Anthropogenic and Climate-Exacerbated Landscape Disturbances Converge to Alter Phosphorus Bioavailability in an Oligotrophic River
Abstract
:1. Introduction
2. Materials and Methods
2.1. Study Area: Hydro-Climatic Setting
2.2. Study Region: Land Disturbance
2.3. Sample Collection
2.4. Laboratory Analyses
2.5. Statistical Analyses
3. Results
3.1. Sediment Characteristics
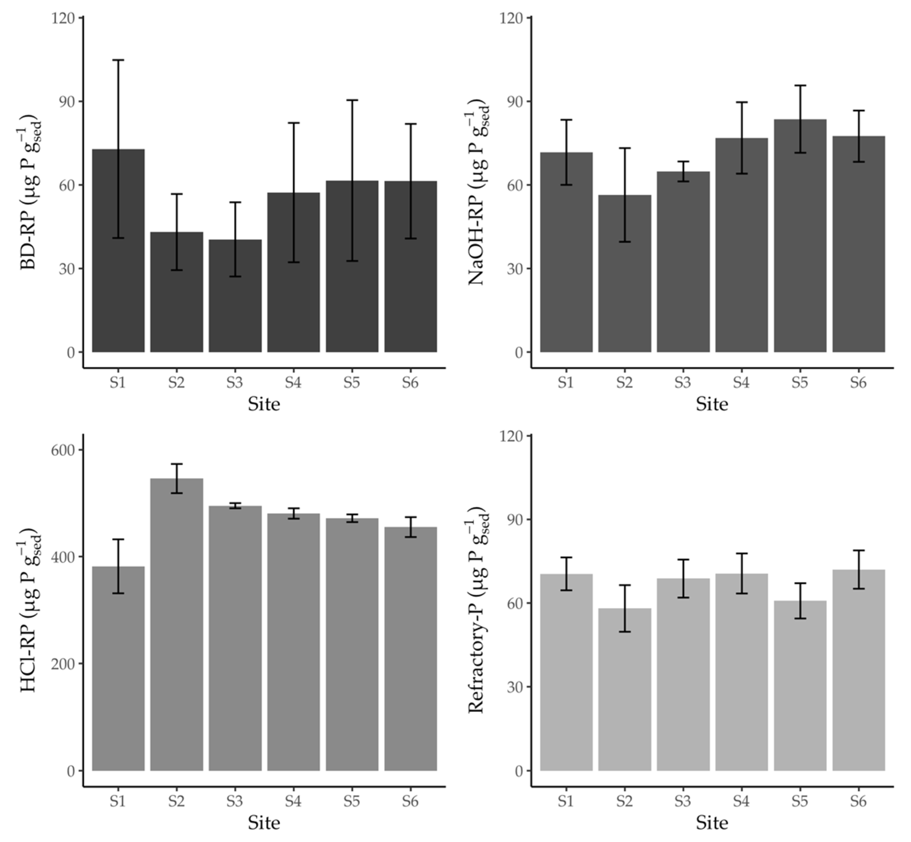
3.2. Total and Fractional Composition of Particulate Phosphorus
3.3. Sediment Geochemistry and Relationship to Particulate P Forms
3.4. Downstream Changes in Particulate P
4. Discussion
4.1. Particulate P Fractions, Landscape Disturbance and Geochemical Controls
4.2. Implications for Nutrient Storage and Drinking Water Source Protection
5. Conclusions
Supplementary Materials
Author Contributions
Funding
Institutional Review Board Statement
Informed Consent Statement
Data Availability Statement
Acknowledgments
Conflicts of Interest
References
- Westerling, A.L.; Hidalgo, H.G.; Cayan, D.R.; Swetnam, T.W. Warming and Earlier Spring Increase Western U.S. Forest Wildfire Activity. Science 2006, 313, 940–943. [Google Scholar] [CrossRef] [PubMed] [Green Version]
 - Wagenbrenner, J.; Robichaud, P.; Brown, R. Rill erosion in burned and salvage logged western montane forests: Effects of logging equipment type, traffic level, and slash treatment. J. Hydrol. 2016, 541, 889–901. [Google Scholar] [CrossRef]
 - Sharpley, A.; Jarvie, H.; Buda, A.; May, L.; Spears, B.; Kleinman, P. Phosphorus Legacy: Overcoming the Effects of Past Management Practices to Mitigate Future Water Quality Impairment. J. Environ. Qual. 2013, 42, 1308–1326. [Google Scholar] [CrossRef] [Green Version]
 - Jankowiak, J.; Hattenrath-Lehmann, T.; Kramer, B.J.; Ladds, M.; Gobler, C.J. Deciphering the effects of nitrogen, phosphorus, and temperature on cyanobacterial bloom intensification, diversity, and toxicity in western Lake Erie. Limnol. Oceanogr. 2018, 64, 1347–1370. [Google Scholar] [CrossRef] [Green Version]
 - Sena, M.; Morris, M.R.; Seib, M.; Hicks, A. An exploration of economic valuation of phosphorus in the environment and its implications in decision making for resource recovery. Water Res. 2020, 172, 115449. [Google Scholar] [CrossRef]
 - Emelko, M.B.; Stone, M.; Silins, U.; Allin, D.; Collins, A.L.; Williams, C.H.; Martens, A.M.; Bladon, K.D. Sediment-phosphorus dynamics can shift aquatic ecology and cause downstream legacy effects after wildfire in large river systems. Glob. Chang. Biol. 2016, 22, 1168–1184. [Google Scholar] [CrossRef] [PubMed]
 - Emelko, M.B.; Silins, U.; Bladon, K.; Stone, M. Implications of land disturbance on drinking water treatability in a changing climate: Demonstrating the need for “source water supply and protection” strategies. Water Res. 2011, 45, 461–472. [Google Scholar] [CrossRef] [PubMed]
 - Silins, U.; Bladon, K.D.; Kelly, E.N.; Esch, E.; Spence, J.R.; Stone, M.; Emelko, M.B.; Boon, S.; Wagner, M.J.; Williams, C.H. Five-year legacy of wildfire and salvage logging impacts on nutrient runoff and aquatic plant, invertebrate, and fish productivity. Ecohydrology 2014, 7, 1508–1523. [Google Scholar] [CrossRef]
 - McDowell, R.; Sharpley, A. The effect of antecedent moisture conditions on sediment and phosphorus loss during overland flow: Mahantango Creek catchment, Pennsylvania, USA. Hydrol. Process. 2002, 16, 3037–3050. [Google Scholar] [CrossRef]
 - Stutter, M.; Lumsdon, D. Interactions of land use and dynamic river conditions on sorption equilibria between benthic sediments and river soluble reactive phosphorus concentrations. Water Res. 2008, 42, 4249–4260. [Google Scholar] [CrossRef]
 - House, W.A.; Warwick, M.S. Interactions of phosphorus with sediments in the River Swale, Yorkshire, UK. Hydrol. Process. 1999, 13, 1103–1115. [Google Scholar] [CrossRef]
 - Jarvie, H.P.; Jürgens, M.D.; Williams, R.J.; Neal, C.; Davies, J.J.; Barrett, C.; White, J. Role of river bed sediments as sources and sinks of phosphorus across two major eutrophic UK river basins: The Hampshire Avon and Herefordshire Wye. J. Hydrol. 2005, 304, 51–74. [Google Scholar] [CrossRef]
 - Mulholland, P.J.; Marzolf, E.R.; Webster, J.R.; Hart, D.R.; Hendricks, S.P. Evidence that hyporheic zones increase heterotrophic metabolism and phosphorus uptake in forest streams. Limnol. Oceanogr. 1997, 42, 443–451. [Google Scholar] [CrossRef]
 - Boulton, A.J.; Datry, T.; Kasahara, T.; Mutz, M.; Stanford, J.A. Ecology and management of the hyporheic zone: Stream-groundwater interactions of running waters and their floodplains. J. N. Am. Benthol. Soc. 2010, 29, 26–40. [Google Scholar] [CrossRef] [Green Version]
 - Stone, M.; English, M. Geochemical composition, phosphorus speciation and mass transport of fine-grained sediment in two Lake Erie tributaries. In Proceedings of the Third International Workshop on Phosphorus in Sediments, Zeist, The Netherlands, 30 September–3 October 1993; pp. 17–29. [Google Scholar]
 - Golterman, H.L. The Chemistry of Phosphate and Nitrogen Compounds in Sediments; Springer Science & Business Media: Berlin/Heidelberg, Germany, 2004. [Google Scholar]
 - Weigelhofer, G.; Hein, T.; Bondar-Kunze, E. Phosphorus and nitrogen dynamics in riverine systems: Human impacts and management options. In Riverine Ecosystem Management; Schmutz, S., Sendzimir, J., Eds.; Springer Open: New York, NY, USA, 2018; Volume 187. [Google Scholar]
 - Pettersson, K.; Boström, B.; Jacobsen, O.-S. Phosphorus in sediments—Speciation and analysis. In Phosphorus in Freshwater Ecosystems; Springer: New York, NY, USA, 1988; pp. 91–101. [Google Scholar]
 - DePinto, J.V.; Young, T.C.; Martin, S.C. Algal-available phosphorus in suspended sediments from lower Great Lakes tributaries. J. Great Lakes Res. 1981, 7, 311–325. [Google Scholar] [CrossRef]
 - House, W.A. Geochemical cycling of phosphorus in rivers. Appl. Geochem. 2003, 18, 739–748. [Google Scholar] [CrossRef]
 - Prosser, I.P.; Rutherfurd, I.D.; Olley, J.M.; Young, W.J.; Wallbrink, P.J.; Moran, C.J. Large-scale patterns of erosion and sediment transport in river networks, with examples from Australia. Mar. Freshw. Res. 2001, 52, 81–99. [Google Scholar] [CrossRef]
 - Kemp, P.; Sear, D.; Collins, A.; Naden, P.; Jones, I. The impacts of fine sediment on riverine fish. Hydrol. Processes 2011, 25, 1800–1821. [Google Scholar] [CrossRef]
 - Owens, P.N.; Walling, D.E. The phosphorus content of fluvial sediment in rural and industrialized river basins. Water Res. 2002, 36, 685–701. [Google Scholar] [CrossRef]
 - Stoddard, J.; Van Sickle, J.; Herlihy, A.; Brahney, J.; Paulsen, S.; Peck, D.V.; Mitchell, R.; Pollard, A.I. Continental-Scale Increase in Lake and Stream Phosphorus: Are Oligotrophic Systems Disappearing in the United States? Environ. Sci. Technol. 2016, 50, 3409–3415. [Google Scholar] [CrossRef] [Green Version]
 - McDowell, R.; Sharpley, A.; Folmar, G. Phosphorus Export from an Agricultural Watershed: Linking Source and Transport Mechanisms. J. Environ. Qual. 2001, 30, 1587–1595. [Google Scholar] [CrossRef] [Green Version]
 - Markovic, S.; Blukacz-Richards, A.E.; Dittrich, M. Speciation and bioavailability of particulate phosphorus in forested karst watersheds of southern Ontario during rain events. J. Great Lakes Res. 2020, 46, 824–838. [Google Scholar] [CrossRef]
 - Pacini, N.; Gächter, R. Speciation of riverine particulate phosphorus during rain events. Biogeochemistry 1999, 47, 87–109. [Google Scholar] [CrossRef]
 - Fogal, R.; Mulamoottil, G.; Stone, M.; Logan, L. Longitudinal and seasonal patterns of phosphorus in riverbed sediments. J. Environ. Plan. Manag. 1995, 38, 167–180. [Google Scholar] [CrossRef]
 - Poulenard, J.; Dorioz, J.-M.; Elsass, F. Analytical electron-microscopy fractionation of fine and colloidal particulate-phosphorus in riverbed and suspended sediments. J. Aquat. Geochem. 2008, 14, 193–210. [Google Scholar] [CrossRef]
 - Ballantine, D.; Walling, D.; Collins, A.; Leeks, G. The content and storage of phosphorus in fine-grained channel bed sediment in contrasting lowland agricultural catchments in the UK. Geoderma 2009, 151, 141–149. [Google Scholar] [CrossRef]
 - Barral, M.; Devesa-Rey, R.; Ruiz, B.; Diaz-Fierros, F. Evaluation of phosphorus species in the bed sediments of an Atlantic Basin: Bioavailability and relation with surface active components of the sediment. Soil Sediment Contam. 2012, 21, 1–18. [Google Scholar] [CrossRef]
 - Hauer, F.R.; Locke, H.; Dreitz, V.J.; Hebblewhite, M.; Lowe, W.H.; Muhlfeld, C.C.; Nelson, C.R.; Proctor, M.F.; Rood, S.B. Gravel-bed river floodplains are the ecological nexus of glaciated mountain landscapes. Sci. Adv. 2016, 2, e1600026. [Google Scholar] [CrossRef] [Green Version]
 - Kienzle, S.W.; Mueller, M. Mapping Alberta’s surface water resources for the period 1971–2000. Can. Geogr. 2013, 57, 506–518. [Google Scholar] [CrossRef]
 - Robinne, F.-N.; Bladon, K.D.; Silins, U.; Emelko, M.B.; Flannigan, M.D.; Parisien, M.-A.; Wang, X.; Kienzle, S.W.; Dupont, D.P. A Regional-Scale Index for Assessing the Exposure of Drinking-Water Sources to Wildfires. Forests 2019, 10, 384. [Google Scholar] [CrossRef] [Green Version]
 - Silins, U.; Stone, M.; Emelko, M.B.; Bladon, K.D. Sediment production following severe wildfire and post-fire salvage logging in the Rocky Mountain headwaters of the Oldman River Basin, Alberta. Catena 2009, 79, 189–197. [Google Scholar] [CrossRef]
 - Hamilton, W.N.; Langenberg, C.W.; Price, M.C.; Chao, D.K. Geological Map of Alberta; EUB/AGS Map 236; Alberta Energy and Utilities Board: Edmonton, AB, Canada, 1998. [Google Scholar]
 - Langenberg, W.; Pana, D.; Stockmal, G.; Price, R.; Spratt, D. Field Trip Guide: The Structure of the Crowsnest Pass Transect. In Proceedings of the 26th Canadian Tectonics Group Workshop, Crowsnest Pass, AB, Canada, 14–15 October 2006; pp. 1–37. [Google Scholar]
 - Environment Canada. Canadian Climate Normals 1981 to 2010. 2018. Available online: https://climate.weather.gc.ca/climate_normals/index_e.html (accessed on 6 October 2021).
 - Waterline. Crowsnest River Watershed Aquifer Mapping and Groundwater Management Planning Study; Waterline Resources Inc.: Calgary, AB, Canada, 2013. [Google Scholar]
 - Spencer, S.A.; Anderson, A.E.; Silins, U.; Collins, A.L. Hillslope and groundwater contributions to streamflow in a Rocky Mountain watershed underlain by glacial till and fractured sedimentary bedrock. Hydrol. Earth Syst. Sci. 2021, 25, 237–255. [Google Scholar] [CrossRef]
 - Wagner, M.J.; Bladon, K.D.; Silins, U.; Williams, C.H.; Martens, A.M.; Boon, S.; MacDonald, R.J.; Stone, M.; Emelko, M.B.; Anderson, A. Catchment-scale stream temperature response to land disturbance by wildfire governed by surface-subsurface energy exchange and atmospheric controls. J. Hydrol. 2014, 517, 328–338. [Google Scholar] [CrossRef]
 - Alberta Agriculture and Forestry, Government of Alberta. Alberta Vegetation Inventory (AVI) Crown; Alberta Agriculture and Forestry, Government of Alberta: Edmonton, AB, Canada, 2017. [Google Scholar]
 - Alberta Agriculture and Forestry, Government of Alberta. Grassland Vegetation Inventory (GVI); Alberta Agriculture and Forestry, Government of Alberta: Edmonton, AB, Canada, 2019. [Google Scholar]
 - Alberta Agriculture and Forestry, Government of Alberta. Wildfire Perimeters 1931 to 2020; Alberta Agriculture and Forestry, Government of Alberta: Edmonton, AB, Canada, 2021. [Google Scholar]
 - Alberta Environment and Parks, Government of Alberta. Alberta Human Footprint Monitoring Program (AHFMP); Alberta Agriculture and Forestry, Government of Alberta: Edmonton, AB, Canada, 2016. [Google Scholar]
 - Prior, G.J.; Hathway, B.; Glombick, P.M.; Pana, D.I.; Banks, C.J.; Hay, D.C.; Schneider, C.L.; Grobe, M.; Elgr, R.; Weiss, J.A. Bedrock Geology of Alberta; AER/AGS Map 600; Alberta Energy Regulator: Edmonton, AB, Canada, 2013. [Google Scholar]
 - Statistics Canada. Boundary Files, Reference Guide: 2011 Census, 1st ed.; Catalogue no. 92-160-G; Statistics Canada: Ottawa, ON, Canada, 2011. [Google Scholar]
 - Lambert, C.; Walling, D. Measurement of channel storage of suspended sediment in a gravel-bed river. Catena 1988, 15, 65–80. [Google Scholar] [CrossRef]
 - APHA. Standard Methods for The Examination of Water and Wastewater; American Public Health Association: Washington, DC, USA, 2017. [Google Scholar]
 - Mudroch, A. Geochemistry of the Detroit River Sediments. J. Great Lakes Res. 1985, 11, 193–200. [Google Scholar] [CrossRef]
 - Boström, B.; Pettersson, K. Different patterns of phosphorus release from lake sediments in laboratory experiments. Hydrobiologia 1982, 91, 415–429. [Google Scholar] [CrossRef]
 - Kaiserli, A.; Voutsa, D.; Samara, C. Phosphorus fractionation in lake sediments—Lakes Volvi and Koronia, N. Greece. Chemosphere 2002, 46, 1147–1155. [Google Scholar] [CrossRef]
 - Graham, M.H. Confronting multicollinearity in ecological multiple regression. Ecology 2003, 84, 2809–2815. [Google Scholar] [CrossRef] [Green Version]
 - Chatterjee, S.; Hadi, A.S. Regression Analysis by Example; John Wiley & Sons: Hoboken, NJ, USA, 2015. [Google Scholar]
 - Schindler, D.W. Evolution of Phosphorus Limitation in Lakes. Science 1977, 195, 260–262. [Google Scholar] [CrossRef] [Green Version]
 - Smith, V.H. Eutrophication of freshwater and coastal marine ecosystems a global problem. Environ. Sci. Pollut. Res. 2003, 10, 126–139. [Google Scholar] [CrossRef]
 - Anderson, K.A.; Downing, J.A. Dry and wet atmospheric deposition of nitrogen, phosphorus and silicon in an agricultural region. Water Air Soil Pollut. 2006, 176, 351–374. [Google Scholar] [CrossRef]
 - Tipping, E.; Benham, S.; Boyle, J.F.; Crow, P.; Davies, J.; Fischer, U.; Guyatt, H.; Helliwell, R.; Jackson-Blake, L.; Lawlor, A.J.; et al. Atmospheric deposition of phosphorus to land and freshwater. Environ. Sci. Process. Impacts 2014, 16, 1608–1617. [Google Scholar] [CrossRef] [PubMed] [Green Version]
 - Vicars, W.C.; Sickman, J.O.; Ziemann, P.J. Atmospheric phosphorus deposition at a montane site: Size distribution, effects of wildfire, and ecological implications. Atmos. Environ. 2010, 44, 2813–2821. [Google Scholar] [CrossRef]
 - Brahney, J.; Ballantyne, A.P.; Kociolek, P.; Spaulding, S.; Otu, M.; Porwoll, T.; Neff, J. Dust mediated transfer of phosphorus to alpine lake ecosystems of the Wind River Range, Wyoming, USA. Biogeochemistry 2014, 120, 259–278. [Google Scholar] [CrossRef] [Green Version]
 - Brahney, J.; Ballantyne, A.P.; Kociolek, P.; Leavitt, P.R.; Farmer, G.L.; Neff, J.C. Ecological changes in two contrasting lakes associated with human activity and dust transport in western Wyoming. Limnol. Oceanogr. 2015, 60, 678–695. [Google Scholar] [CrossRef] [Green Version]
 - Morales-Baquero, R.; Pulido-Villena, E.; Reche, I. Atmospheric inputs of phosphorus and nitrogen to the southwest Mediterranean region: Biogeochemical responses of high mountain lakes. Limnol. Oceanogr. 2006, 51, 830–837. [Google Scholar] [CrossRef] [Green Version]
 - Bodí, M.B.; Martin, D.A.; Balfour, V.N.; Santín, C.; Doerr, S.H.; Pereira, P.; Cerdà, A.; Mataix-Solera, J. Wildland fire ash: Production, composition and eco-hydro-geomorphic effects. Earth Sci. Rev. 2014, 130, 103–127. [Google Scholar] [CrossRef]
 - Qian, Y.; Miao, S.L.; Gu, B.; Li, Y.C. Effects of Burn Temperature on Ash Nutrient Forms and Availability from Cattail (Typha domingensis) and Sawgrass (Cladium jamaicense) in the Florida Everglades. J. Environ. Qual. 2009, 38, 451–464. [Google Scholar] [CrossRef] [Green Version]
 - Pereira, P.; Úbeda, X. Spatial distribution of heavy metals released from ashes after a wildfire. J. Environ. Eng. Landsc. Manag. 2010, 18, 13–22. [Google Scholar] [CrossRef]
 - Gabet, E.J.; Bookter, A. Physical, chemical and hydrological properties of Ponderosa pine ash. Int. J. Wildland Fire 2011, 20, 443–452. [Google Scholar] [CrossRef]
 - Hogue, B.A.; Inglett, P.W. Nutrient release from combustion residues of two contrasting herbaceous vegetation types. Sci. Total Environ. 2012, 431, 9–19. [Google Scholar] [CrossRef]
 - Chambers, D.; Attiwill, P. The Ash-Bed Effect in Eucalyptus regnans Forest: Chemical, Physical and Microbiological Changes in Soil After Heating or Partial Sterilisation. Aust. J. Bot. 1994, 42, 739–749. [Google Scholar] [CrossRef]
 - Parra, J.G.; Rivero, V.C.; Lopez, T.I. Forms of Mn in soils affected by a forest fire. Sci. Total Environ. 1996, 181, 231–236. [Google Scholar] [CrossRef]
 - Ranalli, A.J.; Stevens, M.R. Streamwater Quality Data from the 2002 Hayman, Hinman, and Missionary Ridge Wildfires, Colorado, 2003; U.S. Geological Survey: Reston, VA, USA, 2003. [Google Scholar]
 - Murphy, S.F.; McCleskey, R.B.; Writer, J.H. Effects of flow regime on stream turbidity and suspended solids after wildfire, Colorado Front Range. In Proceedings of the Wildfire and Water Quality—Processes, Impacts, and Challenges Conference, Banff, AB, Canada, 11–14 June 2012; IAHS Red Book; IAHS Publications: Oxforfshire, UK, 2012; Volume 354, pp. 51–58. [Google Scholar]
 - Gallaher, B.M.; Koch, R.J. Cerro Grande Fire Impact to Water Quality and Stream Flow near Los Alamos National Laboratory: Results of Four Years of Monitoring; Los Alamos National Lab (LANL): Los Alamos, NM, USA, 2004; p. 210. [Google Scholar]
 - Stone, M.; Emelko, M.; Droppo, I.; Silins, U. Biostabilization and erodibility of cohesive sediment deposits in wildfire-affected streams. Water Res. 2011, 45, 521–534. [Google Scholar] [CrossRef]
 - Bray, J.; Harding, J.S.; Kilroy, C.; Broady, P.; Gerbeaux, P. Physicochemical predictors of the invasive diatom Didymosphenia geminata at multiple spatial scales in New Zealand rivers. Aquat. Ecol. 2016, 50, 1–14. [Google Scholar] [CrossRef]
 - Cullis, J.D.S.; McKnight, D.M.; Spaulding, S.A. Hydrodynamic control of benthic mats of Didymosphenia geminata at the reach scale. Can. J. Fish. Aquat. Sci. 2015, 72, 902–914. [Google Scholar] [CrossRef]
 - Hix, L.A.; Murdock, J.N. Didymosphenia geminata habitat requirements are unique and variable for cell establishment and mat accumulation. Hydrobiologia 2018, 828, 147–164. [Google Scholar] [CrossRef]
 - Howery, J. Regional Assessment of the Effects of Land Use on Water Quality: A Case Study in the Oldman River Basin, Alberta. Master’s Thesis, University of Alberta, Edmonton, AB, Canada, 2010. [Google Scholar]
 - Larned, S.T.; Packman, A.I.; Plew, D.R.; Vopel, K. Interactions between the mat-forming alga Didymosphenia geminata and its hydrodynamic environment. Limnol. Oceanogr. Fluids Environ. 2011, 1, 4–22. [Google Scholar] [CrossRef] [Green Version]
 - Mc Callister, D.L.; Logan, T.J. Phosphate Adsorption-Desorption Characteristics of Soils and Bottom Sediments in the Maumee River Basin of Ohio. J. Environ. Qual. 1978, 7, 87–92. [Google Scholar] [CrossRef]
 - Stockdale, A.; Davison, W.; Zhang, H. Micro-scale biogeochemical heterogeneity in sediments: A review of available technology and observed evidence. Earth Sci. Rev. 2009, 92, 81–97. [Google Scholar] [CrossRef] [Green Version]
 - Karna, N.; Hari Prasad, K.; Giri, S.; Lodhi, A. Effect of fine sediments on river hydraulics—A research review. ISH J. Hydraul. Eng. 2015, 21, 151–161. [Google Scholar] [CrossRef]
 - Stone, M.; Collins, A.; Silins, U.; Emelko, M.; Zhang, Y. The use of composite fingerprints to quantify sediment sources in a wildfire impacted landscape, Alberta, Canada. Sci. Total Environ. 2014, 473, 642–650. [Google Scholar] [CrossRef] [PubMed]
 - Collins, A.L.; Blackwell, M.; Boeckx, P.; Chivers, C.-A.; Emelko, M.; Evrard, O.; Foster, I.; Gellis, A.; Gholami, H.; Granger, S.; et al. Sediment source fingerprinting: Benchmarking recent outputs, remaining challenges and emerging themes. J. Soils Sediments 2020, 20, 4160–4193. [Google Scholar] [CrossRef] [PubMed]
 





| Sub-Watershed | S1 | S2 | S3 | S4 | S5 | S6 | Total Area | % Total of Disturbed | 
|---|---|---|---|---|---|---|---|---|
| Area (ha) | 10,494.4 | 6172.6 | 3418.1 | 20,394.2 | 6610.8 | 20,776.1 | 67,866.2 | |
| Anthropogenic disturbance | ||||||||
| Agriculture | 11.0 | 6.2 | — | 73.3 | — | 1952.2 | 2042.7 | 12% | 
| Industrial | 1616.0 | 480.2 | 491.3 | 2594.4 | 219.9 | 992.6 | 6394.5 | 38% | 
| Municipal | 168.5 | 95.7 | 70.4 | 693.7 | 198.0 | 576.9 | 1803.1 | 11% | 
| Roads (all sectors) | 194.2 | 129.4 | 72.1 | 608.9 | 122.7 | 838.5 | 1965.7 | 12% | 
| Other cleared lands | 1.5 | 0.1 | 40.2 | 1.7 | 4.5 | 48.0 | 95.9 | 1% | 
| Total anthropogenic | 1991.2 | 711.6 | 674.0 | 3972.0 | 545.0 | 4408.1 | 12,302.0 | 73% | 
| Natural disturbance | ||||||||
| Wildfire | — | — | — | 1723.4 | 1.1 | 2740.5 | 4465.0 | 27% | 
| Total disturbance * (ha) | 1991.2 | 711.6 | 674.0 | 5695.5 | 546.2 | 7148.5 | 16,767.0 | 100% | 
| % sub-watershed area | 19% | 12% | 20% | 28% | 8% | 34% | 25% | 
| Variable | Linear Discriminant Component | |
|---|---|---|
| LD 1 | LD2 | |
| Al2O3 | 0.98 | 2.70 | 
| MnO | 0.94 | −0.88 | 
| CaO | −6.17 | 2.72 | 
| Total % variance | 88.70 | 10.25 | 
| Cumulative % variance | 88.70 | 98.95 | 
| BD-RP | NaOH-RP | HCl-RP | Refractory-P | |
|---|---|---|---|---|
| SiO2 | 0.55 ** | −0.42 * | ||
| Al2O3 | 0.44 * | |||
| Fe2O3 | ||||
| MnO | 0.37 | 0.35 | ||
| MgO | −0.38 | |||
| CaO | ||||
| Na2O | ||||
| K2O | 0.41 * | |||
| TiO2 | 0.38 | |||
| P2O5 | 0.41 * | |||
| V2O5 | ||||
| LOI | 
Publisher’s Note: MDPI stays neutral with regard to jurisdictional claims in published maps and institutional affiliations.  | 
© 2021 by the authors. Licensee MDPI, Basel, Switzerland. This article is an open access article distributed under the terms and conditions of the Creative Commons Attribution (CC BY) license (https://creativecommons.org/licenses/by/4.0/).
Share and Cite
Watt, C.; Emelko, M.B.; Silins, U.; Collins, A.L.; Stone, M. Anthropogenic and Climate-Exacerbated Landscape Disturbances Converge to Alter Phosphorus Bioavailability in an Oligotrophic River. Water 2021, 13, 3151. https://doi.org/10.3390/w13223151
Watt C, Emelko MB, Silins U, Collins AL, Stone M. Anthropogenic and Climate-Exacerbated Landscape Disturbances Converge to Alter Phosphorus Bioavailability in an Oligotrophic River. Water. 2021; 13(22):3151. https://doi.org/10.3390/w13223151
Chicago/Turabian StyleWatt, Caitlin, Monica B. Emelko, Uldis Silins, Adrian L. Collins, and Micheal Stone. 2021. "Anthropogenic and Climate-Exacerbated Landscape Disturbances Converge to Alter Phosphorus Bioavailability in an Oligotrophic River" Water 13, no. 22: 3151. https://doi.org/10.3390/w13223151
APA StyleWatt, C., Emelko, M. B., Silins, U., Collins, A. L., & Stone, M. (2021). Anthropogenic and Climate-Exacerbated Landscape Disturbances Converge to Alter Phosphorus Bioavailability in an Oligotrophic River. Water, 13(22), 3151. https://doi.org/10.3390/w13223151
        
                                                
