.; Burgess, E.W.; van Angelen, J.H.; Lenaerts, J.T.M.; Koenig, L.S.; Paden, J.; Lewis, C.; et al. Extensive liquid meltwater storage in firn within the Greenland ice sheet. Nat. Geosci. 2013, 7, 95–98. [Google Scholar] [CrossRef]
- Hubbard, B.; Luckman, A.; Ashmore, D.W.; Bevan, S.; Kulessa, B.; Kuipers Munneke, P.; Philippe, M.; Jansen, D.; Booth, A.; Sevestre, H.; et al. Massive subsurface ice formed by refreezing of ice-shelf melt ponds. Nat. Commun. 2016, 7, 11897. [Google Scholar] [CrossRef] [PubMed]
- Siegert, M. Vulnerable Antarctic ice shelves. Nat. Clim. Chang. 2016, 7, 11–12. [Google Scholar] [CrossRef]
- Buzzard, S.; Feltham, D.; Flocco, D. Modelling the fate of surface melt on the Larsen C Ice Shelf. Cryosphere 2018, 12, 3565–3575. [Google Scholar] [CrossRef]
- Lenaerts, J.T.M.; Lhermitte, S.; Drews, R.; Ligtenberg, S.R.M.; Berger, S.; Helm, V.; Smeets, C.J.P.P.; van de Broeke, M.R.; van de Berg, W.J.; van Meijgaard, E.; et al. Meltwater produced by wind–albedo interaction stored in an East Antarctic ice shelf. Nat. Clim. Chang. 2016, 7, 58–62. [Google Scholar] [CrossRef]
- Domack, E.W.; Ishman, S.E.; Stein, A.B.; McClennen, C.E.; Jull, A.J.T. Late Holocene Advance of the Muller Ice Shelf, Antarctic Peninsula—Sedimentological, Geochemical and Paleontological Evidence. Antarct. Sci. 1995, 7, 159–170. [Google Scholar] [CrossRef]
- Cook, A.J.; Vaughan, D.G. Overview of areal changes of the ice shelves on the Antarctic Peninsula over the past 50 years. Cryosphere 2010, 4, 77–98. [Google Scholar] [CrossRef]
- Carrasco, J.E.; Cordero, R.R. Analyzing Precipitation Changes in the Northern Tip of the Antarctic Peninsula during the 1970–2019 Period. Atmosphere 2020, 11, 1270. [Google Scholar] [CrossRef]
- Freeze, R.A.; Cherry, J.A. Groundwater; Prentice-Hall: Englewood Cliffs, NJ, USA, 1979; p. 604. [Google Scholar]
- Pfeffer, W.T.; Humphrey, N.F. Determination of timing and location of water movement and ice-layer formation by temperature measurements in sub-freezing snow. J. Glaciol. 1996, 42, 292–304. [Google Scholar] [CrossRef][Green Version]
- Fierz, C.; Armstrong, R.L.; Durand, Y.; Etchevers, P.; Greene, E.; McClung, D.M.; Nishimura, K.; Satvawali, P.K.; Sokratov, S.A. The International Classification for Seasonal Snow on the Ground. In IHP-VII Technical Documents in Hydrology 83; UNESCO-IHP: Paris, France, 2009. [Google Scholar]
- Siegert, M.; Atkinson, A.; Banwell, A.; Brandon, M.; Convey, P.; Davies, B.; Downie, R.; Edwards, T.; Hubbard, B.; Marshall, G.; et al. The Antarctic Peninsula Under a 1.5 degrees C Global Warming Scenario. Front. Environ. Sci. 2019, 7, 102. [Google Scholar] [CrossRef]















Publisher’s Note: MDPI stays neutral with regard to jurisdictional claims in published maps and institutional affiliations. |
© 2021 by the authors. Licensee MDPI, Basel, Switzerland. This article is an open access article distributed under the terms and conditions of the Creative Commons Attribution (CC BY) license (http://creativecommons.org/licenses/by/4.0/).
Share and Cite
MacDonell, S.; Fernandoy, F.; Villar, P.; Hammann, A. Stratigraphic Analysis of Firn Cores from an Antarctic Ice Shelf Firn Aquifer. Water 2021, 13, 731. https://doi.org/10.3390/w13050731
MacDonell S, Fernandoy F, Villar P, Hammann A. Stratigraphic Analysis of Firn Cores from an Antarctic Ice Shelf Firn Aquifer. Water. 2021; 13(5):731. https://doi.org/10.3390/w13050731
Chicago/Turabian StyleMacDonell, Shelley, Francisco Fernandoy, Paula Villar, and Arno Hammann. 2021. "Stratigraphic Analysis of Firn Cores from an Antarctic Ice Shelf Firn Aquifer" Water 13, no. 5: 731. https://doi.org/10.3390/w13050731
APA StyleMacDonell, S., Fernandoy, F., Villar, P., & Hammann, A. (2021). Stratigraphic Analysis of Firn Cores from an Antarctic Ice Shelf Firn Aquifer. Water, 13(5), 731. https://doi.org/10.3390/w13050731

