Assessment of Full-Scale Indirect Potable Water Reuse in El Port de la Selva, Spain
Abstract
1. Introduction
2. Materials and Methods
2.1. Description of the Wastewater Treatment and Recharge System
2.2. Site Description of Recharge Area
2.3. Operation of Recharge Basins/Quality of Recharged Water
2.4. System Monitoring and Field Sampling
2.5. Analytical Procedure
2.5.1. Bulk Chemistry
2.5.2. Microbiological Parameters
2.5.3. Antimicrobial Resistance
2.5.4. Chemical Analysis
3. Results
3.1. Characterization of Groundwater Recharge System
3.1.1. Hydraulic Characterization
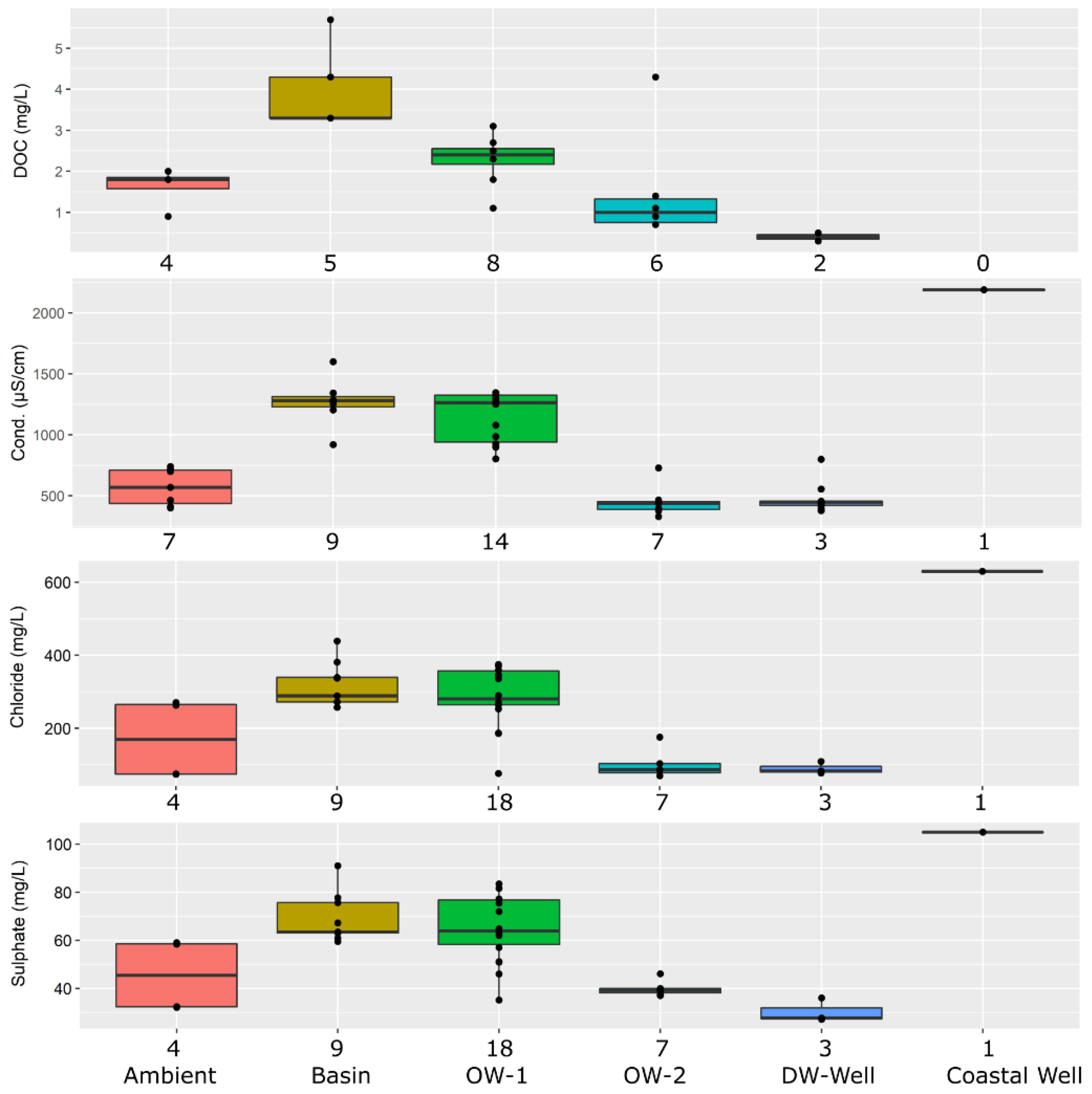
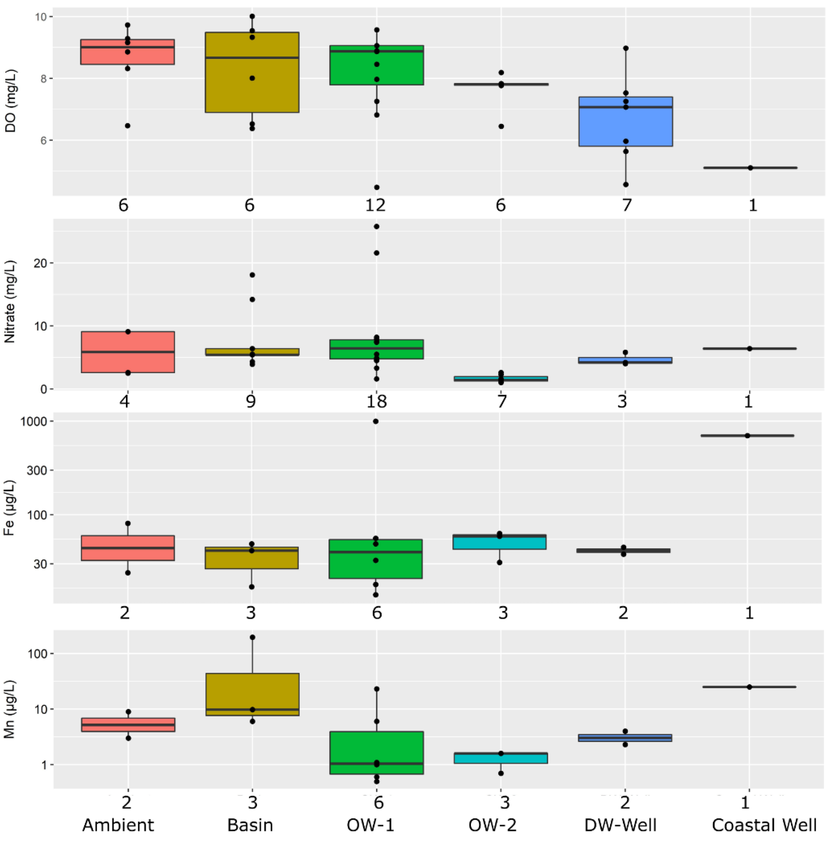
3.1.2. Hydrochemistry, Redox Conditions and Nutrients
3.2. Microbial Contamination
3.2.1. Removal of Fecal Indicator Organisms
3.2.2. Removal of Viruses
3.2.3. Compliance with International Guidelines
3.2.4. Antibiotic Microbial Resistance
3.3. Chemicals of Emerging Concern (CECs)
4. Conclusions
- Conventional wastewater treatment and tertiary dual media filtration and UV disinfection achieved >5 log median reduction of indicator bacteria and >4.5 log for MS2 phages as indicators for viruses.
- Indicator bacteria were completely removed (<1 CFU/100 mL) during infiltration to the first monitoring well after 33 h of subsurface travel resulting in an additional minimum of 0.5 log removal for all bacteria.
- Reduction rates of 0.08–0.22 log/d for MS2 phages were calculated from median concentrations measured in monitoring wells after 33 h and 57 h of HRT. Based on these rates and estimated HRT of minimum 350 days, the IPR system can meet virus removal targets defined in the WHO Potable Reuse Guidelines.
- Antibiotic resistance genes are effectively removed to background levels of groundwater after travel times of 33–57 h.
- Among the monitored 151 chemicals, 94 were detected at least once in the recharge basin with only 15 compounds exceeding regulatory values or health-based monitoring trigger levels (MTL). Three CECs constantly exhibited concentration above MTL in monitoring wells. However, the installation of an additional GAC treatment step as well as dilution with native groundwater will ensure additional reduction of these CECs. Future monitoring should include substances regulated in the revision of the Drinking Water Directive, i.e., per- and polyfluoroalkyl substances and endocrine disrupting compounds, which were not addressed in this study.
Supplementary Materials
Author Contributions
Funding
Acknowledgments
Conflicts of Interest
References
- WWAP (United Nations World Water Assessment Programme). The United Nations World Water Development Report 2017, Wastewater: The Untapped Resource; UNESCO: Paris, France, 2017; ISBN 978-92-3-100201-4. [Google Scholar]
- EEA (European Environment Agency). Use of Freshwater Resources. 2017. Available online: https://www.eea.europa.eu/data-and-maps/indicators/use-of-freshwater-resources-2/assessment-2 (accessed on 19 October 2017).
- Asano, T.; Burton, F.; Leverenz, H. Water Reuse: Issues, Technologies, and Applications; McGraw-Hill Education: New York, NY, USA, 2007; ISBN 9780071459273. [Google Scholar]
- EC (European Commission). Communication from the Commission to the European Parliament, the Council, the European Economic and Social Committee and the Committee of the Regions. 2012. A Blueprint to Safeguard Europe’s Water Resources. Available online: https://eur-lex.europa.eu/legal-content/EN/ALL/?uri=CELEX:52012DC0673 (accessed on 26 February 2018).
- EC (European Commission). Guidelines on Integrating Water Reuse into Water Planning and Management in the Context of the WFD. 2016. Available online: https://circabc.europa.eu/sd/a/f36280ac-9ddf-419d-8f35-c5b1f63d402b/CIS%20Guidelines%20on%20Water%20Reuse-final.pdf (accessed on 31 May 2020).
- WHO (World Health Organisation). Guidelines for Drinking-Water Quality: Fourth Edition Incorporating the First Addendum. 2017. Available online: http://apps.who.int/iris/bitstream/10665/254637/1/9789241549950-eng.pdf?ua=1 (accessed on 26 February 2018).
- Drewes, J.E.; Horstmeyer, N. Recent Developments in Potable Water Reuse. In Advanced Treatment Technologies for Urban Wastewater Reuse; Fatta-Kassinos, D., Dionysiou, D., Kümmerer, K., Eds.; Springer: Cham, Switzerland, 2016; pp. 269–290. [Google Scholar]
- AWWA (American Water Works Association). Potable Reuse 101: An Innovative and Sustainable Water Supply Solution. 2016. Available online: https://www.awwa.org/Portals/0/files/resources/water%20knowledge/rc%20reuse/Potable%20Reuse%20101.pdf (accessed on 26 February 2018).
- Drewes, J.E.; Horstmeyer, N.; Michel, P.; Khan, S. Producing high-quality recycled water. In Innovative Wastewater Treatment & Resource Recovery Technologies: Impacts on Energy, Economy and Environment; Lema, J.M., Suarez, S., Eds.; IWA Publishing: London, UK, 2017; pp. 285–296. [Google Scholar]
- Hellauer, K.; Mergel, D.; Ruhl, A.; Filter, J.; Hübner, U.; Jekel, M.; Drewes, J. Advancing Sequential Managed Aquifer Recharge Technology (SMART) Using Different Intermediate Oxidation Processes. Water 2017, 9, 221. [Google Scholar] [CrossRef]
- Drewes, J.E.; Regnery, J.; Dickenson, E.; Gerba, C.P.; Missimer, T. Role of Retention Time in the Environmental Buffer of Indirect Potable Reuse Projects: An Investigation on Managed Aquifer Recharge; Water Reuse Research Fundation: Alexandria, VA, USA, 2015; p. 180. Available online: https://watereuse.org/watereuse-research/role-of-retention-time-in-the-environmental-buffer-of-indirect-potable-reuse-projects-an-investigation-on-managed-aquifer-recharge/ (accessed on 22 February 2017).
- Lazarova, V.; Asano, T.; Bahri, A.; Anderson, J. Milestones in Water Reuse: The Best Success Stories; IWA Publishing: London, UK, 2013; ISBN 9781780400075. [Google Scholar]
- Frigola, X.; Bayer, M.; Taberna, E.; Gracia, D.; Sprenger, C.; Schwarzmüller, H.; Seis, W.; Kraus, F. Annual Progress Report on the Implementation of Water Reuse in El Port de la Selva. 2015. Available online: https://www.google.com/url?sa=t&rct=j&q=&esrc=s&source=web&cd=&ved=2ahUKEwi_m9yd68rqAhUEZMAKHdFHADwQFjAAegQIBBAB&url=http%3A%2F%2Fwww.kompetenz-wasser.de%2Fwp-content%2Fuploads%2F2017%2F05%2Fdemoware_annual_progress_report_elport_aca_2015_final.pdf&usg=AOvVaw0UQyeRpiaNfa8CsJPEYFFn (accessed on 20 March 2019).
- Miehe, U.; Stüber, J. D1.1 Partial Disinfection Technologies for Water Reuse: Case Studies and Design Guidelines. 2016, p. 75. Available online: http://demoware.ctm.com.es/en/demo-sites/el-port-de-la-selva (accessed on 27 March 2019).
- Zietzschmann, F.; Sprenger, C.; Seis, W.; Kraus, F.; Miehe, U.; Schwarzmüller, H.; Vilanova, E.; Bayer, M.; Lakretz, A.; Cikurel, H.; et al. D1.4 Pretreatment Requirements and Design Guidelines for SAT Technologies, and Two SAT Case Studies. 2017. Available online: http://demoware.ctm.com.es/en/demo-sites/el-port-de-la-selva (accessed on 13 February 2020).
- Diersch, H.-J. FEFLOW—Finite Element Modeling of Flow, Mass and Heat Transport in Porous and Fractured Media; Springer: Berlin/Heidelberg, Germany, 2014; ISBN 978-3-642-38739-5. [Google Scholar]
- Standing Committee of Analysts. The Microbiology of Drinking Water (2002)—Part 4a—Methods for the isolation and enumeration of coliform bacteria and Escherichia coli (including E. coli O157:H7). Methods for the Examination of Waters and Associated Materials; Environment Agency: Bristol, UK, 2002. [Google Scholar]
- APHA, AWWA & WPCF, APHA Method 9222: Standard Methods for the Examination of Water and Wastewater; American Public Health Association; American Water Works Association; Water Pollution Control Federation: Washington, DC, USA, 1989.
- Standing Committee of Analysts. The Microbiology of Drinking Water (2002)—Part 5b—Isolation and Enumeration of Enterococci by Membrane Filtration. Methods for the Examination of Waters and Associated Materials; Environment Agency: Bristol, UK, 2002. [Google Scholar]
- ISO. ISO 7899-2:2000(en)—Water Quality—Detection and Enumeration of Intestinal Enterococci—Part 2: Membrane Filtration Method; International Standard Organization: Geneva, Switzerland, 2000. [Google Scholar]
- Standing Committee of Analysts. The Microbiology of Drinking Water (2002)—Part 6c—Methods for the Isolation and Enumeration of Sulphite-Reducing Clostridia and Clostridium Perfringens by Membrane Filtration. Methods for the Examination of Waters and Associated Materials; Environment Agency: Bristol, UK, 2002. [Google Scholar]
- ISO. ISO 10705-2:2000—Water Quality—Detection and Enumeration of Bacteriophages—Part 2: Enumeration of Somatic Coliphages; International Standard Organization: Geneva, Switzerland, 2000. [Google Scholar]
- Calgua, B.; Fumian, T.; Rusiñol, M.; Rodriguez-Manzano, J.; Mbayed, V.A.; Bofill-Mas, S.; Miagostovich, M.; Girones, R. Detection and quantification of classic and emerging viruses by skimmed-milk flocculation and PCR in river water from two geographical areas. Water Res. 2013, 47, 2797–2810. [Google Scholar] [CrossRef] [PubMed]
- Calgua, B.; Rodriguez-Manzano, J.; Hundesa, A.; Suñen, E.; Calvo, M.; Bofill-Mas, S.; Girones, R. New methods for the concentration of viruses from urban sewage using quantitative PCR. J. Virol. Methods 2013, 187, 215–221. [Google Scholar] [CrossRef] [PubMed]
- Bofill-Mas, S.; Albinana-Gimenez, N.; Clemente-Casares, P.; Hundesa, A.; Rodriguez-Manzano, J.; Allard, A.; Calvo, M.; Girones, R. Quantification and Stability of Human Adenoviruses and Polyomavirus JCPyV in Wastewater Matrices. Appl. Environ. Microbiol. 2006, 72, 7894. [Google Scholar] [CrossRef] [PubMed]
- Hernroth, B.E.; Conden-Hansson, A.-C.; Rehnstam-Holm, A.-S.; Girones, R.; Allard, A.K. Environmental factors influencing human viral pathogens and their potential indicator organisms in the blue mussel, Mytilus edulis: The first Scandinavian report. Appl. Environ. Microbiol. 2002, 68, 4523–4533. [Google Scholar] [CrossRef] [PubMed]
- Da Silva, A.K.; Le Saux, J.-C.; Parnaudeau, S.; Pommepuy, M.; Elimelech, M.; Le Guyader, F.S. Evaluation of removal of noroviruses during wastewater treatment, using real-time reverse transcription-PCR: Different behaviors of genogroups I and II. Appl. Environ. Microbiol. 2007, 73, 7891–7897. [Google Scholar] [PubMed]
- Svraka, S.; Duizer, E.; Vennema, H.; de Bruin, E.; van der Veer, B.; Dorresteijn, B.; Koopmans, M. Etiological Role of Viruses in Outbreaks of Acute Gastroenteritis in The Netherlands from 1994 through 2005. J. Clin. Microbiol. 2007, 45, 1389. [Google Scholar] [CrossRef]
- Kageyama, T.; Kojima, S.; Shinohara, M.; Uchida, K.; Fukushi, S.; Hoshino, F.B.; Takeda, N.; Katayama, K. Broadly Reactive and Highly Sensitive Assay for Norwalk-Like Viruses Based on Real-Time Quantitative Reverse Transcription-PCR. J. Clin. Microbiol. 2003, 41, 1548. [Google Scholar] [CrossRef]
- Zeng, S.Q.; Halkosalo, A.; Salminen, M.; Szakal, E.D.; Puustinen, L.; Vesikari, T. One-step quantitative RT-PCR for the detection of rotavirus in acute gastroenteritis. J. Virol. Methods 2008, 153, 238–240. [Google Scholar] [CrossRef]
- Mohamed, N.; Elfaitouri, A.; Fohlman, J.; Friman, G.; Blomberg, J. A sensitive and quantitative single-tube real-time reverse transcriptase-PCR for detection of enteroviral RNA. J. Clin. Virol. 2004, 30, 150–156. [Google Scholar] [CrossRef]
- Corless, C.E.; Guiver, M.; Borrow, R.; Edwards-Jones, V.; Fox, A.J.; Kaczmarski, E.B.; Mutton, K.J. Development and evaluation of a ‘real-time’ RT-PCR for the detection of enterovirus and parechovirus RNA in CSF and throat swab samples. J. Med Virol. 2002, 67, 555–562. [Google Scholar] [CrossRef] [PubMed]
- López-Gutiérrez, J.C.; Henry, S.; Hallet, S.; Martin-Laurent, F.; Catroux, G.; Philippot, L. Quantification of a novel group of nitrate-reducing bacteria in the environment by real-time PCR. J. Microbiol. Methods 2004, 57, 399–407. [Google Scholar] [CrossRef] [PubMed]
- Pei, R.; Kim, S.-C.; Carlson, K.H.; Pruden, A. Effect of River Landscape on the sediment concentrations of antibiotics and corresponding antibiotic resistance genes (ARG). Water Res. 2006, 40, 2427–2435. [Google Scholar] [CrossRef] [PubMed]
- Volkmann, H.; Schwartz, T.; Bischoff, P.; Kirchen, S.; Obst, U. Detection of clinically relevant antibiotic-resistance genes in municipal wastewater using real-time PCR (TaqMan). J. Microbiol. Methods 2004, 56, 277–286. [Google Scholar] [CrossRef] [PubMed]
- Alexander, J.; Bollmann, A.; Seitz, W.; Schwartz, T. Microbiological characterization of aquatic microbiomes targeting taxonomical marker genes and antibiotic resistance genes of opportunistic bacteria. Sci. Total Environ. 2015, 512–513, 316–325. [Google Scholar]
- Hermes, N.; Jewell, K.S.; Wick, A.; Ternes, T.A. Quantification of more than 150 micropollutants including transformation products in aqueous samples by liquid chromatography-tandem mass spectrometry using scheduled multiple reaction monitoring. J. Chromatogr. A 2018, 1531, 64–73. [Google Scholar] [CrossRef]
- Betancourt, W.Q.; Kitajima, M.; Wing, A.D.; Regnery, J.; Drewes, J.E.; Pepper, I.L.; Gerba, C.P. Assessment of virus removal by managed aquifer recharge at three full-scale operations. J. Environ. Sci. HealthPart A 2014, 49, 1685–1692. [Google Scholar] [CrossRef]
- Maliva, R.G. Anthropogenic Aquifer Recharge: WSP Methods in Water Resources Evaluation Series; Springer International Publishing: Cham, Switzerland, 2019; p. 861. ISBN 9783030110840. [Google Scholar]
- Ho, J.; Seidel, M.; Niessner, R.; Eggers, J.; Tiehm, A. Long amplicon (LA)-qPCR for the discrimination of infectious and noninfectious phix174 bacteriophages after UV inactivation. Water Res. 2016, 103, 141–148. [Google Scholar] [CrossRef]
- Regnery, J.; Gerba, C.P.; Dickenson, E.R.V.; Drewes, J.E. The importance of key attenuation factors for microbial and chemical contaminants during managed aquifer recharge: A review. Crit. Rev. Environ. Sci. Technol. 2017, 47, 1409–1452. [Google Scholar] [CrossRef]
- WHO. Antimicrobial Resistance: An Emerging Water, Sanitation and Hygiene Issue. 2014. Available online: https://www.google.com/url?sa=t&rct=j&q=&esrc=s&source=web&cd=&cad=rja&uact=8&ved=2ahUKEwizpN_yxPDqAhVEKewKHUchD8sQFjAOegQICBAB&url=https%3A%2F%2Fapps.who.int%2Firis%2Frest%2Fbitstreams%2F910174%2Fretrieve&usg=AOvVaw2LKX--Yz9c8PSj6_3dmeT9 (accessed on 3 May 2020).
- COUNCIL DIRECTIVE 98/83/EC: Council Directive 98/83/EC of 3 November 1998 on the Quality of Water Intended for Human Consumption. Available online: http://data.europa.eu/eli/dir/1998/83/oj (accessed on 14 July 2020).
- Groundwater Directive (GWD) 2006/118/EC: Directive 2006/118/EC of the European Parliament and of the Council of 12 December 2006 on the Protection of Groundwater Against POLLUTION and Deterioration. Available online: http://eur-lex.europa.eu/LexUriServ/LexUriServ.do?uri=OJ:L:2006:372:0019:0031:EN:PDF (accessed on 20 July 2020).
- Council of the European Union, ST 6060 2020 REV 1: Proposal for a Directive of the European Parliament and of the Council on the Quality of Water INTENDED for Human Consumption (Recast)—Political Agreement. 2020. Available online: https://eur-lex.europa.eu/legal-content/EN/TXT/?qid=1583491875802&uri=CONSIL:ST_6060_2020_REV_1 (accessed on 4 November 2020).
- Drewes, J.E.; Anderson, P.; Denslow, N.; Jakubowski, W.; Olivieri, A.; Schlenk, D.; Snyder, S.A. Monitoring Strategies for Constituents of Emerging Concern (CECs) in Recycled Water: Recommendations of a Science Advisory Panel. SCCWRP Technical Report 1032. 2018. Available online: http://ftp.sccwrp.org/pub/download/DOCUMENTS/TechnicalReports/1032_CECMonitoringInRecycledWater.pdf (accessed on 3 May 2018).
- Drewes, J.E.; Anderson, P.; Denslow, N.; Olivieri, A.; Schlenk, D.; Snyder, S.A.; Maruya, K.A. Designing monitoring programs for chemicals of emerging concern in potable reuse – what to include and what not to include? Water Sci. Technol. 2013, 67, 433–439. [Google Scholar] [CrossRef]
- UBA (Umweltbundesamt). Gesundheitlicher Orientierungswert—GOW. 2020. Available online: https://www.umweltbundesamt.de/dokument/gow-liste-pdf (accessed on 20 October 2020).
- Maeng, S.K.; Sharma, S.K.; Lekkerkerker-Teunissen, K.; Amy, G.L. Occurrence and fate of bulk organic matter and pharmaceutically active compounds in managed aquifer recharge: A review. Water Res. 2011, 45, 3015–3033. [Google Scholar] [CrossRef] [PubMed]
- Hermes, N.; Jewell, K.S.; Schulz, M.; Müller, J.; Hübner, U.; Wick, A.; Drewes, J.E.; Ternes, T.A. Elucidation of removal processes in sequential biofiltration (SBF) and soil aquifer treatment (SAT) by analysis of a broad range of trace organic chemicals (TOrCs) and their transformation products (TPs). Water Res. 2019, 163, 114857. [Google Scholar] [PubMed]
- Bourgin, M.; Beck, B.; Boehler, M.; Borowska, E.; Fleiner, J.; Salhi, E.; Teichler, R.; von Gunten, U.; Siegrist, H.; McArdell, C.S. Evaluation of a full-scale wastewater treatment plant upgraded with ozonation and biological post-treatments: Abatement of micropollutants, formation of transformation products and oxidation by-products. Water Res. 2018, 129, 486–498. [Google Scholar] [CrossRef] [PubMed]
- Sperlich, A.; Harder, M.; Zietzschmann, F.; Gnirss, R. Fate of Trace Organic Compounds in Granular Activated Carbon (GAC) Adsorbers for Drinking Water Treatment. Water 2017, 9, 479. [Google Scholar] [CrossRef]








| Reference MO | Antibiotic | Gene | R2 | Primer (5′ → 3′) | |
|---|---|---|---|---|---|
| Whole microbial community | - | 16S rRNA (202 bp) | 0.989 | 341 f | GACTCCTACGGGAGGCWGCAG |
| 515 r | GTATTACCGCGGCTGCTGG [33] | ||||
| Escherichia coli J53 (Plasmid R388) | Sulfamethoxazole | Sul1 (162 bp) | 0.983 | f | CGCACCGGAAACATCGCTGCAC |
| r | TGAAGTTCCGCCGCAAGGCTCG [34] | ||||
| Enterococcus faecium B7641 | Vancomycin | VanA (65 bp) | 0.992 | f | CTGTGAGGTCGGTTGTGCG |
| r | TTTGGTCCACCTCGCCA [35] | ||||
| Pseudomonas aeruginosa VR143 | Imipenem | BlaVIM (62 bp) | 0.985 | f | CCTCCATTGAGCGGATTCA |
| r | GCCGTGCCCCGGAA [35] | ||||
| Enterobacter cloacae NZ11 | Ampicillin | ampC (67 bp) | 0.993 | f | GGGAATGCTGGATGCACAA |
| r | CATGACCCAGTTCGCCATATC [35] | ||||
| Streptococcus hyointestinalis DSM 20770 | Erythromycin | ermB (71 bp) | 0.997 | f | TGAATCGAGACTTGAGTGTGCAA |
| r | GGATTCTACAAGCGTACCTT [36] |
| Distance from Pond Edge | Predominant Residence Time | Predominant Flow Velocity | Median Residence Time | Median Flow Velocity | |
|---|---|---|---|---|---|
| (m) | (h) | Vdom (m/h) 1 | (h) | Vmed (m/h) 2 | |
| Basin 2-PZ7 | 3 | 11.5 | 0.3 | 33.2 | 0.1 |
| Basin 2-PZ6 | 23 | 55 | 0.4 | 57 | 0.4 |
| Indicator Organisms | Conventional WWTP | Tertiary Treatment | Soil-Aquifer Treatment | |||
|---|---|---|---|---|---|---|
|
Log Reduction (Measured) | Log Reduction/d | |||||
| PZ7 | PZ6 | PZ7 | PZ6 | |||
| Total coliforms | 2.84 | 2.85 | >0.91 | >0.91 | n.d. | n.d. |
| E. coli | 2.77 | 2.92 | >0.49 | >0.49 | n.d. | n.d. |
| E. faecalis | 2.17 | 2.57 | >1.06 | >1.09 | n.d. | n.d. |
| C. perfringens | 1.95 | 2.83 | >0.73 | >0.73 | n.d. | n.d. |
| Bacteria (median) | 2.47 | 2.84 | >0.81 | >0.81 | >0.59 | >0.34 |
| MS2 phages | 2.21 | 2.49 | 0.31 | 0.18 | 0.22 | 0.08 |
Publisher’s Note: MDPI stays neutral with regard to jurisdictional claims in published maps and institutional affiliations. |
© 2021 by the authors. Licensee MDPI, Basel, Switzerland. This article is an open access article distributed under the terms and conditions of the Creative Commons Attribution (CC BY) license (http://creativecommons.org/licenses/by/4.0/).
Share and Cite
Fajnorová, S.; Sprenger, C.; Hermes, N.; Ternes, T.A.; Sala, L.; Miehe, U.; Drewes, J.E.; Hübner, U. Assessment of Full-Scale Indirect Potable Water Reuse in El Port de la Selva, Spain. Water 2021, 13, 325. https://doi.org/10.3390/w13030325
Fajnorová S, Sprenger C, Hermes N, Ternes TA, Sala L, Miehe U, Drewes JE, Hübner U. Assessment of Full-Scale Indirect Potable Water Reuse in El Port de la Selva, Spain. Water. 2021; 13(3):325. https://doi.org/10.3390/w13030325
Chicago/Turabian StyleFajnorová, Soňa, Christoph Sprenger, Nina Hermes, Thomas A. Ternes, Lluís Sala, Ulf Miehe, Jörg E. Drewes, and Uwe Hübner. 2021. "Assessment of Full-Scale Indirect Potable Water Reuse in El Port de la Selva, Spain" Water 13, no. 3: 325. https://doi.org/10.3390/w13030325
APA StyleFajnorová, S., Sprenger, C., Hermes, N., Ternes, T. A., Sala, L., Miehe, U., Drewes, J. E., & Hübner, U. (2021). Assessment of Full-Scale Indirect Potable Water Reuse in El Port de la Selva, Spain. Water, 13(3), 325. https://doi.org/10.3390/w13030325

