Effect of the Oxidative Phosphorylation Uncoupler Para-Nitrophenol on the Activated Sludge Community Structure and Performance of a Submerged Membrane Bioreactor
Abstract
1. Introduction
2. Materials and Methods
2.1. Chemicals
2.2. Membrane Bioreactor Setup and Wastewater Composition
2.3. Estimation of Physicochemical Parameters
2.4. Determination of Soluble Microbial Products (SMP) and Extracellular Polymeric Substances (EPS)
2.5. Identification of Bacterial Communities
3. Results
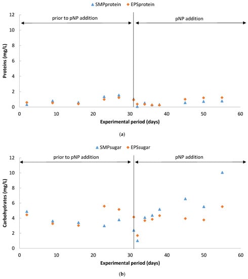
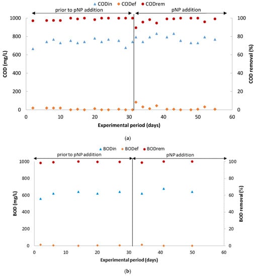
3.1. Effect of pNP on Sludge Reduction, Nutrients Removal, Soluble Microbial Product (SMP) and Extracellular Polymeric Substances (EPS) during Operation of the MBR
3.2. Effect of pNP on Bacterial Community Structure during Operation of the MBR
4. Conclusions
Supplementary Materials
Author Contributions
Funding
Institutional Review Board Statement
Informed Consent Statement
Data Availability Statement
Conflicts of Interest
References
- Chon, D.-H.; Rome, M.; Kim, Y.M.; Park, K.Y.; Park, C. Investigation of the sludge reduction mechanism in the anaerobic side-stream reactor process using several control biological wastewater treatment processes. Water Res. 2011, 45, 6021–6029. [Google Scholar] [CrossRef]
- Pérez-Elvira, S.I.; Diez, P.N.; Fdz-Polanco, F. Sludge minimisation technologies. Rev. Environ. Sci. Bio/Technol. 2006, 5, 375–398. [Google Scholar] [CrossRef]
- Tian, Y.; Zhang, J.; Wu, D.; Li, Z.; Cui, Y. Distribution variation of a metabolic uncoupler, 2,6-dichlorophenol (2,6-DCP) in long-term sludge culture and their effects on sludge reduction and biological inhibition. Water Res. 2013, 47, 279–288. [Google Scholar] [CrossRef]
- Ottoson, J.; Hansen, A.; Björlenius, B.; Norder, H.; Stenström, T.A. Removal of viruses, parasitic protozoa and microbial in-dicators in conventional and membrane processes in a wastewater pilot plant. Water Res. 2006, 40, 1449–1457. [Google Scholar] [CrossRef]
- Fida, Z.; Price, W.E.; Pramanik, B.K.; Dhar, B.R.; Kumar, M.; Jiang, G.; Hai, F.I. Reduction of excess sludge production by membrane bioreactor coupled with anoxic side-stream reactors. J. Environ. Manag. 2021, 281, 111919. [Google Scholar] [CrossRef]
- Ding, A.; Zhao, Y.; Ngo, H.H.; Bai, L.; Li, G.; Liang, H.; Ren, N.; Nan, J. Metabolic uncoupler, 3,3′,4′,5-tetrachlorosalicylanilide addition for sludge reduction and fouling control in a gravity-driven membrane bioreactor. Front. Environ. Sci. Eng. 2020, 14, 1–12. [Google Scholar] [CrossRef]
- Yang, S.-S.; Guo, W.-Q.; Chen, Y.-D.; Wu, Q.-L.; Luo, H.-C.; Peng, S.-M.; Zheng, H.-S.; Feng, X.-C.; Zhou, X.; Ren, N.-Q. Economical evaluation of sludge reduction and characterization of effluent organic matter in an alternating aeration activated sludge system combining ozone/ultrasound pretreatment. Bioresour. Technol. 2015, 177, 194–203. [Google Scholar] [CrossRef] [PubMed]
- Zhang, Q.; Hu, J.; Lee, D.-J.; Chang, Y.; Lee, Y.-J. Sludge treatment: Current research trends. Bioresour. Technol. 2017, 243, 1159–1172. [Google Scholar] [CrossRef] [PubMed]
- Li, P.; Li, H.; Li, J.; Guo, X.; Liu, J.; Xiao, B. Evaluation of sludge reduction of three metabolic uncouplers in laboratory-scale anaerobic–anoxic–oxic process. Bioresour. Technol. 2016, 221, 31–36. [Google Scholar] [CrossRef]
- Zuriaga-Agustí, E.; Mendoza-Roca, J.; Bes-Piá, A.; Alonso-Molina, J.; Amorós-Muñoz, I. Sludge reduction by uncoupling metabolism: SBR tests with para-nitrophenol and a commercial uncoupler. J. Environ. Manag. 2016, 182, 406–411. [Google Scholar] [CrossRef]
- Fang, F.; Hu, H.-L.; Qin, M.-M.; Xue, Z.-X.; Cao, J.-S.; Hu, Z.-R. Effects of metabolic uncouplers on excess sludge reduction and microbial products of activated sludge. Bioresour. Technol. 2015, 185, 1–6. [Google Scholar] [CrossRef] [PubMed]
- Low, E.W.; Chase, H.A.; Milner, M.G.; Curtis, T.P. Uncoupling of metabolism to reduce biomass production in the activated sludge process. Water Res. 2000, 34, 3204–3212. [Google Scholar] [CrossRef]
- Liu, Y.; Tay, J.H. Strategy for minimization of excess sludge production from the activated sludge process. Biotechnol. Adv. 2001, 19, 97–107. [Google Scholar] [CrossRef]
- Wang, Q.; Wei, W.; Gong, Y.; Yu, Q.J.; Li, Q.; Sun, J.; Yuan, Z. Technologies for reducing sludge production in wastewater treatment plants: State of the art. Sci. Total. Environ. 2017, 587-588, 510–521. [Google Scholar] [CrossRef]
- Liu, Y. Chemically reduced excess sludge production in the activated sludge process. Chemosphere 2002, 50, 1–7. [Google Scholar] [CrossRef]
- Wei, Y.; Van Houten, R.T.; Borger, A.R.; Eikelboom, D.H.; Fan, Y. Minimization of excess sludge production for biological wastewater treatment. Water Res. 2003, 37, 4453–4467. [Google Scholar] [CrossRef]
- Takdastan, A.; Eslami, A. Application of energy spilling mechanism by para-nitrophenol in biological excess sludge reduction in batch-activated sludge reactor. Int. J. Energy Environ. Eng. 2013, 4. [Google Scholar] [CrossRef]
- Liu, Z.; Othman, M. Potential use of uncouplers to reduce activated sludge production. Int. J. Environ. Cult. Econ. Soc. Sustain. Annu. Rev. 2012, 7, 167–176. [Google Scholar] [CrossRef]
- Guo, J.; Sims, A.; Gajaraj, S.; Wu, D.; Hu, Z. Effect of short-term exposure of selected aromatic nitrogen compounds on wastewater treatment. Water Environ. Res. 2014, 86, 2166–2175. [Google Scholar] [CrossRef]
- Inglezakis, V.J.; Malamis, S.; Omirkhan, A.; Nauruzbayeva, J.; Makhtayeva, Z.; Seidakhmetov, T.; Kudarova, A. Investigating the inhibitory effect of cyanide, phenol and 4-nitrophenol on the activated sludge process employed for the treatment of pe-troleum wastewater. J. Environ. Manag. 2017, 203, 825–830. [Google Scholar] [CrossRef]
- Clesceri, L.; Greenberg, A.; Eaton, A. Standard Methods for the Examination of Water and Wastewater, 20th ed.; American Public Health Association (APHA): Washington, DC, USA, 1998. [Google Scholar]
- Remmas, N.; Melidis, P.; Zerva, I.; Kristoffersen, J.B.; Nikolaki, S.; Tsiamis, G.; Ntougias, S. Dominance of candidate Saccharibacteria in a membrane bioreactor treating medium age landfill leachate: Effects of organic load on microbial communities, hydrolytic potential and extracellular polymeric substances. Bioresour. Technol. 2017, 238, 48–56. [Google Scholar] [CrossRef] [PubMed]
- Bradford, M.M. A rapid and sensitive method for the quantitation of microgram quantities of protein utilizing the principle of protein-dye binding. Anal. Biochem. 1976, 72, 248–254. [Google Scholar] [CrossRef]
- Dubois, M.; Gilles, K.A.; Hamilton, J.K.; Rebers, P.A.; Smith, F. Colorimetric method for determination of sugars and related substances. Anal. Chem. 1956, 28, 350–356. [Google Scholar] [CrossRef]
- Edgar, R.C. UNOISE2: Improved error-correction for Illumina 16S and ITS amplicon sequencing. BioRxiv 2016, 081257. [Google Scholar]
- Dhariwal, A.; Chong, J.; Habib, S.; King, I.L.; Agellon, L.B.; Xia, J. MicrobiomeAnalyst: A web-based tool for comprehensive statistical, visual and meta-analysis of microbiome data. Nucleic Acids Res. 2017, 45, W180–W188. [Google Scholar] [CrossRef]
- Li, M.; Wei, D.; Yan, L.; Yang, Q.; Liu, L.; Xu, W.; Du, B.; Wang, Q.; Hou, H. Aerobic biodegradation of p-nitrophenol in a nitrifying sludge bioreactor: System performance, sludge property and microbial community shift. J. Environ. Manag. 2020, 265, 110542. [Google Scholar] [CrossRef]
- Chen, D.; Yang, K.; Wei, L.; Wang, H. Microbial community and metabolism activity in a bioelectrochemical denitrification system under long-term presence of p-nitrophenol. Bioresour. Technol. 2016, 218, 189–195. [Google Scholar] [CrossRef]
- Chudoba, P.; Morel, A.; Capdeville, B. The case of both energetic uncoupling and metabolic selection of microorganisms in the OSA activated sludge system. Environ. Technol. 1992, 13, 761–770. [Google Scholar] [CrossRef]
- Yang, X.; Xu, X.; Wei, X.; Li, J.; Wan, J. Assessment of the sludge reduction of the metabolic uncoupler 3,3′,4′,5-tetrachlorosalicylanilide (TCS) in activated sludge culture. Int. J. Environ. Res. Public Health 2019, 16, 1686. [Google Scholar] [CrossRef]
- Barnard, J.L.; Steichen, M.T. Optimizing BPR plant operations for achieving sustainable low effluent phosphorus. Proc. Water Environ. Fed. 2007, 2007, 903–926. [Google Scholar] [CrossRef]
- Zhang, Z.; Yu, Y.; Xi, H.; Zhou, Y. Single and joint inhibitory effect of nitrophenols on activated sludge. J. Environ. Manag. 2021, 294, 112945. [Google Scholar] [CrossRef] [PubMed]
- Fang, F.; Wang, S.N.; Li, K.Y.; Dong, J.Y.; Xu, R.Z.; Zhang, L.L.; Xie, W.-M.; Cao, J.S. Formation of microbial products by ac-tivated sludge in the presence of a metabolic uncoupler o-chlorophenol in long-term operated sequencing batch reactors. J. Hazard. Mater. 2020, 384, 121311. [Google Scholar] [CrossRef]
- Feng, X.-C.; Guo, W.-Q.; Zheng, H.-S.; Wu, Q.-L.; Luo, H.-C.; Ren, N.-Q. Effect of metabolic uncoupler, 3,3′,4′,5-tetrachlorosalicylanilide (TCS) on Bacillus subtilis: Biofilm formation, flocculability and surface characteristics. RSC Adv. 2018, 8, 16178–16186. [Google Scholar] [CrossRef]
- Lin, W.; Ding, A.; Ngo, H.H.; Ren, Z.; Nan, J.; Li, G.; Ma, J. Effects of the metabolic uncoupler TCS on residual sludge treatment: Analyses of the microbial community and sludge dewaterability potential. Chemosphere 2021, 288, 132473. [Google Scholar] [CrossRef] [PubMed]
- Hiraishi, A.; Kawagishi, T. Effects of chemical uncouplers on microbial biomass production, metabolic activity, and community structure in an activated sludge system. Microbes Environ. 2002, 17, 197–204. [Google Scholar] [CrossRef][Green Version]
- Ferrer-Polonio, E.; Fernández-Navarro, J.; Alonso-Molina, J.L.; Bes-Piá, A.; Amorós, I.; Mendoza-Roca, J.A. Changes in the process performance and microbial community by addition of the metabolic uncoupler 3,3′,4′,5-tetrachlorosalicylanilide in sequencing batch reactors. Sci. Total Environ. 2019, 694, 133726. [Google Scholar] [CrossRef]
- Li, Y.Y.; Zhou, B.; Li, W.; Peng, X.; Zhang, J.S.; Yan, Y.C. Mineralization of p-nitrophenol by a new isolate Arthrobacter sp. Y1. J. Environ. Sci. Health B 2008, 43, 692–697. [Google Scholar] [CrossRef]
- Kristiansen, R.; Nguyen, H.T.T.; Saunders, A.M.; Nielsen, J.L.; Wimmer, R.; Le, V.Q.; McIlroy, S.J.; Petrovski, S.; Seviour, R.J.; Calteau, A.; et al. A metabolic model for members of the genus Tetrasphaera involved in enhanced bio-logical phosphorus removal. ISME J. 2013, 7, 543–554. [Google Scholar] [CrossRef]









| Index * | Day 27 | Day 31 | Day 32 | Day 55 |
|---|---|---|---|---|
| Chao1 | 240.13 ± 5.36 (a) | 236.68 ± 1.79 (a) | 231.13 ± 1.70 (a) | 233.53 ± 0.94 (a) |
| ACE | 235.91 ± 2.20 (a) | 234.13 ± 2.64 (a) | 230.89 ± 1.93 (a) | 233.54 ± 1.39 (a) |
| Shannon | 3.90 ± 0.03 (ab) | 3.96 ± 0.01 (b) | 3.96 ± 0.01 (b) | 3.88 ± 0.02 (a) |
| Simpson | 0.949 ± 0.004 (a) | 0.964 ± 0.001 (c) | 0.963 ± 0.000 (bc) | 0.956 ± 0.001 (b) |
| Fisher | 33.40 ± 0.16 (a) | 33.13 ± 0.25 (a) | 33.41 ± 0.25 (a) | 33.33 ± 0.21 (a) |
Publisher’s Note: MDPI stays neutral with regard to jurisdictional claims in published maps and institutional affiliations. |
© 2021 by the authors. Licensee MDPI, Basel, Switzerland. This article is an open access article distributed under the terms and conditions of the Creative Commons Attribution (CC BY) license (https://creativecommons.org/licenses/by/4.0/).
Share and Cite
Stavrakakis, I.; Remmas, N.; Melidis, P.; Ntougias, S. Effect of the Oxidative Phosphorylation Uncoupler Para-Nitrophenol on the Activated Sludge Community Structure and Performance of a Submerged Membrane Bioreactor. Water 2021, 13, 3222. https://doi.org/10.3390/w13223222
Stavrakakis I, Remmas N, Melidis P, Ntougias S. Effect of the Oxidative Phosphorylation Uncoupler Para-Nitrophenol on the Activated Sludge Community Structure and Performance of a Submerged Membrane Bioreactor. Water. 2021; 13(22):3222. https://doi.org/10.3390/w13223222
Chicago/Turabian StyleStavrakakis, Ioannis, Nikolaos Remmas, Paraschos Melidis, and Spyridon Ntougias. 2021. "Effect of the Oxidative Phosphorylation Uncoupler Para-Nitrophenol on the Activated Sludge Community Structure and Performance of a Submerged Membrane Bioreactor" Water 13, no. 22: 3222. https://doi.org/10.3390/w13223222
APA StyleStavrakakis, I., Remmas, N., Melidis, P., & Ntougias, S. (2021). Effect of the Oxidative Phosphorylation Uncoupler Para-Nitrophenol on the Activated Sludge Community Structure and Performance of a Submerged Membrane Bioreactor. Water, 13(22), 3222. https://doi.org/10.3390/w13223222

