Prediction of Grape Sap Flow in a Greenhouse Based on Random Forest and Partial Least Squares Models
Abstract
:1. Introduction
2. Materials and Methods
2.1. Overview of the Test Area
2.2. Experimental Design
2.3. Observation Indicators and Methods
2.3.1. Meteorological Data
2.3.2. Soil Water Content (SWC)
2.3.3. Sap Flow Rate (SF)
2.4. Model Building and Data Analysis
2.4.1. Random Forest Model
2.4.2. Partial Least Squares Model
2.4.3. Uncertainty Analysis
2.5. Model Verification
3. Results
3.1. Variation in Grape Sap Flow for Different Irrigation Treatments
3.2. Analysis of the Sap Flow Simulation Model
3.2.1. Comparison between Measured Values of Grape Sap Flow and Predicted Values from the Model
3.2.2. Comparison between the Measured Value of Grape Sap Flow and the Value Predicted by the Model
3.2.3. Model Uncertainty Analysis
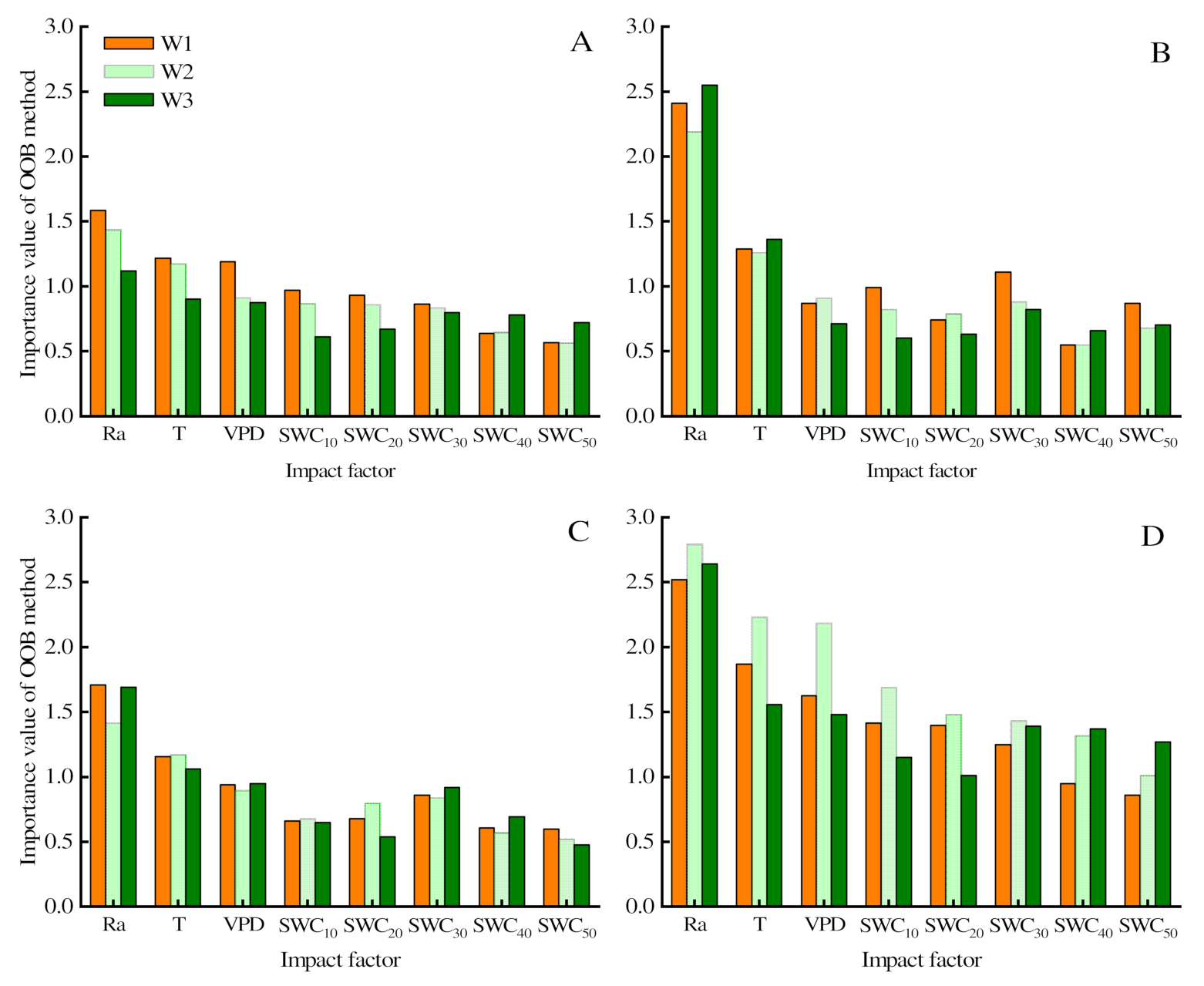
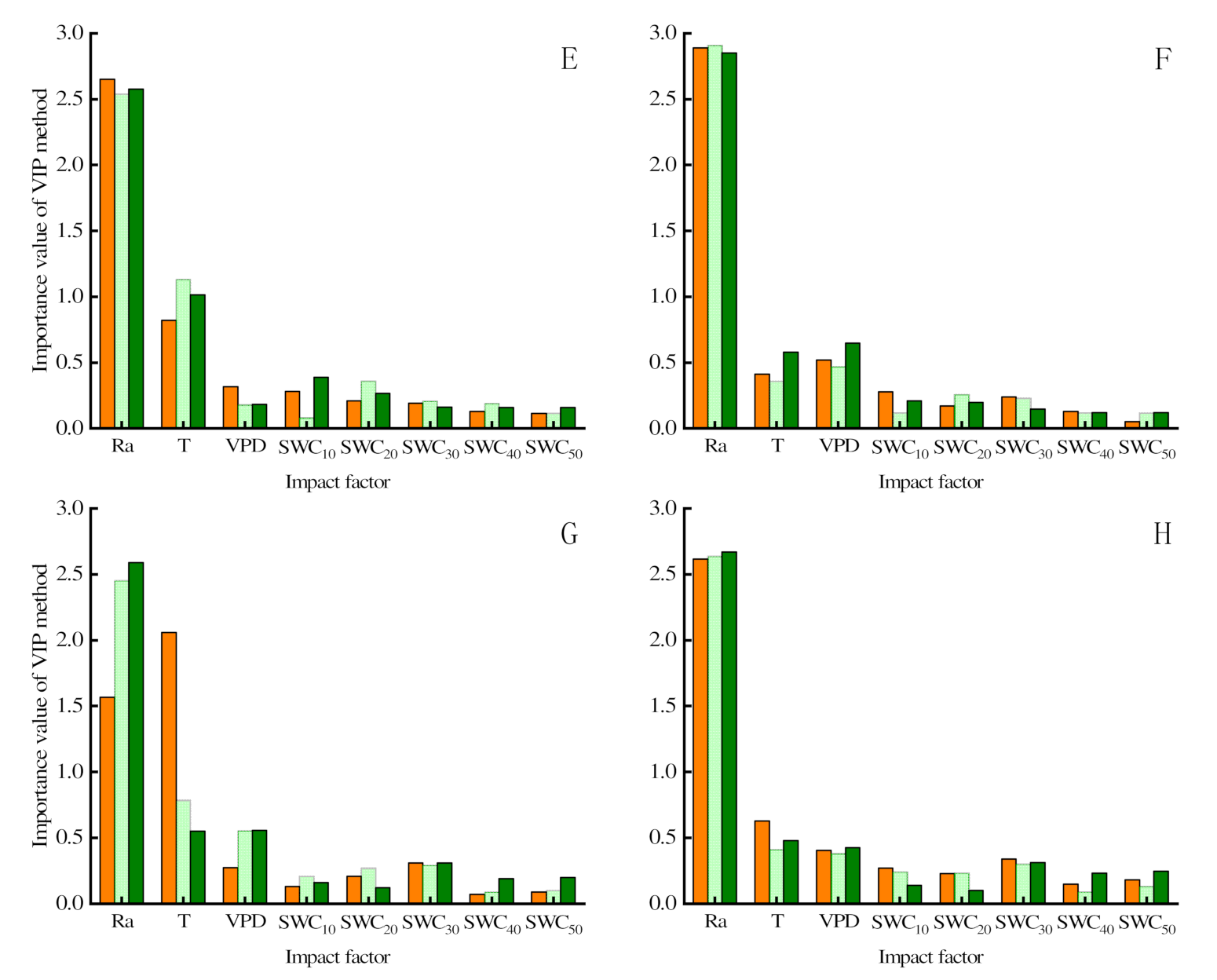
3.3. Evaluation of the Importance of Predictive Variables
4. Discussion
5. Conclusions
Author Contributions
Funding
Institutional Review Board Statement
Informed Consent Statement
Data Availability Statement
Acknowledgments
Conflicts of Interest
References
- Martin, J.; Markus, R.; Philippe, C.; Sonia, I.S.; Justin, S.; L, G.M.; Gordon, B.; Alessandro, C.; Jiquan, C.; Richard, d.J.; et al. Recent decline in the global land evapotranspiration trend due to limited moisture supply. Nature 2010, 467, 951–954. [Google Scholar] [CrossRef]
- Trenberth, K.E.; Fasullo, J.T.; Kiehl, J. Earth’s Global Energy Budget. Bull. Am. Meteorol. Soc. 2009, 90, 311–323. [Google Scholar] [CrossRef]
- Scott, J.; Sharp, Z.D.; Gibson, J.J.; Jean, B.S.; Yi, Y.; Fawcett, P.J. Terrestrial water fluxes dominated by transpiration. Nature 2013, 496, 347–350. [Google Scholar]
- Lagergren, F.; Lindroth, A. Transpiration response to soil moisture in pine and spruce trees in Sweden. Agric. For. Meteorol. 2002, 112, 67–85. [Google Scholar] [CrossRef]
- Myburgh, P.A. Estimating Transpiration of Whole Grapevines under Field Conditions. South Afr. J. Enol. Vitic. 2016, 37, 47–60. [Google Scholar] [CrossRef]
- Fernández, J.; Moreno, F.; Martín-Palomo, M.; Cuevas, M.V.; Torres-Ruiz, J.M.; Moriana, A. Combining sap flow and trunk diameter measurements to assess water needs in mature olive orchards. Environ. Exp. Bot. 2011, 72, 330–338. [Google Scholar] [CrossRef]
- Zhang, Y.; Kang, S.; Ward, E.J.; Ding, R.; Xin, Z.; Rui, Z. Evapotranspiration components determined by sap flow and microlysimetry techniques of a vineyard in northwest China: Dynamics and influential factors. Agric. Water Manag. 2011, 98, 1207–1214. [Google Scholar] [CrossRef]
- Chen, D.; Wang, Y.; Liu, S.; Wei, X.; Wang, X. Response of relative sap flow to meteorological factors under different soil moisture conditions in rainfed jujube (Ziziphus jujuba Mill.) plantations in semiarid Northwest China. Agric. Water Manag. 2014, 136, 23–33. [Google Scholar] [CrossRef]
- Chen, R.; Kang, E.; Zhao, W.; Zhang, Z.; Zhang, J. Trees transpiration response to meteorological variables in arid regions of Northwest China. Acta Ecol. Sin. 2004, 24, 477–485. [Google Scholar]
- Novak, V.; Hurtalova, T.; Matejka, F. Predicting the effects of soil water content and soil water potential on transpiration of maize. Agric. Water Manag. 2005, 76, 211–223. [Google Scholar] [CrossRef]
- Zhang, B.; Xu, D.; Liu, Y.; Li, F.; Cai, J.; Du, L. Multi-scale evapotranspiration of summer maize and the controlling meteorological factors in north China. Agric. For. Meteorol. 2016, 216, 1–12. [Google Scholar] [CrossRef]
- Nicolas, E.; Torrecillas, A.; Ortu?O, M.F.; Domingo, R.; Alarcón, J. Evaluation of transpiration in adult apricot trees from sap flow measurements. Agric. Water Manag. 2005, 72, 131–145. [Google Scholar] [CrossRef]
- Tognetti, R.; D’Andria, R.; Morelli, G.; Alvino, A. The effect of deficit irrigation on seasonal variations of plant water use in Olea europaea L. Plant Soil 2005, 273, 139–155. [Google Scholar] [CrossRef]
- Traore, S.; Wang, Y.M.; Kerh, T. Artificial neural network for modeling reference evapotranspiration complex process in Sudano-Sahelian zone. Agric. Water Manag. 2010, 97, 707–714. [Google Scholar] [CrossRef]
- Tabari, H.; Kisi, O.; Ezani, A.; Talaee, P.H. SVM, ANFIS, regression and climate based models for reference evapotranspiration modeling using limited climatic data in a semi-arid highland environment. J. Hydrol. 2012, 444–445, 78–89. [Google Scholar] [CrossRef]
- Deo, R.C.; Ahin, M. Application of the extreme learning machine algorithm for the prediction of monthly Effective Drought Index in eastern Australia. Atmos. Res. 2015, 153, 512–525. [Google Scholar] [CrossRef] [Green Version]
- Liu, X.; Kang, S.; Li, F. Simulation of artificial neural network model for trunk sap flow of Pyrus pyrifolia and its comparison with multiple-linear regression—ScienceDirect. Agric. Water Manag. 2009, 96, 939–945. [Google Scholar] [CrossRef]
- Du, B.; Hu, X.; Wang, W.; Ma, L.; Zhou, S. Stem flow influencing factors sensitivity analysis and stem flow model applicability in filling stage of alternate furrow irrigated maize. Sci. Agric. Sin. 2018, 51, 233–245. [Google Scholar]
- Fan, J.; Zheng, J.; Wu, L.; Zhang, F. Estimation of daily maize transpiration using support vector machines, extreme gradient boosting, artificial and deep neural networks models. Agric. Water Manag. 2021, 245, 106547. [Google Scholar] [CrossRef]
- Kumar, M.; Raghuwanshi, N.S.; Singh, R. Artificial neural networks approach in evapotranspiration modeling: A review. Irrig. Ence 2011, 29, 11–25. [Google Scholar] [CrossRef]
- Huang, G.B.; Zhu, Q.Y.; Siew, C.K. Extreme learning machine: Theory and applications. Neurocomputing 2006, 70, 489–501. [Google Scholar] [CrossRef]
- Wang, Z.; Lai, C.; Chen, X.; Yang, B.; Zhao, S.; Bai, X. Flood hazard risk assessment model based on random forest. J. Hydrol. 2015, 527, 1130–1141. [Google Scholar] [CrossRef]
- Rodriguez, G.V.; Mendes, M.P.; Garcia, S.M.J.; Chica, O.M.; Ribeiro, L. Predictive modeling of groundwater nitrate pollution using Random Forest and multisource variables related to intrinsic and specific vulnerability: A case study in an agricultural setting (Southern Spain). Sci. Total. Environ. 2014, 476-477, 189–206. [Google Scholar] [CrossRef] [PubMed]
- Gong, H.; Sun, Y.; Shu, X.; Huang, B. Use of random forests regression for predicting IRI of asphalt pavements. Constr. Build. Mater. 2018, 189, 890–897. [Google Scholar] [CrossRef]
- Longjun, D.; Xibing, L.I.; Peng, K. Prediction of rockburst classification using Random Forest. Trans. Nonferrous Met. Soc. China 2013, 23, 472–477. [Google Scholar]
- Wu, M.; Feng, Q.; Wen, X.; Deo, R.C.; Sheng, D. Random forest predictive model with uncertainty analysis capability for estimation of evapotranspiration in an arid oasis region. Hydrol. Res. 2020, 51, 648–665. [Google Scholar] [CrossRef]
- Fukuda, S.; Spreer, W.; Yasunaga, E.; Yuge, K.; Sardsud, V.; Müller, J. Random Forests modelling for the estimation of mango (Mangifera indica L. cv. Chok Anan) fruit yields under different irrigation regimes. Agric. Water Manag. 2013, 116, 142–150. [Google Scholar] [CrossRef]
- Oussama, A.; Elabadi, F.; Platikanov, S.; Kzaiber, F.; Tauler, R. Detection of Olive Oil Adulteration Using FT-IR Spectroscopy and PLS with Variable Importance of Projection (VIP) Scores. J. Am. Oil Chem. Soc. 2012, 89, 1807–1812. [Google Scholar] [CrossRef]
- Ming, Z.; Mu, H.; Gang, L.; Ning, Y. Forecasting the transport energy demand based on PLSR method in China. Energy 2009, 34, 1396–1400. [Google Scholar]
- Shrestha, D.L.; Kayastha, N.; Solomatine, D.P. A novel approach to parameter uncertainty analysis of hydrological models using neural networks. Hydrol. Earth Syst. Sci. Discuss. 2009, 6, 1235–1248. [Google Scholar] [CrossRef] [Green Version]
- Ru, C.; Hu, X.; Wang, W.; Ran, H.; Song, T.; Yinyin, G. Evaluation of the Crop Water Stress Index as an Indicator for the Diagnosis of Grapevine Water Deficiency in Greenhouses. Horticulturae 2020, 6, 86. [Google Scholar] [CrossRef]
- Allen, R.; Pereira, L.; Raes, D.; Smith, M.; Allen, R.G.; Pereira, L.S.; Martin, S. Crop Evapotranspiration: Guidelines for Computing Crop Water Requirements, FAO Irrigation and Drainage Paper 56. FAO 1998, 56, D05109. [Google Scholar]
- Breiman, L. Random forests. Mach. Learing 2001, 45, 5–32. [Google Scholar] [CrossRef] [Green Version]
- Jager, J.M.D. Accuracy of vegetation evaporation ratio formulae for estimating final wheat yield. Ieice Trans. Fundam. Electron. Commun. Comput. Sci. 1994, 71, 1480–1486. [Google Scholar]
- Demrati, H.; Boulard, T.; Fatnassi, H.; Bekkaoui, A.; Majdoubi, H.; Elattir, H.; Bouirden, L. Microclimate and transpiration of a greenhouse banana crop. Biosyst. Eng. 2007, 98, 66–78. [Google Scholar] [CrossRef]
- Qiu, R.; Kang, S.; Li, F.; Du, T.; Tong, L.; Wang, F.; Chen, R.; Liu, J.; Li, S. Energy partitioning and evapotranspiration of hot pepper grown in greenhouse with furrow and drip irrigation methods. Sci. Hortic. 2011, 129, 790–797. [Google Scholar] [CrossRef]
- Malheiro, A.C.; Pires, M.; Conceio, N.; Claro, A.M.; Moutinho-Pereira, J. Linking Sap Flow and Trunk Diameter Measurements to Assess Water Dynamics of Touriga-Nacional Grapevines Trained in Cordon and Guyot Systems. Agriculture 2020, 10, 315. [Google Scholar] [CrossRef]
- Tie, Q.; Hu, H.; Tian, F.; Guan, H.; Lin, H. Environmental and physiological controls on sap flow in a subhumid mountainous catchment in North China. Agric. For. Meteorol. 2017, 240, 46–57. [Google Scholar] [CrossRef]
- Chunwei, L.; Taisheng, D.; Fusheng, L.; Shaozhong, K.; Sien, L.; Ling, T. Trunk sap flow characteristics during two growth stages of apple tree and its relationships with affecting factors in an arid region of northwest China. Agric. Water Manag. 2012, 104, 193–202. [Google Scholar] [CrossRef]








| Growth Stage | Irrigation Date | Irrigation Amount (m3/ha) | ||
|---|---|---|---|---|
| W1 | W2 | W3 | ||
| New shoot growth stage | 11 March | 293.6 | 234.5 | 176.0 |
| 19 March | 293.6 | 234.5 | 176.0 | |
| 27 March | 293.6 | 234.5 | 176.0 | |
| 6 April | 293.6 | 234.5 | 176.0 | |
| 15 April | 341.4 | 273.0 | 204.0 | |
| 25 April | 341.4 | 273.0 | 204.0 | |
| Fruit expansion stage | 5 May | 341.4 | 273.0 | 204.0 |
| 13 May | 341.4 | 273.0 | 204.0 | |
| 20 May | 341.4 | 273.0 | 204.0 | |
| 27 May | 341.4 | 273.0 | 204.0 | |
| Veraison and maturity stage | 5 June | 293.6 | 234.5 | 176.0 |
| 15 June | 293.6 | 234.5 | 176.0 | |
| Total irrigation amount | 3810 | 3045 | 2280 | |
| Growth Stage | Predictive Variable | Treatment | Omax | RF | PLS | ||||
|---|---|---|---|---|---|---|---|---|---|
| R2 | RMSE | WIA | R2 | RMSE | WIA | ||||
| New shoot growth stage | M-F-S | W1 | 515.82 | 0.93 | 24.75 | 0.96 | 0.77 | 46.77 | 0.93 |
| W2 | 456.12 | 0.89 | 26.29 | 0.97 | 0.75 | 40.10 | 0.93 | ||
| W3 | 195.27 | 0.85 | 14.95 | 0.97 | 0.80 | 24.03 | 0.92 | ||
| Fruit expansion stage | M-F-S | W1 | 657.52 | 0.95 | 43.54 | 0.98 | 0.94 | 64.23 | 0.97 |
| W2 | 622.49 | 0.95 | 39.00 | 0.98 | 0.86 | 60.91 | 0.96 | ||
| W3 | 406.46 | 0.93 | 23.91 | 0.99 | 0.88 | 35.16 | 0.97 | ||
| Veraison and maturity stage | M-F-S | W1 | 562.12 | 0.93 | 29.75 | 0.96 | 0.80 | 66.13 | 0.94 |
| W2 | 482.00 | 0.90 | 35.51 | 0.97 | 0.80 | 49.26 | 0.94 | ||
| W3 | 255.98 | 0.89 | 24.25 | 0.97 | 0.85 | 28.60 | 0.96 | ||
| Whole growth period | M-F-S | W1 | 808.08 | 0.95 | 36.68 | 0.99 | 0.79 | 77.58 | 0.95 |
| W2 | 674.35 | 0.94 | 32.22 | 0.98 | 0.78 | 59.73 | 0.94 | ||
| W3 | 406.46 | 0.94 | 20.53 | 0.98 | 0.79 | 36.63 | 0.94 | ||
| Growth Stage | Predictive Variable | Treatment | Omax | RF | PLS | ||||
|---|---|---|---|---|---|---|---|---|---|
| R2 | RMSE | WIA | R2 | RMSE | WIA | ||||
| New shoot growth stage | M-F | W1 | 515.82 | 0.85 | 39.13 | 0.95 | 0.77 | 47.66 | 0.93 |
| W2 | 456.12 | 0.83 | 34.69 | 0.95 | 0.73 | 41.93 | 0.92 | ||
| W3 | 195.27 | 0.80 | 17.02 | 0.93 | 0.72 | 24.76 | 0.92 | ||
| Fruit expansion stage | M-F | W1 | 657.52 | 0.91 | 54.90 | 0.97 | 0.87 | 68.52 | 0.96 |
| W2 | 622.49 | 0.90 | 50.14 | 0.97 | 0.84 | 65.89 | 0.95 | ||
| W3 | 406.46 | 0.91 | 29.27 | 0.98 | 0.87 | 35.76 | 0.96 | ||
| Veraison and maturity stage | M-F | W1 | 562.12 | 0.84 | 40.34 | 0.96 | 0.74 | 74.87 | 0.92 |
| W2 | 482.00 | 0.81 | 35.35 | 0.94 | 0.72 | 54.41 | 0.91 | ||
| W3 | 255.98 | 0.78 | 23.77 | 0.95 | 0.70 | 33.64 | 0.94 | ||
| Whole growth period | M-F | W1 | 808.08 | 0.89 | 46.64 | 0.96 | 0.77 | 84.79 | 0.93 |
| W2 | 674.35 | 0.85 | 35.51 | 0.95 | 0.76 | 74.76 | 0.92 | ||
| W3 | 406.46 | 0.83 | 30.85 | 0.95 | 0.74 | 51.91 | 0.93 | ||
| Model | Growth Period | d-Factor | ||||
|---|---|---|---|---|---|---|
| W1 | W2 | W3 | Average Xi | Average | ||
| RF | New shoot growth stage | 0.40 | 0.40 | 0.49 | 0.43 | 0.52 |
| Fruit expansion stage | 0.22 | 0.23 | 0.25 | 0.23 | ||
| Veraison and maturity stage | 0.60 | 0.48 | 0.90 | 0.66 | ||
| Whole growth period | 0.57 | 0.48 | 1.20 | 0.75 | ||
| PLS | New shoot growth stage | 0.47 | 0.49 | 0.54 | 0.50 | 0.64 |
| Fruit expansion stage | 0.32 | 0.42 | 0.43 | 0.39 | ||
| Veraison and maturity stage | 0.74 | 0.72 | 0.89 | 0.78 | ||
| Whole growth period | 0.72 | 0.59 | 1.32 | 0.88 | ||
Publisher’s Note: MDPI stays neutral with regard to jurisdictional claims in published maps and institutional affiliations. |
© 2021 by the authors. Licensee MDPI, Basel, Switzerland. This article is an open access article distributed under the terms and conditions of the Creative Commons Attribution (CC BY) license (https://creativecommons.org/licenses/by/4.0/).
Share and Cite
Peng, X.; Hu, X.; Chen, D.; Zhou, Z.; Guo, Y.; Deng, X.; Zhang, X.; Yu, T. Prediction of Grape Sap Flow in a Greenhouse Based on Random Forest and Partial Least Squares Models. Water 2021, 13, 3078. https://doi.org/10.3390/w13213078
Peng X, Hu X, Chen D, Zhou Z, Guo Y, Deng X, Zhang X, Yu T. Prediction of Grape Sap Flow in a Greenhouse Based on Random Forest and Partial Least Squares Models. Water. 2021; 13(21):3078. https://doi.org/10.3390/w13213078
Chicago/Turabian StylePeng, Xuelian, Xiaotao Hu, Dianyu Chen, Zhenjiang Zhou, Yinyin Guo, Xin Deng, Xingguo Zhang, and Tinggao Yu. 2021. "Prediction of Grape Sap Flow in a Greenhouse Based on Random Forest and Partial Least Squares Models" Water 13, no. 21: 3078. https://doi.org/10.3390/w13213078
APA StylePeng, X., Hu, X., Chen, D., Zhou, Z., Guo, Y., Deng, X., Zhang, X., & Yu, T. (2021). Prediction of Grape Sap Flow in a Greenhouse Based on Random Forest and Partial Least Squares Models. Water, 13(21), 3078. https://doi.org/10.3390/w13213078

