Evaluation of Improved Model to Accurately Monitor Soil Water Content
Abstract
:1. Introduction
2. Materials and Methods
2.1. Soil Description
2.2. Experiment Design
2.2.1. Sample Preparation for Evaluating the Campbell Model
2.2.2. Calibration of the Revised Model
2.2.3. Soil Thermal Properties and Water Content Measurement
2.3. Evaluation Methods
2.3.1. The Campbell Model
2.3.2. Error Analysis
3. Results
3.1. Campbell Model Implications
3.1.1. Among Soil with Different Textures
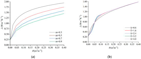
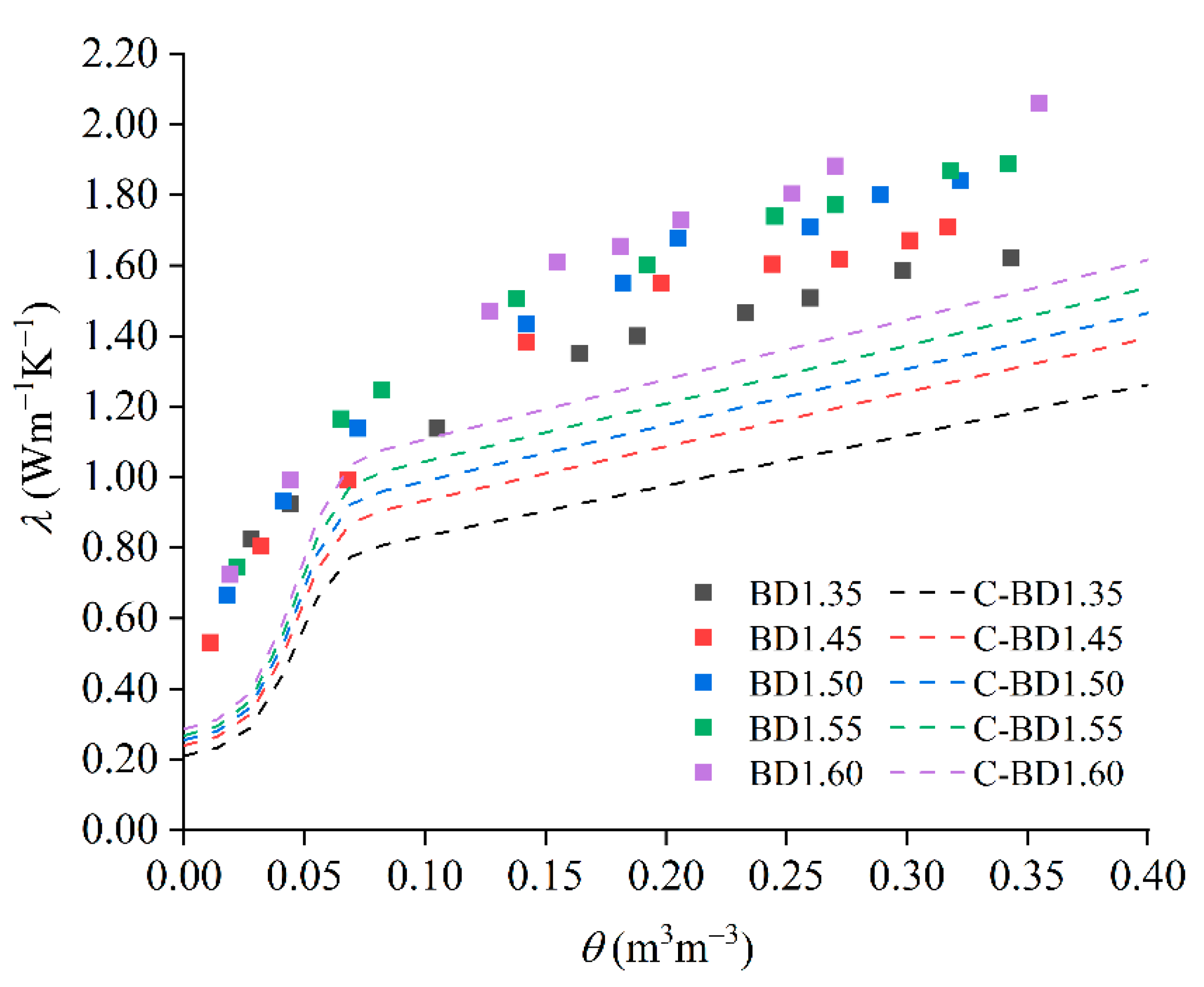
3.1.2. Among Soil with Different Bulk Densities
3.1.3. Among Soil with Different Organic Matter Contents
3.2. Summary of Error Sources in the Campbell Model Curve
- Among the various factors, Campbell has the lowest match degree of soils with different bulk densities. Therefore, it may be necessary to focus on parameters related to bulk density. The soil texture and organic matter content will affect the particle density of soil. In the Campbell model, the values of the parameters B and D default the soil particle density to 2.65 g/cm3.
- The organic matter not only reduces the density of soil particles but also interacts with clay particles in the soil, thereby affecting the parameters related to clay content in the Campbell model.
- Various parameters have different influences on the shape of the model and the parameters for correction can be determined by changes in the shape.
4. Discussion
4.1. Revised Model
4.2. Evaluation and Error Analysis
4.2.1. Model Evaluation by Laboratory Data
4.2.2. Model Evaluation by Data from Previous Studies
5. Conclusions
Author Contributions
Funding
Institutional Review Board Statement
Informed Consent Statement
Data Availability Statement
Acknowledgments
Conflicts of Interest
References
- Forouzani, M.; Karami, E. Agricultural water poverty index and sustainability. Agron. Sustain. Dev. 2010, 31, 415–431. [Google Scholar] [CrossRef] [Green Version]
- Koech, R.; Langat, P. Improving Irrigation Water Use Efficiency: A Review of Advances, Challenges and Opportunities in the Australian Context. Water 2018, 10, 1771. [Google Scholar] [CrossRef] [Green Version]
- Velasco-Muñoz, J.F.; Aznar-Sánchez, J.A.; Batlles-Delafuente, A.; Fidelibus, M.D. Sustainable Irrigation in Agriculture: An Analysis of Global Research. Water 2019, 11, 1758. [Google Scholar] [CrossRef] [Green Version]
- Wu, P.T. The modern water-saving agricultural technology: Progress and focus. Afr. J. Biotechnol. 2010, 9, 6017–6026. [Google Scholar]
- Ozdogan, M. Exploring the potential contribution of irrigation to global agricultural primary productivity. Glob. Biogeochem. Cycles 2011, 25. [Google Scholar] [CrossRef]
- Xiang, K.; Li, Y.; Horton, R.; Feng, H. Similarity and difference of potential evapotranspiration and reference crop evapotranspiration—A review. Agric. Water Manag. 2020, 232, 106043. [Google Scholar] [CrossRef]
- Hashem, M.; Qi, X. Treated Wastewater Irrigation—A Review. Water 2021, 13, 1527. [Google Scholar] [CrossRef]
- Hatamkhani, A.; Moridi, A. Optimal Development of Agricultural Sectors in the Basin Based on Economic Efficiency and Social Equality. Water Resour. Manag. 2021, 35, 917–932. [Google Scholar] [CrossRef]
- Hatamkhani, A.; Moridi, A. Multi-Objective Optimization of Hydropower and Agricultural Development at River Basin Scale. Water Resour. Manag. 2019, 33, 4431–4450. [Google Scholar] [CrossRef]
- Medici, L.; Reinert, F.; de Carvalho, D.F.; Kozak, M.; Azevedo, R.A. What about keeping plants well watered? Environ. Exp. Bot. 2014, 99, 38–42. [Google Scholar] [CrossRef]
- Wang, J.; He, H.; Li, M.; Dyck, M.; Si, B.; Lv, J. A review and evaluation of thermal conductivity models of saturated soils. Arch. Agron. Soil Sci. 2021, 67, 974–986. [Google Scholar] [CrossRef]
- Wang, H.; Liu, C.; Zhang, L. Water-saving agriculture in China: An overview. In Advances in Agronomy; Sparks, D.L., Ed.; Elsevier BV: Amsterdam, The Netherlands, 2002; Volume 75, pp. 135–171. [Google Scholar]
- Patle, G.T.; Kumar, M.; Khanna, M. Climate-smart water technologies for sustainable agriculture: A review. J. Water Clim. Chang. 2020, 11, 1455–1466. [Google Scholar] [CrossRef]
- Regulwar, D.G.; Gurav, J.B. Sustainable Irrigation Planning with Imprecise Parameters under Fuzzy Environment. Water Resour. Manag. 2012, 26, 3871–3892. [Google Scholar] [CrossRef]
- Qin, P.-J.; Liu, Z.-R.; Lai, X.-L.; Wang, Y.-B.; Song, Z.-W.; Miao, C.-X. A New Method to Determine the Spatial Sensitivity of Time Domain Reflectometry Probes Based on Three-Dimensional Weighting Theory. Water 2020, 12, 545. [Google Scholar] [CrossRef] [Green Version]
- Hupet, F.; Vanclooster, M. Intraseasonal dynamics of soil moisture variability within a small agricultural maize cropped field. J. Hydrol. 2002, 261, 86–101. [Google Scholar] [CrossRef]
- Ochsner, T.; Cosh, M.; Cuenca, R.H.; Dorigo, W.; Draper, C.; Hagimoto, Y.; Kerr, Y.H.; Larson, K.; Njoku, E.G.; Small, E.; et al. State of the Art in Large-Scale Soil Moisture Monitoring. Soil Sci. Soc. Am. J. 2013, 77, 1888–1919. [Google Scholar] [CrossRef] [Green Version]
- de Vries, D. The Thermal Conductivity of Soil; North-Holland Publ. Co.,: Amsterdam, The Netherlands, 1952. [Google Scholar]
- Johansen, O. Thermal Conductivity of Soils. Ph.D. Thesis, Norwegian University of Science and Technology, Trondheim, Norway, 1977. [Google Scholar]
- Campbell, G.S. Soil physics with basic. In Transport Models for Soil-Plant Systems; Elsevier Sci. Publ. Co.,: New York, NY, USA, 1985. [Google Scholar]
- Tarnawski, V.R.; Momose, T.; McCombie, M.; Leong, W.H. Canadian Field Soils III. Thermal-Conductivity Data and Modeling. Int. J. Thermophys. 2015, 36, 119–156. [Google Scholar] [CrossRef]
- Côté, J.; Konrad, J.-M. A generalized thermal conductivity model for soils and construction materials. Can. Geotech. J. 2005, 42, 443–458. [Google Scholar] [CrossRef]
- Flint, A.L.; Campbell, G.S.; Ellett, K.M.; Calissendorff, C. Calibration and Temperature Correction of Heat Dissipation Matric Potential Sensors. Soil Sci. Soc. Am. J. 2002, 66, 1439–1445. [Google Scholar] [CrossRef]
- Gee, G.W.; Campbell, M.D.; Campbell, G.S.; Campbell, J.H. Rapid Measurement of Low Soil Water Potentials Using a Water Activity Meter. Soil Sci. Soc. Am. J. 1992, 56, 1068–1070. [Google Scholar] [CrossRef]
- Marek, G.W.; Marek, T.H.; Heflin, K.R.; Porter, D.O.; Moorhead, J.E.; Schwartz, R.C.; Brauer, D.K. Factory-Calibrated Soil Water Sensor Performance Using Multiple Installation Orientations and Depths. Appl. Eng. Agric. 2020, 36, 39–54. [Google Scholar] [CrossRef]
- Steele-Dunne, S.C.; Rutten, M.M.; Krzeminska, D.M.; Hausner, M.; Tyler, S.W.; Selker, J.; Bogaard, T.; van de Giesen, N. Feasibility of soil moisture estimation using passive distributed temperature sensing. Water Resour. Res. 2010, 46. [Google Scholar] [CrossRef] [Green Version]
- Sayde, C.; Gregory, C.; Gil-Rodriguez, M.; Tufillaro, N.; Tyler, S.; van de Giesen, N.; English, M.; Cuenca, R.; Selker, J. Feasibility of soil moisture monitoring with heated fiber optics. Water Resour. Res. 2010, 46. [Google Scholar] [CrossRef] [Green Version]
- Kaveh, M.; Keyvan, M.; Fahimeh, K. Response of soil thermal conductivity to various soil properties. Int. Commun. Heat Mass Transf. 2021, 127, 105516. [Google Scholar]
- Sadeghi, M. Comment on “A model for soil surface evaporation based on Campbell’s retention curve” by G. Zarei, M. Homaee, A.M. Liaghat, A.H. Hoorfar. J. Hydrol. 2015, 525, 486–488. [Google Scholar] [CrossRef]
- Wierenga, P.J.; Nielsen, D.R.; Hagan, R.M. Thermal Properties of a Soil Based Upon Field and Laboratory Measurements. Soil Sci. Soc. Am. J. 1969, 33, 354–360. [Google Scholar] [CrossRef]
- Usowicz, B.; Lipiec, J. The effect of exogenous organic matter on the thermal properties of tilled soils in Poland and the Czech Republic. J. Soils Sediments 2020, 20, 365–379. [Google Scholar] [CrossRef] [Green Version]
- Lipiec, J.; Hatano, R. Quantification of compaction effects on soil physical properties and crop growth. Geoderma 2003, 116, 107–136. [Google Scholar] [CrossRef]
- Bachmann, J.; Horton, R.; Ren, T.; Van Der Ploeg, R.R. Comparison of the thermal properties of four wettable and four water-repellent soils. Soil Sci. Soc. Am. J. 2001, 65, 1675–1679. [Google Scholar] [CrossRef]
- Su, L.; Wang, Q.; Wang, S.; Wang, W. Soil thermal conductivity model based on soil physical basic parameters. Trans. Chin. Soc. Agric. Eng. 2016, 32, 127–133. [Google Scholar]
- Mahdavi, S.M.; Neyshabouri, M.R.; Fujimaki, H. Assessment of some soil thermal conductivity models via variations in temperature and bulk density at low moisture range. Eurasian Soil Sci. 2016, 49, 915–925. [Google Scholar] [CrossRef]
- Noborio, K.; Mcinnes, K.J. Thermal Conductivity of Salt-Affected Soils. Soil Sci. Soc. Am. J. 1993, 57, 329. [Google Scholar] [CrossRef]
- Wallen, B.M.; Smits, K.; Sakaki, T.; Howington, S.E.; Chamindu Deepagoda, T.K.K. Thermal Conductivity of Binary Sand Mixtures Evaluated through Full Water Content Range. Soil Sci. Soc. Am. J. 2016, 80, 592–603. [Google Scholar] [CrossRef]
- Zhao, B.; Li, L.; Zhao, Y.; Zhang, X. Thermal conductivity of a Brown Earth soil as affected by biochars derived at different temperatures: Experiment and prediction with the Campbell model. Int. Agrophys. 2020, 34, 433–439. [Google Scholar] [CrossRef]
- Li, T.; Wang, Q.; Fan, J. Modification and comparison of methods for determining soil thermal parameters. Trans. Chin. Soc. Agric. Eng. 2008, 24, 59–64. [Google Scholar]
- Abu-Hamdeh, N.H.; Reeder, R.C. Soil Thermal Conductivity Effects of Density, Moisture, Salt Concentration, and Organic Matter. Soil Sci. Soc. Am. J. 2000, 64, 1285–1290. [Google Scholar] [CrossRef]
- Indorante, S.J.; Hammer, R.D.; Koenig, P.G.; Follmer, L.R. Particle-Size Analysis by a Modified Pipette Procedure. Soil Sci. Soc. Am. J. 1990, 54, 560–563. [Google Scholar] [CrossRef]
- Jacobsen, O.; Schjønning, P. A laboratory calibration of time domain reflectometry for soil water measurement including effects of bulk density and texture. J. Hydrol. 1993, 151, 147–157. [Google Scholar] [CrossRef]
- Vitti, C.; Stellacci, A.M.; Leogrande, R.; Mastrangelo, M.; Cazzato, E.; Ventrella, D. Assessment of organic carbon in soils: A comparison between the Springer–Klee wet digestion and the dry combustion methods in Mediterranean soils (Southern Italy). Catena 2016, 137, 113–119. [Google Scholar] [CrossRef]
- Fujimaki, H.; Shiozawa, S.; Inoue, M. Effect of salty crust on soil albedo. Agric. For. Meteorol. 2003, 118, 125–135. [Google Scholar] [CrossRef]
- Burland, B.J. On the compressibility and shear strength of natural clays. Geotechnique 1990, 40, 329–378. [Google Scholar] [CrossRef]
- Farouki, O.T. The thermal properties of soils in cold regions. Cold Reg. Sci. Technol. 1981, 5, 67–75. [Google Scholar] [CrossRef]
- Lawrence, D.M.; Slater, A.G. Incorporating organic soil into a global climate model. Clim. Dyn. 2008, 30, 145–160. [Google Scholar] [CrossRef]
- Gamage, D.N.V.; Biswas, A.; Strachan, I.B. Spatial variability of soil thermal properties and their relationships with physical properties at field scale. Soil Tillage Res. 2019, 193, 50–58. [Google Scholar] [CrossRef]
- Mengistu, A.G.; Van Rensburg, L.D.; Mavimbela, S.S. The effect of soil water and temperature on thermal properties of two soils developed from aeolian sands in South Africa. Catena 2017, 158, 184–193. [Google Scholar] [CrossRef]
- Cegła, M.; Zmywaczyk, J.; Koniorczyk, P. Alternative method of determination of thermo-physical properties of energetic materials. In Proceedings of the 23rd International Meeting of Thermophysics, Smolenice, Slovakia, 7–9 November 2018. [Google Scholar]
- Menard, S. Coefficients of Determination for Multiple Logistic Regression Analysis. Am. Stat. 2000, 54, 17. [Google Scholar] [CrossRef]
- Zhang, Y.-B.; Li, D.-J.; Yan, H.-J.; Zhao, J. Estimation for the Moisture Content of Oil-immersed Insulating Pressboard Using Dielectric Characteristic Parameter. In Proceedings of the 2nd International Conference on Electrical and Electronic Engineering (EEE 2019), Hangzhou, China, 26–27 May 2019. [Google Scholar]
- Tarnawski, V.R.; McCombie, M.L.; Leong, W.H.; Wagner, B.; Momose, T.; Schönenberger, J. Canadian Field Soils II. Modeling of Quartz Occurrence. Int. J. Thermophys. 2012, 33, 843–863. [Google Scholar] [CrossRef]
- Andrady, A.L. Microplastics in the marine environment. Mar. Pollut. Bull. 2011, 62, 1596–1605. [Google Scholar] [CrossRef]
- Cao, Y. Study on the Model and Errors in Data Fitting. In Proceedings of the International Conference on Informatization in Education, Management and Business (IEMB), Guangzhou, China, 13–14 September 2014. [Google Scholar]
- Lu, S.; Ren, T.; Gong, Y.; Horton, R. An Improved Model for Predicting Soil Thermal Conductivity from Water Content at Room Temperature. Soil Sci. Soc. Am. J. 2007, 71, 8–14. [Google Scholar] [CrossRef]






| Sample Code | Type of Soil | Texture | Organic Matter | Salinity | Bulk Density | ||
|---|---|---|---|---|---|---|---|
| Sand | Silt | Clay | |||||
| % | g cm−3 | ||||||
| Soil 1 | Sand | 90 | 8 | 2 | 0.04 | 0.031 | 1.35 |
| Soil 2 | Loamy sand | 78 | 21 | 1 | 0.89 | 0.041 | 1.36 |
| Soil 3 | Loamy sand | 79 | 14 | 7 | 0.16 | 0.122 | 1.49 |
| Soil 4 | Loamy sand | 76 | 13 | 11 | 0.01 | 0.083 | 1.45 |
| Soil 5 | Loam | 20 | 70 | 10 | 0.53 | 0.010 | 1.42 |
| Soil 6 | Sandy loam | 62 | 21 | 17 | 0.22 | 0.053 | 1.37 |
| Soil 7 | Loam | 49 | 31 | 20 | 1.25 | 0.008 | 1.47 |
| Soil 8 | Silt loam | 12 | 65 | 23 | 3.50 | 0.026 | 1.56 |
| Soil 9 | Clay loam | 52 | 15 | 33 | 1.60 | 0.244 | 1.54 |
| Soil 10 | Clay | 25 | 15 | 60 | 0.92 | 0.015 | 1.49 |
| Influencing Factors | Sample Code | Type of Soil | Texture | Organic Matter | Salinity | Bulk Density | ||
|---|---|---|---|---|---|---|---|---|
| Sand | Silt | Clay | ||||||
| % | g cm−3 | |||||||
| Texture | S | Sand | 90 | 8 | 2 | 0.92 | 0.09 | 1.55 |
| LS | Loamy sand | 76 | 13 | 11 | ||||
| SLL | Silt Loam | 20 | 70 | 10 | ||||
| SDL | Sandy loam | 62 | 21 | 17 | ||||
| C | Clay | 25 | 15 | 60 | ||||
| Bulk density | BD1.35 | Sand | 90 | 8 | 2 | 0.04 | 0.031 | 1.35 |
| BD1.45 | 1.45 | |||||||
| BD1.50 | 1.50 | |||||||
| BD1.55 | 1.55 | |||||||
| BD1.60 | 1.60 | |||||||
| Organic matter | SOM0.04 | Sand | 90 | 8 | 2 | 0.04 | 0.031 | 1.45 |
| SOM0.2 | 0.2 | |||||||
| SOM0.8 | 0.8 | |||||||
| SOM1.6 | 1.6 | |||||||
| SOM3.0 | 3.0 | |||||||
| COM0.04 | Clay | 25 | 15 | 60 | 0.04 | 0.015 | 1.49 | |
| COM0.2 | 0.2 | |||||||
| COM0.8 | 0.8 | |||||||
| COM1.6 | 1.6 | |||||||
| COM3.0 | 3.0 | |||||||
| Soil Code | Reduced Chi-Sqr | R2 |
|---|---|---|
| S | 0.190 | 0.722 |
| LS | 0.097 | 0.781 |
| SLL | 0.104 | 0.777 |
| SDL | 0.028 | 0.783 |
| C | 0.027 | 0.876 |
| Soil Code | Reduced Chi-Sqr | R2 |
|---|---|---|
| BD1.35 | 0.219 | 0.652 |
| BD1.45 | 0.176 | 0.672 |
| BD1.50 | 0.210 | 0.655 |
| BD1.55 | 0.179 | 0.717 |
| BF1.60 | 0.201 | 0.732 |
| Soil Code | Reduced Chi-Sqr | R2 | Soil Code | Reduced Chi-Sqr | R2 |
|---|---|---|---|---|---|
| SOM0.04 | 0.193 | 0.792 | COM0.04 | 0.037 | 0.748 |
| SOM0.2 | 0.176 | 0.766 | COM0.2 | 0.047 | 0.829 |
| SOM0.8 | 0.161 | 0.744 | COM0.8 | 0.045 | 0.872 |
| SOM1.6 | 0.144 | 0.731 | COM1.6 | 0.046 | 0.876 |
| SOM3.0 | 0.117 | 0.722 | COM3.0 | 0.050 | 0.892 |
| Influencing Factors | Sample Code | m | E |
|---|---|---|---|
| Texture | S | 0.468 | 1.211 |
| LS | 0.619 | 1.362 | |
| SLL | 0.542 | 1.350 | |
| SDL | 0.763 | 1.466 | |
| C | 1.582 | 2.203 | |
| Bulk density | BD1.35 | 0.452 | 0.928 |
| BD1.45 | 0.454 | 0.931 | |
| BD1.50 | 0.458 | 0.931 | |
| BD1.55 | 0.455 | 0.930 | |
| BF1.60 | 0.452 | 0.933 | |
| Organic matter | SOM0.04 | 0.452 | 0.931 |
| SOM0.2 | 0.458 | 0.977 | |
| SOM0.8 | 0.479 | 1.164 | |
| SOM1.6 | 0.488 | 1.418 | |
| SOM3.0 | 0.514 | 1.854 | |
| COM0.04 | 2.111 | 2.659 | |
| COM0.2 | 2.119 | 2.595 | |
| COM0.8 | 2.133 | 2.237 | |
| COM1.6 | 2.146 | 1.789 | |
| COM3.0 | 2.172 | 1.001 |
| Soil Code | Reduced Chi-Sqr | R2 | ||
|---|---|---|---|---|
| Campbell | Revised | Campbell | Revised | |
| Soil 1 | 0.168 | 0.006 | 0.718 | 0.983 |
| Soil 2 | 0.178 | 0.012 | 0.803 | 0.982 |
| Soil 3 | 0.045 | 0.001 | 0.722 | 0.995 |
| Soil 4 | 0.077 | 0.002 | 0.782 | 0.988 |
| Soil 5 | 0.015 | 0.017 | 0.847 | 0.967 |
| Soil 6 | 0.022 | 0.002 | 0.84 | 0.987 |
| Soil 7 | 0.032 | 0.018 | 0.871 | 0.965 |
| Soil 8 | 0.073 | 0.004 | 0.792 | 0.991 |
| Soil 9 | 0.254 | 0.133 | 0.616 | 0.538 |
| Soil 10 | 0.045 | 0.002 | 0.912 | 0.981 |
| Soil Code | Type of Soil | Texture | Organic Matter | Bulk Density | Reduced Chi-Sqr | R2 | ||||
|---|---|---|---|---|---|---|---|---|---|---|
| Sand | Silt | Clay | ||||||||
| % | g cm−3 | Campbell | Revised | Campbell | Revised | |||||
| Lu1 | Sand | 94 | 1 | 5 | 0.09 | 1.60 | 0.209 | 0.013 | 0.713 | 0.962 |
| Lu2 | Sand | 93 | 1 | 6 | 0.07 | 1.60 | 0.202 | 0.017 | 0.782 | 0.872 |
| Lu3 | Sandy loam | 67 | 21 | 12 | 0.86 | 1.39 | 0.060 | 0.006 | 0.741 | 0.976 |
| Lu4 | Loam | 40 | 49 | 11 | 0.49 | 1.30 | 0.066 | 0.002 | 0.629 | 0.987 |
| Lu5 | Silt loam | 27 | 51 | 22 | 1.19 | 1.33 | 0.022 | 0.006 | 0.844 | 0.956 |
| Lu6 | Silt loam | 11 | 70 | 19 | 0.84 | 1.31 | 0.055 | 0.010 | 0.397 | 0.893 |
| Lu7 | Silty clay loam | 19 | 54 | 27 | 0.39 | 1.30 | 0.016 | 0.009 | 0.898 | 0.945 |
| Lu8 | Silty clay loam | 8 | 60 | 32 | 3.02 | 1.30 | 0.011 | 0.003 | 0.869 | 0.967 |
| Lu9 | Clay loam | 32 | 38 | 30 | 0.27 | 1.29 | 0.004 | 0.000 | 0.969 | 0.997 |
| Lu10 | Silt loam | 2 | 73 | 25 | 4.4 | 1.20 | 0.007 | 0.001 | 0.940 | 0.988 |
| Lu11 | Loam | 50 | 41 | 9 | 0.25 | 1.38 | 0.082 | 0.002 | 0.670 | 0.993 |
| Lu12 | Sand | 92 | 7 | 1 | 0.6 | 1.58 | 0.232 | 0.009 | 0.401 | 0.976 |
Publisher’s Note: MDPI stays neutral with regard to jurisdictional claims in published maps and institutional affiliations. |
© 2021 by the authors. Licensee MDPI, Basel, Switzerland. This article is an open access article distributed under the terms and conditions of the Creative Commons Attribution (CC BY) license (https://creativecommons.org/licenses/by/4.0/).
Share and Cite
Ji, J.; Xu, J.; Xiao, Y.; Luan, Y. Evaluation of Improved Model to Accurately Monitor Soil Water Content. Water 2021, 13, 3441. https://doi.org/10.3390/w13233441
Ji J, Xu J, Xiao Y, Luan Y. Evaluation of Improved Model to Accurately Monitor Soil Water Content. Water. 2021; 13(23):3441. https://doi.org/10.3390/w13233441
Chicago/Turabian StyleJi, Jingyu, Junzeng Xu, Yixin Xiao, and Yajun Luan. 2021. "Evaluation of Improved Model to Accurately Monitor Soil Water Content" Water 13, no. 23: 3441. https://doi.org/10.3390/w13233441
APA StyleJi, J., Xu, J., Xiao, Y., & Luan, Y. (2021). Evaluation of Improved Model to Accurately Monitor Soil Water Content. Water, 13(23), 3441. https://doi.org/10.3390/w13233441
