Reduction of COD and Highly Coloured Mature Landfill Leachate by Tin Tetrachloride with Rubber Seed and Polyacrylamide
Abstract
:1. Introduction
2. Materials and Methods
2.1. Preparation of Coagulants Stock Solution
2.2. Leachate Sampling and Characteristics
2.3. Jar Test
2.4. Analytical Method
2.5. Sludge Settling Characteristic
2.5.1. Sludge Volume Index (SVI)
2.5.2. Settling Sludge Rate (SSR)
2.6. Particle Size
3. Results and Discussion
3.1. Characterisation of Leachate
3.2. The Effect of pH on COD and Colour Reduction from Landfill Leachate
3.3. Effect of Dose on COD and Colour Reduction from Landfill Leachate
3.4. Rubber Seed (RS) and Polyacrylamide (PAM) as the Coagulant Aid
3.5. Particle Size
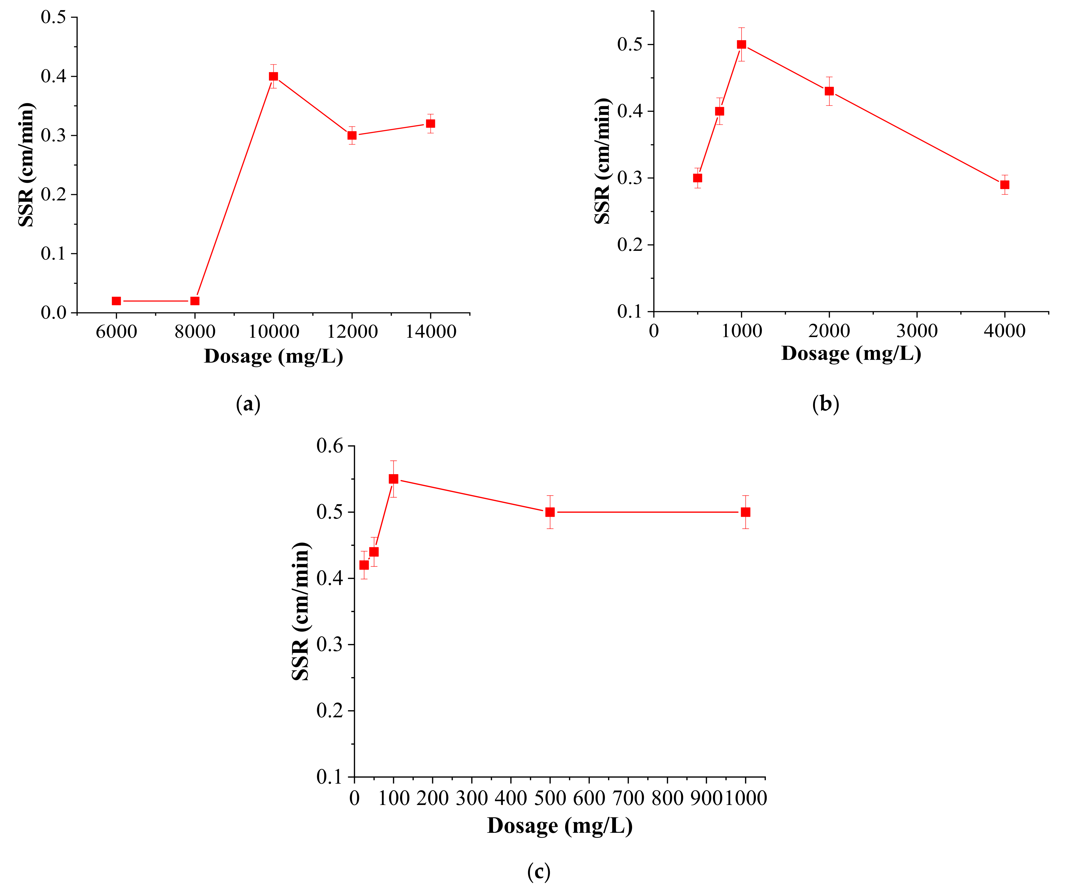
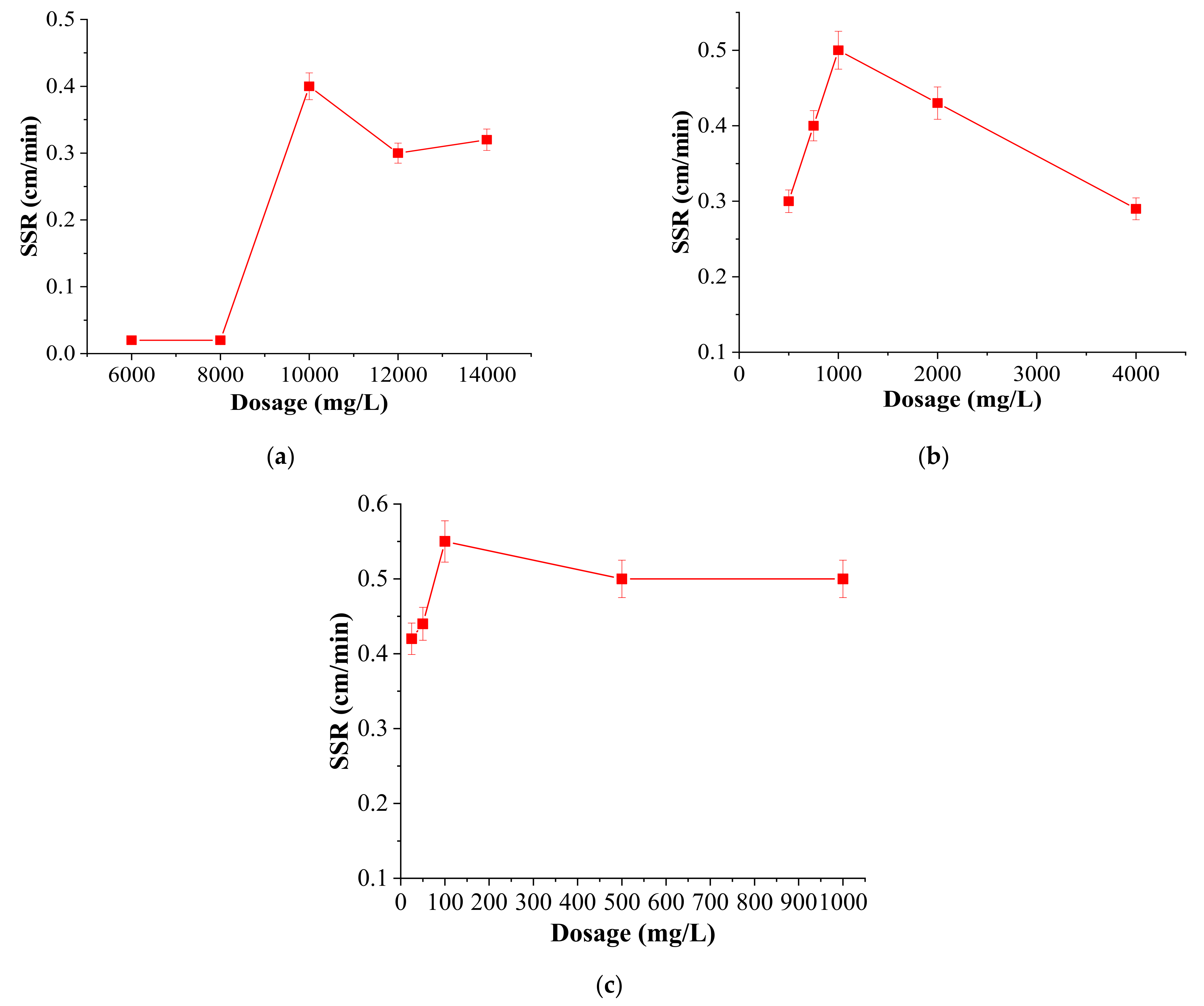
3.6. Sludge Settling Velocity (Vs)
3.7. Sludge Volume Index (SVI)
3.8. Cost Estimation of Coagulation Flocculation Process
4. Conclusions
Author Contributions
Funding
Institutional Review Board Statement
Informed Consent Statement
Acknowledgments
Conflicts of Interest
References
- Wu, C.; Li, Q. Characteristics of organic matter removed from highly saline mature landfill leachate by an emergency disk tube-reverse osmosis treatment system. Chemosphere 2021, 263, 128347. [Google Scholar] [CrossRef] [PubMed]
- Ding, W.; Zeng, X.; Hu, X.; Deng, Y.; Hossain, M.N.; Chen, L. Characterization of dissolved organic matter in mature leachate during ammonia stripping and two-stage aged-refuse bioreactor treatment. J. Environ. Eng. 2018, 144, 04017082. [Google Scholar] [CrossRef]
- Amor, C. Mature landfill leachate treatment by coagulation/flocculation combined with Fenton and solar photo-Fenton processes. J. Hazard. Mater. 2015, 286, 261–268. [Google Scholar] [CrossRef] [PubMed]
- Bhalla, B.; Saini, M.S.; Jha, M.K. Effect of age and seasonal variations on leachate characteristics of municipal solid waste landfill. Int. J. Res. Eng. Technol. 2013, 2, 223–232. [Google Scholar]
- Aziz, H.A.; Alias, S.; Adlan, M.N.; Asaari, A.H.F.; Zahari, M.S. Colour removal from landfill leachate by coagulation and flocculation processes. Bioresour. Technol. 2007, 98, 218–220. [Google Scholar] [CrossRef] [PubMed]
- Chang, Q. Colloid and Interface Chemistry for Water Quality Control. Colloid and Interface Chemistry for Water Quality Control; Elsevier Inc.: London, UK, 2016. [Google Scholar]
- Tejera, J.; Miranda, R.; Hermosilla, D.; Urra, I.; Negro, C.; Blanco, Á. Treatment of a mature landfill leachate: Comparison between homogeneous and heterogeneous. Water 2019, 11, 1849. [Google Scholar] [CrossRef] [Green Version]
- Kehinde, F.; Aziz, H.A. Textile Waste Water and the advanced Oxidative Treatment Process, an Overview. Int. J. Innov. Res. Sci. Eng. Technol. 2014, 3, 15310–15317. [Google Scholar] [CrossRef]
- Amr, S.S.A.; Aziz, H.A.; Bashir, M.J.K.; Aziz, S.Q.; Alslaibi, T.M. Evaluation and Optimization of Various Ozone—Based Advanced Oxidation Processes in the Treatment of Stabilized Landfill Leachate. Aust. J. Basic Appl. Sci. 2015, 2, 9–19. [Google Scholar]
- Nor Azliza Akbar, M.N.A.; Aziz, H.A. Potential of High Quality Limestone as Adsorbent for Iron and Manganese Removal in Groundwater. J. Teknol. 2016, 2, 77–82. [Google Scholar]
- Amr, S.S.A.; Aziz, H.A.; Adlan, M.N.; Aziz, S.Q. Effect of Ozone and Ozone/Fenton in the Advanced Oxidation Process on Biodegradable Characteristics of Semi-aerobic Stabilized Leachate. Clean Soil, Air Water 2013, 41, 148–152. [Google Scholar] [CrossRef]
- Abu Amr, S.S.; Aziz, H.A.; Hossain, M.S.; Bashir, M.J.K. Simultaneous removal of COD and color from municipal landfill leachate using Ozone/Zinc sulphate oxidation process. Glob. Nest, J. 2017, 19, 498–504. [Google Scholar]
- Mojiri, A.; Aziz, H.A.; Aziz, S.Q. Trends in Physical-Chemical Methods for Landfill Leachate Treatment. Int. J. Sci. Res. Environ. Sci. 2013, 1, 16–25. [Google Scholar] [CrossRef]
- Mojiri, A.; Aziz, H.A.; Zaman, N.Q.; Aziz, S.Q.; Zahed, M.A. Metals removal from municipal landfill leachate and wastewater using adsorbents combined with biological method. Desalin. Water Treat. 2016, 57, 2819–2833. [Google Scholar] [CrossRef]
- Djeffal, K.; Bouranene, S.; Fievet, P.; Déon, S.; Gheid, A. Treatment of controlled discharge leachate by coagulation-flocculation: Influence of operational conditions. Sep. Sci. Technol. 2021, 56, 168–183. [Google Scholar] [CrossRef]
- Shaylinda, M.Z.N.; Taruunen, R.; Hazreek, Z.A.M.; Afnizan, W.M.W. Coagulation-flocculation of leachate by using single coagulant made from chemical coagulant (Polyaluminium Chloride) and natural coagulant (Tapioca Flour). Int. J. Integr. Eng. 2019, 11, 236–243. [Google Scholar] [CrossRef] [Green Version]
- Saranya, P.; Ramesh, S.T.; Gandhimathi, R. Effectiveness of natural coagulants from non-plant-based sources for water and wastewater treatment—A review. Desalin. Water Treat. 2014, 52, 6030–6039. [Google Scholar] [CrossRef]
- Patel, H.; Vashi, R.T. Removal of Congo Red dye from its aqueous solution using natural coagulants. J. Saudi Chem. Soc. 2012, 16, 131–136. [Google Scholar] [CrossRef] [Green Version]
- Lyklema, J. Coagulation by multivalent counter-ions and the Schulze-Hardy rule. J. Colloid Interface Sci. 2013, 392, 102–104. [Google Scholar] [CrossRef]
- Mathews, T.J. The effects of a stannous chloride-based water treatment system in a mercury contaminated stream. Chemosphere 2015, 138, 190–196. [Google Scholar] [CrossRef] [Green Version]
- Zepeda, A.M.; Gonzalez, D.; Heredia, L.G.; Marquez, K.; Perez, C.; Pena, E.; Flores, K.; Valdes, C.; Eubanks, T.M.; Parsons, J.G.; et al. Removal of Cu2+ and Ni2+ from aqueous solution using SnO2 nanomaterial effect of pH, time, temperature, interfering cations. Microchem. J. 2018, 141, 188–196. [Google Scholar] [CrossRef]
- Cruz, D.; Pimentel, M.; Russo, A.; Cabral, W. Charge neutralisation mechanism efficiency in water with high color turbidity ratio using aluminium sulfate and flocculation index. Water 2020, 12, 572. [Google Scholar] [CrossRef] [Green Version]
- Nguyen, A.V.; Drelich, J.; Colic, M.; Nalaskowski, J.; Miller, J.D.; Miller, J.D. Bubbles: Interaction with solid surfaces. In Encyclopedia of Surface and Colloid Science; CRC Press: Florida, FL, USA, 2015. [Google Scholar]
- Hamidi, A.A.; Alias, S.; Assari, F.; Adlan, M.N. The use of alum, ferric chloride and ferrous sulphate as coagulants in removing suspended solids, colour and COD from semi-aerobic landfill leachate at controlled pH. Waste Manag. Res. 2007, 25, 556–565. [Google Scholar] [CrossRef]
- Lichtfouse, E.; Navarrete, M.; Hamelin, M.; Debaeke, P. Sustainable Agriculture; Springer Science+Business Media B.V.: New York, NY, USA, 2011; Volume 2. [Google Scholar]
- Aguilar, M.I.; Sáez, J.; Lloréns, M.; Soler, A.; Ortuño, J.F.; Meseguer, V.; Fuentes, A. Improvement of coagulation-flocculation process using anionic polyacrylamide as coagulant aid. Chemosphere 2005, 58, 47–56. [Google Scholar] [CrossRef]
- Zhou, Z.; Shan, A.; Zhao, Y. Synthesis of a novel magnetic polyacrylamide coagulant and its application in wastewater purification. Water Sci. Technol. 2017, 75, 581–586. [Google Scholar] [CrossRef]
- Xiong, B.; Loss, R.D.; Shields, D.; Pawlik, T.; Hochreiter, R.; Zydney, A.L.; Kumar, M. Polyacrylamide degradation and its implications in environmental systems. Clean Water 2018, 1, 17. [Google Scholar] [CrossRef]
- Craciun, G.; Manaila, E.; Stelescu, M.-D. Flocculation Efficiency of Poly(Acrylamide- Co -Acrylic Acid) Obtained by Electron Beam Irradiation. J. Mater. 2013, 2013, 297123. [Google Scholar] [CrossRef] [Green Version]
- Trefalt, G.; Szilagyi, I.; Téllez, G.; Borkovec, M. Colloidal Stability in Asymmetric Electrolytes: Modifications of the Schulze-Hardy Rule. Langmuir 2017, 33, 1695–1704. [Google Scholar] [CrossRef] [PubMed]
- Pizzi, A.; Duca, D.; Rossini, G.; Fabrizi, S.; Toscano, G. Biofuel, bioenergy and feed valorization of by-products and residues from hevea brasiliensis cultivation to enhance sustainability. Resources 2020, 9, 114. [Google Scholar] [CrossRef]
- Eka, H.D.; Tajul Aris, Y.; Wan Nadiah, W.A. Potential use of Malaysian rubber (Hevea brasiliensis) seed as food, feed and biofuel. Int. Food Res. J. 2010, 17, 527–534. [Google Scholar]
- Bodlund, I. Coagulant Protein from Plant Materials: Potential Water Treatment Agent; Royal Institute of Technology: Stockholm, Sweden, 2013. [Google Scholar]
- Yang, M.; Zhu, W.; Cao, H. Biorefinery methods for extraction of oil and protein from rubber seed. Bioresour. Bioprocess. 2021, 9, 45. [Google Scholar] [CrossRef]
- APHA Health. Standard Method for the Examination of Water and Wastewater, 23rd ed.; American Water Works Association: Washington, DC, WA, USA, 2017. [Google Scholar]
- Jairo Feria-Díaz, J.; Ramírez-Montoya, J.; Ballut-Dajut, G. Comparison of the Sludge Volume Index (SVI) between a natural coagulant and aluminum sulfate. Artic. Int. J. ChemTech Res. 2017, 10, 1037–1043. [Google Scholar]
- Torfs, E.; Nopens, I.; Winkler, M.K.H.; Vanrolleghem, P.A.; Balemans, S.; Smets, I.Y. Settling Tests. In Experimental Methods in Wastewater Treatment; IWA Publishing: London, UK, 2016; pp. 235–262. [Google Scholar]
- Aygun, A.; Yilmaz, T. Improvement of coagulation-flocculation process for treatment of detergent wastewaters using coagulant aids. Int. J. Chem. Environ. Eng. 2010, 1, 97–101. [Google Scholar]
- Saritha, V.; Srinivas, N.; Vuppala, N.V. Analysis and optimisation of coagulation and flocculation process. Appl. Water Sci. 2017, 7, 451–460. [Google Scholar] [CrossRef] [Green Version]
- Uddin, A.; Sujari, A.; Nawi, M. Effectiveness of peat coagulant for the removal of textile dyes from aqueous solution and textile wastewater. Malaysian J. Chem. 2003, 5, 034–043. [Google Scholar]
- Pandey, A.; Lee, D.J.; Chang, J.-S.; Chisti, Y.; Soccol, C. Biomass, Biofuels, Biochemicals, 2nd ed.; Elsevier: Amsterdam, The Netherland, 2018. [Google Scholar]
- Cherian, S.; Ryu, S.B.; Cornish, K. Natural rubber biosynthesis in plants, the rubber transferase complex, and metabolic engineering progress and prospects. Plant Biotechnol. J. 2019, 17, 2041–2061. [Google Scholar] [CrossRef] [PubMed] [Green Version]
- Obiora-Okafo, I.A.; Onukwuli, O.D. Optimization of coagulation-flocculation process for particle removal from dye using natural polymers: Response surface methodological approach. Der. Pharma Chem. 2016, 8, 1–12. [Google Scholar]
- Kanneganti, A.; Talasila, M. MoO3 nanoparticles: Synthesis, characterisation and its hindering effect on germination of Vigna Unguiculata Seeds. J. Eng. Res. Appl. 2014, 4, 116–120. [Google Scholar]
- Kagithoju, S.; Godishala, V.; Nanna, R.S. Eco-friendly and green synthesis of silver nanoparticles using leaf extract of Strychnos potatorum Linn. F. and their bactericidal activities. 3 Biotech 2015, 5, 709–714. [Google Scholar] [CrossRef] [Green Version]
- Chen, Y.C. Effects of urbanisation on municipal solid waste composition. Waste Manag. 2018, 79, 828–836. [Google Scholar] [CrossRef]
- Muylaert, K.L.; Bastiaens, L.; Vandamme, D. Microalgae-Based Biofuels and Bioproducts; Woodhead Publishing: Cambridge, UK, 2017. [Google Scholar]
- Czemierska, M.; Szcześ, A.; Jarosz-Wilkołazka, A. Purification of wastewater by natural flocculants. Biotechnologia 2015, 96, 272–278. [Google Scholar] [CrossRef]
- Rao, D. Coagulation and flocculation of industrial wastewater by chitosan. Int. J. Eng. Appl. Sci. 2015, 2, 257870. [Google Scholar]
- Trakulsrichai, S.; Sathirakul, K.; Auparakkitanon, S.; Krongvorakul, J.; Sueajai, J.; Noumjad, N.; Sukasem, C.; Wananukul, W. Pharmacokinetics of mitragynine in man. Drug Des. Devel. Ther. 2015, 29, 2421–2429. [Google Scholar]
- Aziz, H.A.; Ramli, S.F. Settling velocity of sludge in coagulation flocculation treatment of leachate using ferric chloride and chitosan. AIP Conf. Proc. 2017, 1892, 040028. [Google Scholar]
- Mesquita, E.C.; Dias, D.P.; Amaral, O.; Ferreira, A.L. Relationship between sludge volume index and biomass structure within activated sludge systems. In Proceedings of the XVII Congresso Brasileiro de Engenharia Química, Recife, Brazil, 14–17 September 2008. [Google Scholar]
- Grady, C.D.M.; Daigger, J.C.P.L.; Love, G.T.; Filipe, N.G. Biologucal Wastewater Treatment, 3rd ed.; CRC Press, Taylor and Francis Group: New York, NY, USA, 2011. [Google Scholar]









| Parameter | Min | Max | Average | Discharge Limit 1 |
|---|---|---|---|---|
| pH | 8.12 | 6.0–9.0 | ||
| BOD5 (mg/L) | 45 | 112 | 85 | 20 |
| COD (mg/L) | 1390 | 5078 | 2937 | 400 |
| BOD5/COD | 0.02 | 0.07 | 0.03 | - |
| Suspended Solids (mg/L) | 258 | 547 | 411 | 50 |
| Colour (Pt.Co.) | 9480 | 22,970 | 15,062 | 100 * |
| Turbidity (NTU) | 9.68 | 44.59 | 22.0 | |
| Zeta Potential | −18.6 | −22.4 | −20.5 |
| Floc Condition | Floc Equivalent Volumetric Diameter (μm) | ||
|---|---|---|---|
| d10 | d50 | d90 | |
| SnCl4 10,000 mg/L | 20.33 | 65 | 178.1 |
| SnCl4 8000 mg/L + RS 1000 mg/L | 43.7 | 183.4 | 741.2 |
| SnCl4 6000 mg/L + PAM 100 mg/L | 55.9 | 216.5 | 540.2 |
| Coagulant | Estimation Cost per 1 L (in USD) | Estimation Cost per 3 L (in USD) | References |
|---|---|---|---|
| FeCl3 | 188 | 562 | [40] |
| PAFCl | 30 | 90 | |
| SnCl4 | 29 | 85 | This Study |
| Coagulant | Price of the Chemical (RM) * | Optimum Concentration Used | Amount of Chemical to Treat 1 m3 of Leachate/Day | The Cost to Treat 1 m3 of Leachate (RM) * | Total (RM) * |
|---|---|---|---|---|---|
| 10,000 mg/L SnCl4 | 193/100g | 12.5 mL/500 mL | 25 L | 48,250 | 48,250 |
| 8000 mg/L SnCl4 | 193/100 g | 10 mL/500 mL | 20 L | 38, 600 | 38,616.50 |
| 1000 mg/L RS | 2.50/kg | 3.3 mL/500 mL | 6.6 L | 16.5 | |
| 6000 mg/L SnCl4 | 193/100 g | 7.5 mL/500 mL | 15 L | 28,950 | 29,900 |
| 100 mg/L PAM | 95/kg | 5.0 mL/500 mL | 10 L | 950 |
Publisher’s Note: MDPI stays neutral with regard to jurisdictional claims in published maps and institutional affiliations. |
© 2021 by the authors. Licensee MDPI, Basel, Switzerland. This article is an open access article distributed under the terms and conditions of the Creative Commons Attribution (CC BY) license (https://creativecommons.org/licenses/by/4.0/).
Share and Cite
Ramli, S.F.; Aziz, H.A.; Omar, F.M.; Yusoff, M.S.; Halim, H.; Kamaruddin, M.A.; Ariffin, K.S.; Hung, Y.-T. Reduction of COD and Highly Coloured Mature Landfill Leachate by Tin Tetrachloride with Rubber Seed and Polyacrylamide. Water 2021, 13, 3062. https://doi.org/10.3390/w13213062
Ramli SF, Aziz HA, Omar FM, Yusoff MS, Halim H, Kamaruddin MA, Ariffin KS, Hung Y-T. Reduction of COD and Highly Coloured Mature Landfill Leachate by Tin Tetrachloride with Rubber Seed and Polyacrylamide. Water. 2021; 13(21):3062. https://doi.org/10.3390/w13213062
Chicago/Turabian StyleRamli, Siti Fatihah, Hamidi Abdul Aziz, Fatehah Mohd Omar, Mohd Suffian Yusoff, Herni Halim, Mohamad Anuar Kamaruddin, Kamar Shah Ariffin, and Yung-Tse Hung. 2021. "Reduction of COD and Highly Coloured Mature Landfill Leachate by Tin Tetrachloride with Rubber Seed and Polyacrylamide" Water 13, no. 21: 3062. https://doi.org/10.3390/w13213062
APA StyleRamli, S. F., Aziz, H. A., Omar, F. M., Yusoff, M. S., Halim, H., Kamaruddin, M. A., Ariffin, K. S., & Hung, Y.-T. (2021). Reduction of COD and Highly Coloured Mature Landfill Leachate by Tin Tetrachloride with Rubber Seed and Polyacrylamide. Water, 13(21), 3062. https://doi.org/10.3390/w13213062

