Dynamics of Mid-Channel Bar during Different Impoundment Periods of the Three Gorges Reservoir Area in China
Abstract
:1. Introduction
2. Materials and Methods
2.1. Study Area
2.2. Division of Impoundment Periods
2.3. Data Collection
2.4. Retrieval of MCBs from Landsat Images
2.5. Classification of MCBs
2.6. Analysis Method for the Dynamics of MCBs
2.6.1. Index of Area and Shape
2.6.2. The Coefficient of Variation (CV)
2.6.3. The Gravity Center Shifting Model
3. Results
3.1. Variations in Area and Number of MCBs
3.2. Morphological Changes of MCBs
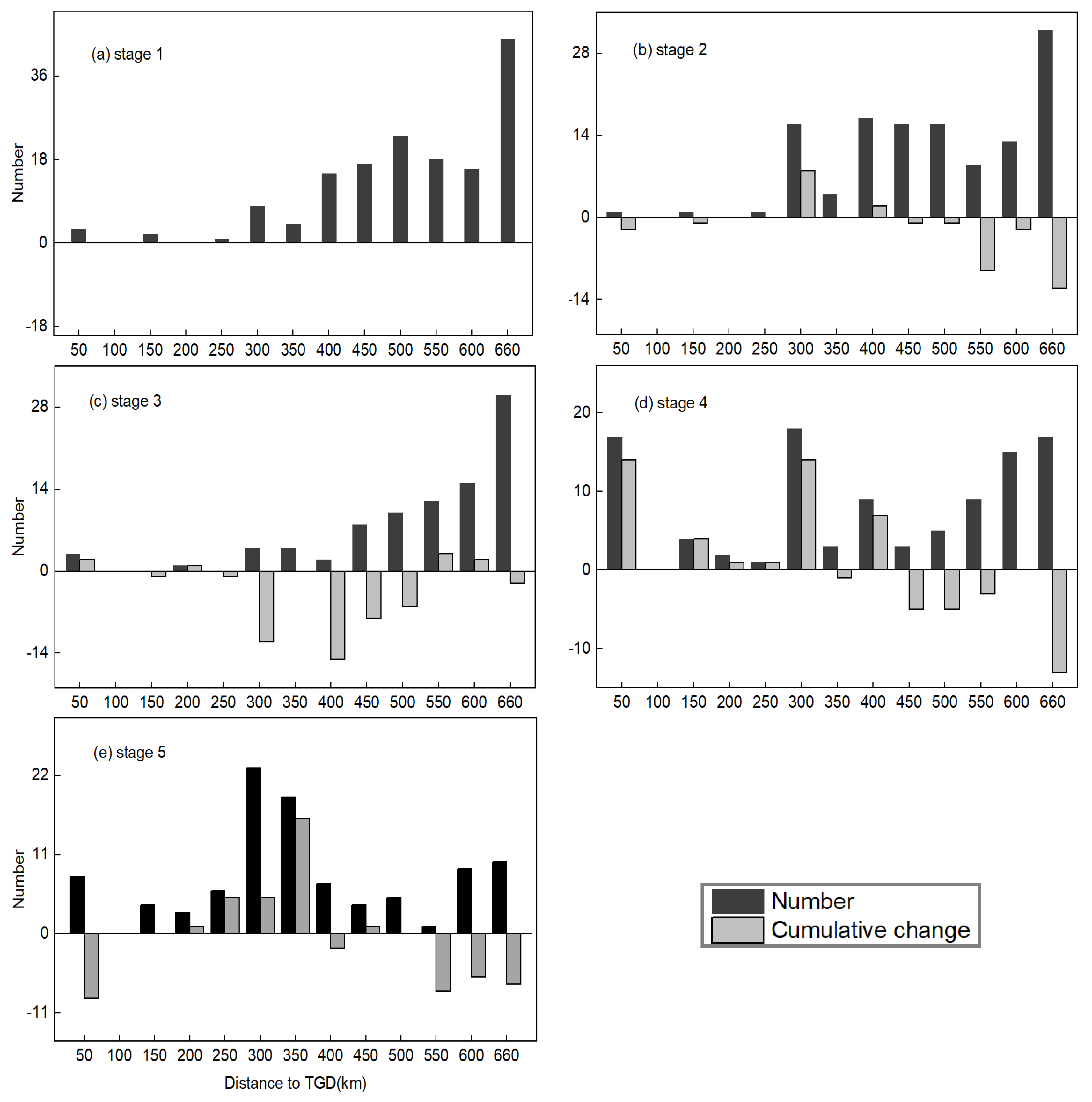
3.3. Spatial Distribution of MCBs in TGR
3.4. Gravity Center Migration of MCBs
4. Discussion
5. Conclusions
Author Contributions
Funding
Institutional Review Board Statement
Informed Consent Statement
Data Availability Statement
Acknowledgments
Conflicts of Interest
References
- Słowik, M. Sedimentary record of point bar formation in laterally migrating anabranching and single-channel meandering rivers (The Obra Valley, Poland). Z. Geomorphol. 2016, 60, 259–279. [Google Scholar] [CrossRef]
- Afzalimehr, H.; Maddahi, M.R.; Sui, J. Bedform characteristics in a gravel-bed river. J. Hydrol. Hydromech. 2017, 65, 366–377. [Google Scholar] [CrossRef] [Green Version]
- Wang, P.; Fu, K.D.; Huang, J.; Duan, X.; Yang, Z. Morphological changes in the lower Lancang River due to extensive human activities. PeerJ 2020, 8, e9471. [Google Scholar] [CrossRef] [PubMed]
- Long, J.; Li, H.; Wang, Z.; Wang, B.; Xu, Y. Three decadal morphodynamic evolution of a large channel bar in the middle Yangtze River: Influence of natural and anthropogenic interferences. Catena 2021, 199, 105128. [Google Scholar] [CrossRef]
- Wen, Z.; Yang, H.; Zhang, C.; Shao, G.; Wu, S. Remotely Sensed Mid-Channel Bar Dynamics in Downstream of the Three Gorges Dam, China. Remote Sens. 2020, 12, 409. [Google Scholar] [CrossRef] [Green Version]
- Jaballah, M.; Camenen, B.; Pénard, L.; Paquier, A. Alternate bar development in an alpine river following engineering works. Adv. Water Resour. 2015, 81, 103–113. [Google Scholar] [CrossRef]
- Li, W.; Yang, S.; Xiao, Y.; Fu, X.; Hu, J.; Wang, T. Rate and Distribution of Sedimentation in the Three Gorges Reservoir, Upper Yangtze River. J. Hydraul. Eng. 2018, 144, 05018006. [Google Scholar] [CrossRef]
- Zhang, W.; Yuan, J.; Han, J.; Huang, C.; Li, M. Impact of the Three Gorges Dam on sediment deposition and erosion in the middle Yangtze River: A case study of the Shashi Reach. Hydrol. Res. 2016, 47, 175–186. [Google Scholar] [CrossRef] [Green Version]
- Wintenberger, C.L.; Rodrigues, S.; Claude, N.; Jugé, P.; Bréhéret, J.; Villar, M. Dynamics of nonmigrating mid-channel bar and superimposed dunes in a sandy-gravelly river (Loire River, France). Geomorphology 2015, 248, 185–204. [Google Scholar] [CrossRef]
- Klösch, M.; Blamauer, B.; Habersack, H. Intra-event scale bar-bank interactions and their role in channel widening. Earth Surf. Process. Landf. 2015, 40, 1506–1523. [Google Scholar] [CrossRef]
- Hooke, J.M.; Yorke, L. Channel bar dynamics on multi-decadal timescales in an active meandering river. Earth Surf. Process. Landf. 2011, 36, 1910–1928. [Google Scholar] [CrossRef]
- Wang, J.; Dai, Z.; Mei, X.; Lou, Y.; Wei, W.; Ge, Z. Immediately downstream effects of Three Gorges Dam on channel sandbars morphodynamics between Yichang-Chenglingji Reach of the Changjiang River, China. J. Geogr. Sci. 2018, 28, 629–646. [Google Scholar] [CrossRef] [Green Version]
- Li, D.F.; Lu, X.X.; Chen, L.; Wasson, R. Downstream geomorphic impact of the Three Gorges Dam: With special reference to the channel bars in the Middle Yangtze River. Earth Surf. Process. Landf. 2019, 44, 2660–2670. [Google Scholar] [CrossRef]
- Adami, L. Long Term Morphodynamics Ofalternate Bars in Straightenedrivers: A multiple Perspective. Ph.D. Thesis, The University of Trento, Trento, Italy, April 2016. [Google Scholar]
- Schuurman, F.; Kleinhans, M.G. Bar dynamics and bifurcation evolution in a modelled braided sand-bed river. Earth Surf. Process. Landf. 2015, 40, 1318–1333. [Google Scholar] [CrossRef]
- Yang, H. Numerical investigation of avulsions in gravel-bed braided rivers. Hydrol. Process. 2020, 34, 3702–3717. [Google Scholar] [CrossRef]
- Wang, D.; Ma, Y.; Liu, X.; Huang, H.Q.; Huang, L.; Deng, C. Meandering-anabranching river channel change in response to flow-sediment regulation: Data analysis and model validation. J. Hydrol. 2019, 579, 124209. [Google Scholar] [CrossRef]
- Crosato, A.; Mosselman, E.; Desta, F.B.; Uijttewaal, W.S. Experimental and numerical evidence for intrinsic nonmigrating bars in alluvial channels. Water Resour. Res. 2011, 47, 77–79. [Google Scholar] [CrossRef] [Green Version]
- Yang, H.; Lin, B.; Sun, J.; Huang, G. Simulating Laboratory Braided Rivers with Bed-Load Sediment Transport. Water 2017, 9, 686. [Google Scholar] [CrossRef] [Green Version]
- Redolfi, M.; Welber, M.; Carlin, M.; Tubino, M.; Bertoldi, W. Morphometric properties of alternate bars and water discharge: A laboratory investigation. Earth Surf. Dynam. 2020, 8, 789–808. [Google Scholar] [CrossRef]
- Tubino, M.; Repetto, R.; Zolezzi, G. Free bars in rivers. J. Hydraul. Res. 1999, 37, 759–775. [Google Scholar]
- Adami, L.; Bertoldi, W.; Zolezzi, G. Multidecadal dynamics of alternate bars in the Alpine Rhine River. Water Resour. Res. 2016, 52, 8921–8938. [Google Scholar] [CrossRef]
- Lyu, Y.; Fagherazzi, S.; Tan, G.; Zheng, S.; Feng, Z.; Han, S.; Shu, C. Hydrodynamic and geomorphic adjustments of channel bars in the Yichang-Chenglingji Reach of the Middle Yangtze River in response to the Three Gorges Dam operation. Catena 2020, 193, 104628. [Google Scholar] [CrossRef]
- Cyples, N.; Ielpi, A.; Dirszowsky, R.W. Planform and stratigraphic signature of proximal braided streams: Remote-sensing and ground-penetrating-radar analysis of the Kicking Horse River, Canadian Rocky Mountains. J. Sediment. Res. 2020, 90, 131–149. [Google Scholar] [CrossRef]
- Liu, X.; Huang, H.; Ddeng, C. A theoretical investigation of the hydrodynamic conditions for equilibrium island morphology in anabranching rivers. Adv. Water Sci. 2014, 25, 477–483. [Google Scholar]
- Rasbold, G.G.; Stevaux, J.C.; Parolin, M.; Leli, I.T.; Luz, L.D.; Guerreiro, R.L.; Brito, H.D. Sponge spicules as indicators of paleoenvironmental changes in island deposits-Upper Paraná River, Brazil. Palaeogeogr. Palaeoclimatol. Palaeoecol. 2019, 536, 109391. [Google Scholar] [CrossRef]
- Fu, B.-J.; Wu, B.-F.; Lue, Y.-H.; Xu, Z.-H.; Cao, J.-H.; Niu, D.; Yang, G.-S.; Zhou, Y.-M. Three Gorges Project: Efforts and challenges for the environment. Prog. Phys. Geogr. Earth Environ. 2010, 34, 741–754. [Google Scholar] [CrossRef]
- Lou, Y.; Mei, X.; Dai, Z.; Wang, J.; Wei, W. Evolution of the mid-channel bars in the middle and lower reaches of the Changjiang (Yangtze) River from 1989 to 2014 based on the Landsat satellite images: Impact of the Three Gorges Dam. Environ. Earth Sci. 2018, 77, 394. [Google Scholar] [CrossRef]
- Edmonds, R.L. The Sanxia (3 Gorges) Project—The environmental argument surrounding China super dam. Glob. Ecol. Biogeogr. Lett. 1992, 2, 105–125. [Google Scholar] [CrossRef]
- Gao, B.; Yang, D.; Yang, H. Impact of the Three Gorges Dam on flow regime in the middle and lower Yangtze River. Quatern. Int. 2013, 304, 43–50. [Google Scholar] [CrossRef]
- Gao, C.; Chen, S.; Yu, J. River islands’ change and impacting factors in the lower reaches of the Yangtze River based on remote sensing. Quatern. Int. 2013, 304, 13–21. [Google Scholar] [CrossRef]
- Yang, S.L.; Milliman, J.D.; Li, P.; Xu, K. 50,000 dams later: Erosion of the Yangtze River and its delta. Glob. Planet. Chang. 2011, 75, 14–20. [Google Scholar] [CrossRef]
- Wang, Z.; Li, H.; Cai, X. Remotely Sensed Analysis of Channel Bar Morphodynamics in the Middle Yangtze River in Response to a Major Monsoon Flood in 2002. Remote Sens. 2018, 10, 1165. [Google Scholar] [CrossRef] [Green Version]
- Ren, S.; Zhang, B.; Wang, W.; Yuan, Y.; Guo, C. Sedimentation and its response to management strategies of the Three Gorges Reservoir, Yangtze River, China. Catena 2021, 199, 105096. [Google Scholar] [CrossRef]
- Chen, J.; Yang, H.; Lv, M.; Xiao, Z.; Wu, S. Estimation of monthly pan evaporation using support vector machine in Three Gorges Reservoir Area, China. Theor. Appl. Climatol. 2019, 138, 1095–1107. [Google Scholar] [CrossRef]
- Xiang, R.; Wang, L.; Li, H.; Tian, Z.; Zheng, B. Temporal and spatial variation in water quality in the Three Gorges Reservoir from 1998 to 2018. Sci. Total Environ. 2021, 768, 144866. [Google Scholar] [CrossRef]
- Xu, H. Modification of normalised difference water index (NDWI) to enhance open water features in remotely sensed imagery. Int. J. Remote Sens. 2006, 27, 3025–3033. [Google Scholar] [CrossRef]
- McFeeters, S.K. The use of the Normalized Difference Water Index (NDWI) in the delineation of open water features. Int. J. Remote Sens. 1996, 17, 1425–1432. [Google Scholar] [CrossRef]
- Li, Z.; Wang, Z.; Zhang, K. Relationship between morphology of typical sand bars and river channels. J. Sediment. Res. 2012, 1, 68–73. (In Chinese) [Google Scholar]
- Hu, L.; Jiang, C.; Li, Z.B.; Zhang, X.; Li, P.; Wang, Q.; Zhang, W.J. Evolution Path Analysis of Economic Gravity Center and Air Pollutants Gravity Center in Shaanxi Province. Adv. Mater. Res. 2012, 361–363, 1359–1363. [Google Scholar] [CrossRef]
- Huang, H.; Deng, C.; Nanson, G.C.; Fan, B.; Liu, X.; Liu, T.; Ma, Y. A test of equilibrium theory and a demonstration of its practical application for predicting the morphodynamics of the Yangtze River. Earth Surf. Process. Landf. 2014, 39, 669–675. [Google Scholar] [CrossRef]
- Ji, Y.; Tang, Q.; Yan, L.; Wu, S.; Yan, L.; Tan, D.; Chen, J.; Chen, Q. Spatiotemporal Variations and Influencing Factors of Terrestrial Evapotranspiration and Its Components during Different Impoundment Periods in the Three Gorges Reservoir Area. Water 2021, 13, 2111. [Google Scholar] [CrossRef]
- Tang, Q.; Bao, Y.; He, X.; Fu, B.; Collins, A.L.; Zhang, X. Flow regulation manipulates contemporary seasonal sedimentary dynamics in the reservoir fluctuation zone of the Three Gorges Reservoir, China. Sci. Total Environ. 2016, 548, 410–420. [Google Scholar] [CrossRef] [PubMed]













| Impoundment Period | Sensor | Acquisition Date | Number | Resolution | Data Sources |
|---|---|---|---|---|---|
| Stage 1 | Landsat5 TM | 24 January 1993, 29 January 1994, 1 November 1995, 17 November 1995, 26 December 1995, 5 February 1996 | 6 | 30 m | Geospatial Data Cloud |
| Stage 2 | Landsat5 TM | 5 November 2000, 17 January 2001, 10 February 2001, 12 March 2001, 27 December 2001, 8 January 2002, 28 November 2002 | 7 | 30 m | Geospatial Data Cloud |
| Stage 3 | Landsat5 TM | 24 January 2004, 7 December 2004, 6 January 2005, 2 February 2005, 7 December 2005, 2 January 2006, 4 February 2006 | 7 | 30 m | Geospatial Data Cloud |
| Stage 4 | Landsat5 TM | 3 February 2007, 1 March 2007, 22 February 2008, 23 March 2008, 15 November 2008, 21 November 2008 2 December 2008, 3 February 2009 | 8 | 30 m | Geospatial Data Cloud |
| Stage 5 | Landsat8 OLI | 22 January 2015, 17 December 2015, 25 January 2016, 15 November 2016, 22 December 2017, 31 December 2017, 14 January 2018, 12 February 2018 | 8 | 30 m | Geospatial Data Cloud |
Publisher’s Note: MDPI stays neutral with regard to jurisdictional claims in published maps and institutional affiliations. |
© 2021 by the authors. Licensee MDPI, Basel, Switzerland. This article is an open access article distributed under the terms and conditions of the Creative Commons Attribution (CC BY) license (https://creativecommons.org/licenses/by/4.0/).
Share and Cite
Tang, Q.; Tan, D.; Ji, Y.; Yan, L.; Zeng, S.; Chen, Q.; Wu, S.; Chen, J. Dynamics of Mid-Channel Bar during Different Impoundment Periods of the Three Gorges Reservoir Area in China. Water 2021, 13, 3427. https://doi.org/10.3390/w13233427
Tang Q, Tan D, Ji Y, Yan L, Zeng S, Chen Q, Wu S, Chen J. Dynamics of Mid-Channel Bar during Different Impoundment Periods of the Three Gorges Reservoir Area in China. Water. 2021; 13(23):3427. https://doi.org/10.3390/w13233427
Chicago/Turabian StyleTang, Qingqing, Daming Tan, Yongyue Ji, Lingyun Yan, Sidong Zeng, Qiao Chen, Shengjun Wu, and Jilong Chen. 2021. "Dynamics of Mid-Channel Bar during Different Impoundment Periods of the Three Gorges Reservoir Area in China" Water 13, no. 23: 3427. https://doi.org/10.3390/w13233427
APA StyleTang, Q., Tan, D., Ji, Y., Yan, L., Zeng, S., Chen, Q., Wu, S., & Chen, J. (2021). Dynamics of Mid-Channel Bar during Different Impoundment Periods of the Three Gorges Reservoir Area in China. Water, 13(23), 3427. https://doi.org/10.3390/w13233427

