The Detection of Flood Characteristics Alteration Induced by the Danjiangkou Reservoir at Han River, China
Abstract
1. Introduction
2. Materials and Methods
2.1. Study Area
2.2. Flood Characteristic Indicators
2.3. Histogram Matching Approach (HMA)
- For one hydrological indicator, before the histogram constructed, the number of classes ncm must be determined according to the whole data of the pre- and postimpact periods. The classification number of the histogram should not be too large or too small to express the frequency characteristics of data distribution effectively. The following formula is used in this study:where is the function for the smallest integer greater than or equal to , is the difference between the largest and smallest data values, is total number of data, and is inter-quartile range, the difference between the 1/4 and 3/4 values.
- After the histograms statistics of (preimpact) and (postimpact), the dissimilarity is measured by using a quadratic-form distance.where and are frequency vectors of and , is statistical distance vector, and is similarity matrix, where is the similarity between classes and . The formula of as follows:where is distance between classes and , and and are the mean values of classes and .
2.4. Multiple Trend Analysis
3. Results
3.1. Flood Indicators Comparison between Pre- and Post-Operation Time Periods
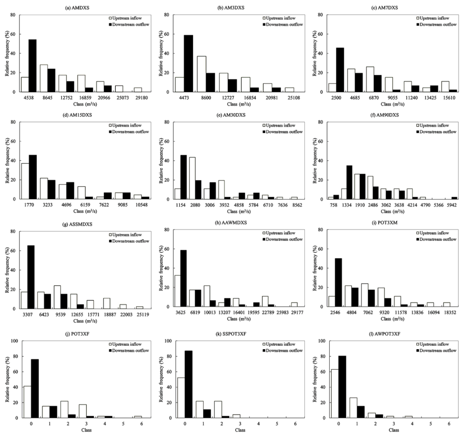
3.2. The Alteration Evaluation of Inflow and Outflow in Same Time Period
3.3. Trend Changes of Flood Characteristics at Upstream and Downstream Reservoir
4. Discussion
4.1. The Applicability of the Indicator System
4.2. The Reservoir Has Changed the Magnitude of Flood Significantly
4.3. The Reservoir Has Reduced the Flood Frequency of the Downstream Section Significantly
4.4. The Reservoir Has Changed the Trend and Periodicity of Flood Change in Adjacent River Sections
5. Conclusions
Author Contributions
Funding
Institutional Review Board Statement
Informed Consent Statement
Data Availability Statement
Conflicts of Interest
References
- Middelkoop, H.; Daamen, K.; Gellens, D.; Grabs, W.; Kwadijk, J.C.J.; Lang, H.; Parmet, B.W.A.H.; Schädler, B.; Schulla, J.; Wilke, K. Impact of Climate Change on Hydrological Regimes and Water Resources Management in the Rhine Basin. Clim. Chang. 2001, 49, 105–128. [Google Scholar] [CrossRef]
- Kay, A.; Davies, H.N.; Bell, V.A.; Jones, R.G. Comparison of uncertainty sources for climate change impacts: Flood frequency in England. Clim. Chang. 2009, 92, 41–63. [Google Scholar] [CrossRef]
- Criss, R.E.; Luo, M. Increasing risk and uncertainty of flooding in the Mississippi River basin. Hydrol. Process. 2017, 31, 1283–1292. [Google Scholar] [CrossRef]
- Tang, Y.; Xi, S.; Chen, X.; Lian, Y. Quantification of Multiple Climate Change and Human Activity Impact Factors on Flood Regimes in the Pearl River Delta of China. Adv. Meteorol. 2015, 2016, 1–11. [Google Scholar] [CrossRef]
- Linde, A.H.T.; Aerts, J.; Kwadijk, J.C.J. Effectiveness of flood management measures on peak discharges in the Rhine basin under climate change. J. Flood Risk Manag. 2010, 3, 248–269. [Google Scholar] [CrossRef]
- Van Der Knijff, J.M.; Younis, J.; De Roo, A.P.J. LISFLOOD: A GIS-based distributed model for river basin scale water balance and flood simulation. Int. J. Geogr. Inf. Sci. 2010, 24, 189–212. [Google Scholar] [CrossRef]
- Liang, Q. Flood Simulation Using a Well-Balanced Shallow Flow Model. J. Hydraul. Eng. 2010, 136, 669–675. [Google Scholar] [CrossRef]
- Turcotte, R.; Rousseau, A.N.; Fortin, J.-P.; Villeneuve, J.-P. A process-oriented, multiple-objective calibration strategy accounting for model structure. Water Sci. Appl. 2003, 6, 153–163. [Google Scholar] [CrossRef]
- Mediero, L.; Santillan, D.; Garrote, L.; Granados, A. Detection and attribution of trends in magnitude, frequency and timing of floods in Spain. J. Hydrol. 2014, 517, 1072–1088. [Google Scholar] [CrossRef]
- Maurer, E.P.; Stewart, I.T.; Bonfils, C.; Duffy, P.B.; Cayan, D. Detection, attribution, and sensitivity of trends toward earlier streamflow in the Sierra Nevada. J. Geophys. Res. Space Phys. 2007, 112. [Google Scholar] [CrossRef]
- Poff, N.L. Ecological response to and management of increased flooding caused by climate change. Philos. Trans. R. Soc. A Math. Phys. Eng. Sci. 2002, 360, 1497–1510. [Google Scholar] [CrossRef] [PubMed]
- Rajib, A.; Liu, Z.; Merwade, V.; Tavakoly, A.A.; Follum, M.L. Towards a large-scale locally relevant flood inundation modeling framework using SWAT and LISFLOOD-FP. J. Hydrol. 2020, 581, 124406. [Google Scholar] [CrossRef]
- Tian, J.; Yuan, Z.; Jia, B.; Li, M.; Jiang, G. The Stabilization Effect of the Density Dif-ference in the Modified Lattice Hydrodynamic Model of Traffic Flow. Phys. A Stat. Mech. Appl. 2012, 391, 19–4476. [Google Scholar] [CrossRef]
- Liu, Z.; Venkatesh, M. Separation and Prioritization of Uncertainty Sources in a Raster Based Flood In-undation Model Using Hierarchical Bayesian Model Averaging. J. Hydrol. 2019, 578, 124100. [Google Scholar] [CrossRef]
- Tabari, H. Extreme value analysis dilemma for climate change impact assessment on global flood and extreme precipitation. J. Hydrol. 2021, 593, 125932. [Google Scholar] [CrossRef]
- Lima, C.H.R.; Lall, U. Hierarchical Bayesian modeling of multisite daily rainfall occurrence: Rainy season onset, peak, and end. Water Resour. Res. 2009, 45. [Google Scholar] [CrossRef]
- Coscarelli, R.; Caloiero, T. Analysis of Daily and Monthly Rainfall Concentration in Southern Italy (Calabria Region). J. Hydrol. 2012, 416, 145–156. [Google Scholar] [CrossRef]
- Szolgay, J.; Parajka, J.; Kohnová, S.; Hlavčová, K. Comparison of mapping approaches of design annual maximum daily precipitation. Atmos. Res. 2009, 92, 289–307. [Google Scholar] [CrossRef]
- Villarini, G.; Smith, J.A.; Serinaldi, F.; Ntelekos, A.A. Analyses of seasonal and annual maximum daily discharge records for central Europe. J. Hydrol. 2011, 399, 299–312. [Google Scholar] [CrossRef]
- Ward, P.; Van Pelt, S.; De Keizer, O.; Aerts, J.; Beersma, J.; Hurk, B.V.D.; Linde, A.T. Including climate change projections in probabilistic flood risk assessment. J. Flood Risk Manag. 2013, 7, 141–151. [Google Scholar] [CrossRef]
- Parajka, J.; Kohnová, S.; Bálint, G.; Barbuc, M.; Borga, M.; Claps, P.; Cheval, S.; Dumitrescu, A.; Gaume, E.; Hlavčová, K.; et al. Seasonal characteristics of flood regimes across the Alpine-Carpathian range. J. Hydrol. 2010, 394, 78–89. [Google Scholar] [CrossRef] [PubMed]
- Poff, N.; LeRoy, J.; Allan, D.; Bain, M.B.; Karr, J.R.; Prestegaard, K.L.; Richter, B.D.; Sparks, R.E.; Stromberg, J.C. The Natural Flow Regime. a Paradigm for River Conservation and Restoration. BioScience 1997, 47, 769–784. [Google Scholar] [CrossRef]
- Richter, B.D.; Baumgartner, J.V.; Powell, J.; Braun, D.P. A Method for Assessing Hydrologic Alteration within Ecosystems. Conserv. Biol. 1996, 10, 1163–1174. [Google Scholar] [CrossRef]
- Zhaohui, L.; Zhu, Y.; Lin, Z.; Wang, J.; He, G.; Li, H.; Li, L.; Wang, H.; Jiang, S.; He, F.; et al. Energy Reduction Effect of the South-to-North Water Diversion Project in China. Sci. Rep. 2017, 7, 1–9. [Google Scholar] [CrossRef]
- Zhou, Y.; Guo, S.; Hong, X.; Chang, L.-C. Systematic impact assessment on inter-basin water transfer projects of the Hanjiang River Basin in China. J. Hydrol. 2017, 553, 584–595. [Google Scholar] [CrossRef]
- Mallakpour, I.; Villarini, G. Investigating the relationship between the frequency of flooding over the central United States and large-scale climate. Adv. Water Resour. 2016, 92, 159–171. [Google Scholar] [CrossRef]
- Razmi Ali, G.S.; Zahmatkesh, Z. Non-Stationary Frequency Analysis of Extreme Water Level: Ap-plication of Annual Maximum Series and Peak-over Threshold Approaches. Water Resour. Manag. 2017, 31, 2065–2083. [Google Scholar] [CrossRef]
- Archfield, S.; Hirsch, R.; Viglione, A.; Blöschl, G. Using a Peaks-over-Threshold Approach to Assess Changes in Flood Magnitude, Volume, Duration, and Frequency across the United States; EGU: Munich, Germany, 2014; Volume 16. [Google Scholar]
- Kusumastuti, D.I.; Struthers, I.; Sivapalan, M.; Reynolds, D.A. Threshold effects in catchment storm response and the occurrence and magnitude of flood events: Implications for flood frequency. Hydrol. Earth Syst. Sci. 2007, 11, 1515–1528. [Google Scholar] [CrossRef]
- Halgamuge, M.N.; Nirmalathas, A. Analysis of large flood events: Based on flood data during 1985–2016 in Australia and India. Int. J. Disaster Risk Reduct. 2017, 24, 1–11. [Google Scholar] [CrossRef]
- Richter, B.; Baumgartner, J.V.; Wigington, R.; Braun, D.P. How much water does a river need? Freshw. Biol. 1997, 37, 231–249. [Google Scholar] [CrossRef]
- Shiau, J.-T.; Wu, F.-C. A Histogram Matching Approach for assessment of flow regime alteration: Application to environmental flow optimization. River Res. Appl. 2008, 24, 914–928. [Google Scholar] [CrossRef]
- Kundzewicz, Z.; Merz, B.; Vorogushyn, S.; Hartmann, H.; Duethmann, D.; Wortmann, M.; Huang, S.; Su, B.; Jiang, T.; Krysanova, V. Analysis of changes in climate and river discharge with focus on seasonal runoff predictability in the Aksu River Basin. Environ. Earth Sci. 2015, 73, 501–516. [Google Scholar] [CrossRef]
- Yue, S.; Pilon, P.; Cavadias, G. Power of the Mann–Kendall and Spearman’s rho tests for detecting monotonic trends in hydrological series. J. Hydrol. 2002, 259, 254–271. [Google Scholar] [CrossRef]
- Bevelhimer, M.S.; A McManamay, R.; Oconnor, B.L. Characterizing Sub-Daily Flow Regimes: Implications of Hydrologic Resolution on Ecohydrology Studies. River Res. Appl. 2015, 31, 867–879. [Google Scholar] [CrossRef]
- Sellami, H.; Benabdallah, S.; La Jeunesse, I.; Vanclooster, M. Climate models and hydrological parameter uncertainties in climate change impacts on monthly runoff and daily flow duration curve of a Mediterranean catchment. Hydrol. Sci. J. 2016, 61, 1415–1429. [Google Scholar] [CrossRef]
- Frolov, A.V.; Georgievskii, V.Y. Changes in Water Resources under Conditions of Climate Warming and Their Impact on Water Inflow to Russian Large Reservoirs. Russ. Meteorol. Hydrol. 2018, 43, 390–396. [Google Scholar] [CrossRef]
- Yang, T.; Xu, C.-Y.; Shao, Q.-X.; Chen, X. Regional flood frequency and spatial patterns analysis in the Pearl River Delta region using L-moments approach. Stoch. Environ. Res. Risk Assess. 2009, 24, 165–182. [Google Scholar] [CrossRef]
- Woltemade, C.J. Form and Process: Fluvial Geomorphology and Flood-Flow Interaction, Grant River, Wis-consin. Ann. Assoc. Am. Geograph. 1994, 84, 462–479. [Google Scholar] [CrossRef]
- Beven, K. Towards the use of catchment geomorphology in flood frequency predictions. Earth Surf. Process. Landforms 1987, 12, 69–82. [Google Scholar] [CrossRef]
- Dankers, R.; Christensen, O.B.; Feyen, L.; Kalas, M.; De Roo, A. Evaluation of very high-resolution climate model data for simulating flood hazards in the Upper Danube Basin. J. Hydrol. 2007, 347, 319–331. [Google Scholar] [CrossRef]
- Bouwer, L.M.; Bubeck, P.; Aerts, J.C.J.H. Changes in Future Flood Risk Due to Climate and De-velopment in a Dutch Polder Area. Global Environ. Change Hum. Policy Dimens. 2010, 20, 463–471. [Google Scholar] [CrossRef]
- Poff, N.L.; Olden, J.D.; Merritt, D.M.; Pepin, D.M. Homogenization of regional river dynamics by dams and global biodiversity implications. Proc. Natl. Acad. Sci. 2007, 104, 5732–5737. [Google Scholar] [CrossRef]
- Sparks, R.E. Need for Ecosystem Management of Large Rivers and Their Floodplains These Phenomenally Pro-ductive Ecosystems Produce Fish and Wildlife and Preserve Species. BioScience 1995, 45, 168–182. [Google Scholar] [CrossRef]
- Thoms, M. Floodplain-river ecosystems: Lateral connections and the implications of human interference. Geomorphology 2003, 56, 335–349. [Google Scholar] [CrossRef]
- Yan, B.; Zhang, X.; Chen, Y.B.; Yao, L.Q.; Huang, F.; Chen, Q.H.; Gao, Q.S.; Zhang, L.G.; Guo, L.D. Analysis of variation characteristics of runoff at multi-time scales under the influence of reservoir. IOP Conf. Series: Earth Environ. Sci. 2019, 344, 012165. [Google Scholar] [CrossRef]
- Chen, Y.; Zhang, X.; Li, J.; Yan, B.; Chen, Q.; Xu, B.; Yao, L. Analysis of the Influence of Res-ervoir Regulation on the Multi-Scale Periodic Effect of Runoff Time Series. IOP Conf. Ser. Earth Environ. Sci. 2020, 560, 12042. [Google Scholar] [CrossRef]
- Huang, F.; Chen, Q.; Li, F.; Zhang, X.; Chen, Y.; Xia, Z.; Qiu, L. Reservoir-Induced Changes in Flow Fluctuations at Monthly and Hourly Scales: Case Study of the Qingyi River, China. J. Hydrol. Eng. 2015, 20, 05015008. [Google Scholar] [CrossRef]
- Zhang, Y.; Zheng, H.; Herron, N.; Liu, X.; Wang, Z.; Chiew, F.H.; Parajka, J. A framework estimating cumulative impact of damming on downstream water availability. J. Hydrol. 2019, 575, 612–627. [Google Scholar] [CrossRef]
- Chen, Q.; Zhang, X.; Chen, Y.; Li, Q.; Qiu, L.; Liu, M. Downstream Effects of a Hydropeaking Dam on Ecohydrological Conditions at Subdaily to Monthly Time Scales. Ecol. Eng. 2015, 77, 40–50. [Google Scholar] [CrossRef]
- Wang, H.; Sun, F.; Liu, W. Characteristics of streamflow in the main stream of Changjiang River and the impact of the Three Gorges Dam. Catena 2020, 189, 104498. [Google Scholar] [CrossRef]
- Ribeiro, J.; Bentes, L.; Coelho, R.; Gonçalves, J.M.; Lino, P.G.; Monteiro, P.; Erzini, K. Seasonal, tidal and diurnal changes in fish assemblages in the Ria Formosa lagoon (Portugal). Estuar. Coast. Shelf Sci. 2006, 67, 461–474. [Google Scholar] [CrossRef]
- Bouwman, A.F.; Bierkens, M.; Griffioen, J.; Hefting, M.M.; Middelburg, J.J.; Middelkoop, H.; Slomp, C.P. Nutrient dynamics, transfer and retention along the aquatic continuum from land to ocean: Towards integration of ecological and biogeochemical models. Biogeosciences 2013, 10, 1–22. [Google Scholar] [CrossRef]
- Li, Y.; Acharya, K.; Yu, Z. Modeling impacts of Yangtze River water transfer on water ages in Lake Taihu, China. Ecol. Eng. 2011, 37, 325–334. [Google Scholar] [CrossRef]
- Liro, M. Dam Reservoir Backwater as a Field-Scale Laboratory of Human-Induced Changes in River Biogeomor-phology: A Review Focused on Gravel-Bed Rivers. Sci. Total Environ. 2019, 651, 2899–2912. [Google Scholar] [CrossRef] [PubMed]
- Wang, X.-R.; Cheng, R.; Feng, X.-H.; Guo, Q.-S.; Xiao, W.-F. Characteristics of soil seed banks in backwater area of Three Gorges Reservoir water-level-fluctuating zone at initial stage of river-flooding. J. Appl. Ecol. 2009, 20, 2891–2897. [Google Scholar]







| Statistics Group | Flood Indicators | Abbreviation | Remarks |
|---|---|---|---|
| magnitude of annual and seasonal flood | Annual maximum daily mean streamflow(m3/s) | AMDXS | Maximum discharge for each hydrological year (1 March–28 (29) February) |
| Annual spring-summer maximum daily mean streamflow(m3/s) | ASSMDXS | Maximum discharge for each spring and summer (1 March–31 August) | |
| Annual autumn-winter maximum daily mean streamflow(m3/s) | AAWMDXS | Maximum discharge for each autumn and winter (1 September–28(29) February) | |
| magnitude-duration of annual extreme flood conditions | Annual maximum 3-day mean streamflow(m3/s) | AM3DXS | Maximum mean discharge of 3 days each hydrological year |
| Annual maximum 7-day mean streamflow(m3/s) | AM7DXS | Maximum mean discharge of 7 days each hydrological year | |
| Annual maximum 15-day mean streamflow(m3/s) | AM15DXS | Maximum mean discharge of 15 days each hydrological year | |
| Annual maximum 30-day mean streamflow(m3/s) | AM30DXS | Maximum mean discharge of 30 days each hydrological year | |
| Annual maximum 90-day mean streamflow(m3/s) | AM90DXS | Maximum mean discharge of 90 days each hydrological year | |
| peak-over-threshold series | Peak-over-threshold magnitude(m3/s) | POT3XM | Discharge peaks above threshold; on average three events per year |
| Peak-over-threshold frequency | POT3XF | Annual number of discharge peaks above threshold; on average three events per year | |
| Spring-summer peak-over-threshold frequency | SSPOT3XF | Annual number of spring and summer discharge peaks above threshold (1 March–31 August) | |
| Autumn-winter peak-over-threshold frequency | AWPOT3XF | Annual number of autumn and winter discharge peaks above threshold (1 September–28 (29) February) |
| Flood Indicators | Preoperation | Post-Operation | DMA/% b | DMC/% c | ||||||
|---|---|---|---|---|---|---|---|---|---|---|
| ave | max | min | CVa | ave | max | min | CV | |||
| magnitude of annual and seasonal flood (m3/s) | ||||||||||
| AMDXS | 14,997 | 27,400 | 3130 | 0.58 | 5068 | 20,057 | 829 | 0.89 | −9929/0.66 | 0.31/0.53 |
| ASSMDXS | 10,646 | 27,400 | 3130 | 0.77 | 3573 | 11,062 | 829 | 0.80 | −7073/0.66 | 0.03/0.04 |
| AAWMDXS | 9245 | 25,600 | 591 | 0.95 | 4850 | 20,057 | 637 | 1.06 | −4395/−0.48 | 0.11/0.12 |
| magnitude−duration of annual extreme flood conditions (m3/s) | ||||||||||
| AM3DXS | 12,651 | 23,867 | 2460 | 0.60 | 5292 | 18,582 | 828 | 0.88 | −7359/−0.58 | 0.28/0.47 |
| AM7DXS | 8886 | 16,174 | 2027 | 0.59 | 4507 | 13,748 | 740 | 0.81 | −4379/−0.49 | 0.22/0.37 |
| AM15DXS | 6094 | 10,245 | 1333 | 0.55 | 3500 | 9818 | 687 | 0.71 | −2594/−0.43 | 0.16/0.29 |
| AM30DXS | 4332 | 8609 | 1159 | 0.57 | 2693 | 7706 | 631 | 0.64 | −1639/−0.38 | 0.07/0.12 |
| AM90DXS | 2607 | 5105 | 907 | 0.50 | 1861 | 5586 | 509 | 0.52 | −746/−0.29 | 0.02/0.04 |
| peak-over-threshold series | ||||||||||
| POT3M (m3/s) | 8077 | 16,352 | 2217 | 0.57 | 3779 | 12,693 | 812 | 0.75 | −4298/−0.53 | 0.18/0.32 |
| POT3F | 1.2 | 3 | 0 | 0.95 | 0.29 | 3 | 0 | 2.23 | −0.91/−0.76 | 1.28/1.35 |
| SSPOT3XF | 0.6 | 3 | 0 | 1.61 | 0.06 | 1 | 0 | 3.91 | −0.54/−0.9 | 2.30/1.43 |
| AWPOT3XF | 0.6 | 3 | 0 | 1.61 | 0.23 | 2 | 0 | 2.25 | −0.37/−0.62 | 0.64/0.40 |
| Flood Indicators | Upstream Inflow | Downstream Outflow | DMA/% b | DMC/% c | D Value/%d | ||||||
|---|---|---|---|---|---|---|---|---|---|---|---|
| ave | max | min | CVa | ave | max | min | CV | ||||
| magnitude of annual and seasonal flood (m3/s) | |||||||||||
| AMDXS | 11,606 | 29,174 | 431 | 0.59 | 5536 | 20,057 | 829 | 0.92 | −6070/−0.52 | 0.33/0.56 | 0.21 |
| ASSMDXS | 9243 | 25,113 | 191 | 0.62 | 3461 | 11,062 | 829 | 0.83 | −5782/−0.63 | 0.21/0.34 | 0.32 |
| AAWMDXS | 8624 | 29,174 | 431 | 0.86 | 4823 | 20,057 | 637 | 1.09 | −3801/−0.44 | 0.23/0.27 | 0.16 |
| magnitude-duration of annual extreme flood conditions (m3/s) | |||||||||||
| AM3DXS | 9634 | 25,107 | 346 | 0.60 | 5214 | 18,582 | 828 | 0.91 | −4420/−0.46 | 0.31/0.52 | 0.28 |
| AM7DXS | 6916 | 15,610 | 315 | 0.58 | 4421 | 13,748 | 740 | 0.84 | −2495/−0.36 | 0.26/0.45 | 0.20 |
| AM15DXS | 4938 | 10,548 | 307 | 0.54 | 3399 | 9818 | 687 | 0.73 | −1539/−0.31 | 0.19/0.35 | 0.10 |
| AM30DXS | 3663 | 8560 | 228 | 0.53 | 2619 | 7706 | 631 | 0.66 | −1044/−0.29 | 0.13/0.25 | 0.24 |
| AM90DXS | 2370 | 5942 | 182 | 0.49 | 1831 | 5586 | 509 | 0.52 | −539/−0.23 | 0.03/0.06 | 0.10 |
| peak-over-threshold series | |||||||||||
| POT3M (m3/s) | 8077 | 16,352 | 2217 | 0.57 | 3779 | 12,693 | 812 | 0.75 | −4298/−0.53 | 0.18/0.32 | 0.21 |
| POT3F | 1.32 | 6 | 0 | 1.06 | 0.93 | 4 | 0 | 2.19 | −0.39/−0.30 | 1.13/1.07 | 0.19 |
| SSPOT3XF | 0.78 | 3 | 0 | 1.20 | 0.15 | 2 | 0 | 2.76 | −0.63/−0.81 | 1.56/1.30 | 0.21 |
| AWPOT3XF | 0.54 | 4 | 0 | 1.63 | 0.24 | 2 | 0 | 2.19 | −0.30/−0.56 | 0.56/0.34 | 0.05 |
| Mean value | 0.19 | ||||||||||
Publisher’s Note: MDPI stays neutral with regard to jurisdictional claims in published maps and institutional affiliations. |
© 2021 by the authors. Licensee MDPI, Basel, Switzerland. This article is an open access article distributed under the terms and conditions of the Creative Commons Attribution (CC BY) license (http://creativecommons.org/licenses/by/4.0/).
Share and Cite
Zhang, X.; Feng, B.; Zhang, J.; Xu, Y.; Li, J.; Niu, W.; Yang, Y. The Detection of Flood Characteristics Alteration Induced by the Danjiangkou Reservoir at Han River, China. Water 2021, 13, 496. https://doi.org/10.3390/w13040496
Zhang X, Feng B, Zhang J, Xu Y, Li J, Niu W, Yang Y. The Detection of Flood Characteristics Alteration Induced by the Danjiangkou Reservoir at Han River, China. Water. 2021; 13(4):496. https://doi.org/10.3390/w13040496
Chicago/Turabian StyleZhang, Xiao, Baofei Feng, Jun Zhang, Yinshan Xu, Jie Li, Wenjing Niu, and Yanfei Yang. 2021. "The Detection of Flood Characteristics Alteration Induced by the Danjiangkou Reservoir at Han River, China" Water 13, no. 4: 496. https://doi.org/10.3390/w13040496
APA StyleZhang, X., Feng, B., Zhang, J., Xu, Y., Li, J., Niu, W., & Yang, Y. (2021). The Detection of Flood Characteristics Alteration Induced by the Danjiangkou Reservoir at Han River, China. Water, 13(4), 496. https://doi.org/10.3390/w13040496
