Optimal Water-Fertilizer Combinations for Efficient Nitrogen Fixation by Sugarcane at Different Stages of Growth
Abstract
1. Introduction
2. Materials and Methods
2.1. Study Area
2.2. Experiment Design
2.3. Measured Parameters and Methods
2.3.1. Sugarcane Biomass
2.3.2. Leaf Area Index
2.3.3. δ15N Content
2.3.4. Photosynthesis and Transpiration
2.3.5. Soil Respiration
2.3.6. Soil Electrical Conductivity
2.4. Statistical Analysis
3. Results
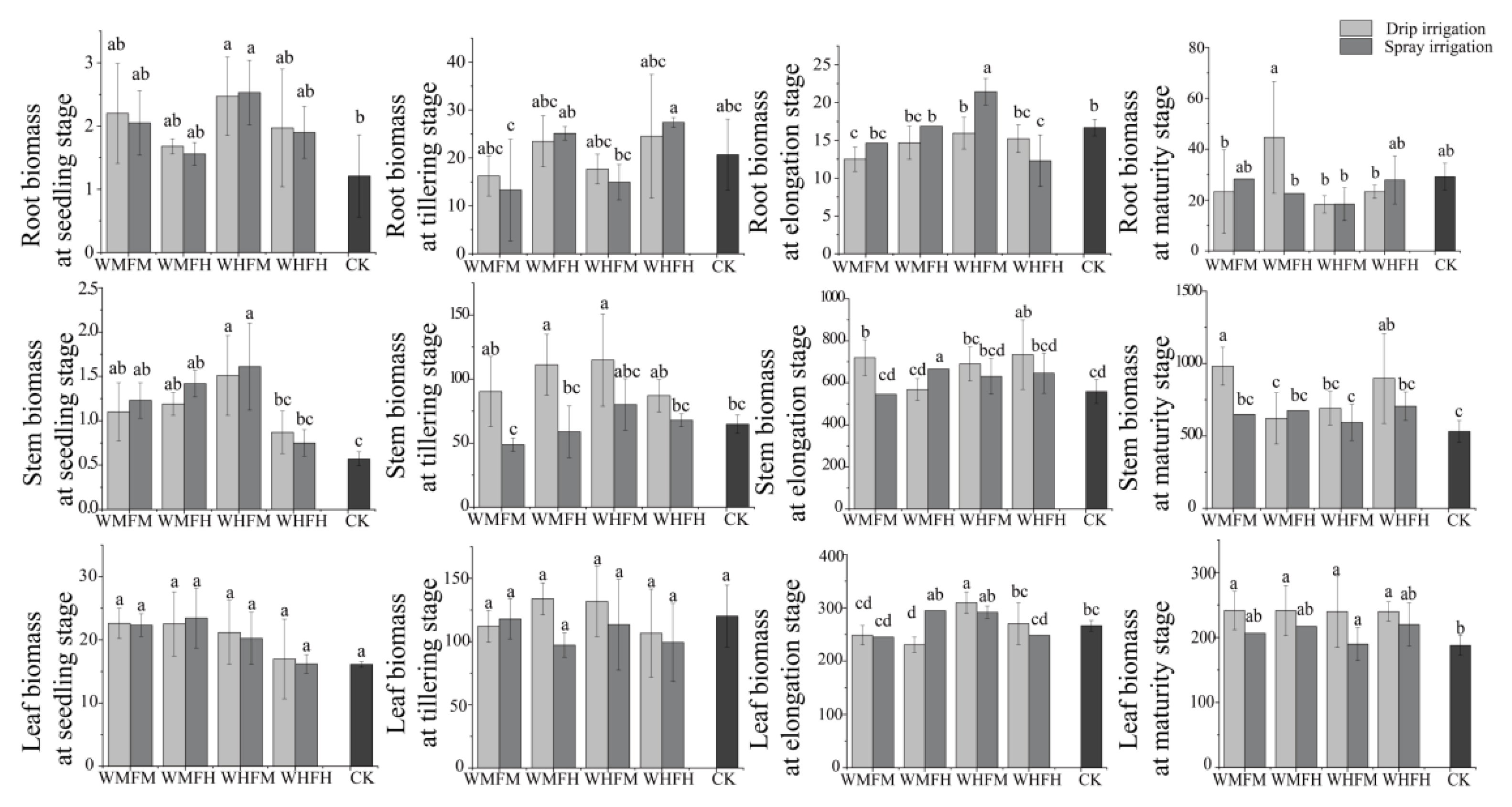
3.1. Combined Effect of Water and Fertilization on Sugarcane Biomass
3.2. Combined Effect of Water and Fertilization on Nitrogen Fixation by Sugarcane Plants
3.2.1. Combined Impact of Water and Nitrogen on Sugarcane δ15N Content
3.2.2. Combined Impact of Water and Nitrogen on Soil δ15N Content
3.3. Combined Effect of Water and Fertilization on Photosynthesis, Transpiration, Leaf Area Index, and Soil Respiration
3.4. Correlation Analysis of Nitrogen Fixation with Various Influencing Factors
4. Discussion
4.1. Effects of Different Irrigation-Fertilization Combinations on Sugarcane Biomass
4.2. Effects of Different Irrigation-Fertilization Combinations on Nitrogen Fixation in Sugarcane
4.3. Effects of Different Irrigation-Fertilizer Combinations on Photosynthesis, Transpiration, Leaf Area Index, and Soil Respiration
4.4. Optimizing Water-Fertilizer Combinations
5. Conclusions
Author Contributions
Funding
Institutional Review Board Statement
Informed Consent Statement
Data Availability Statement
Acknowledgments
Conflicts of Interest
References
- Denman, K.L. Couplings between Changes in the Climate System and Biogeochemistry; Cambridge University Press: Cambridge, UK; New York, NY, USA, 2007. [Google Scholar]
- Forster, P.; Ramaswamy, V. Changes in Atmospheric Constituents and in Radiative Forcing; Cambridge University Press: Cambridge, UK, 2007. [Google Scholar]
- Davis, M.P.; Groh, T.A.; Jaynes, D.B.; Parkin, T.B.; Isenhart, T.M. Nitrous Oxide Emissions from Saturated Riparian Buffers: Are We Trading a Water Quality Problem for an Air Quality Problem? Environ. Qual. 2019, 48, 261–269. [Google Scholar] [CrossRef] [PubMed]
- Carmo, J.B.d.; Filoso, S.; Zotelli, L.C.; de Sousa Neto, E.R.; Pitombo, L.M.; Duarte-Neto, P.J.; Vargas, V.P.; Andrade, C.A.; Gava, G.J.C.; Rossetto, R.; et al. Infield greenhouse gas emissions from sugarcane soils in Brazil: Effects from synthetic and organic fertilizer application and crop trash accumulation. GCB Bioenergy 2013, 5, 267–280. [Google Scholar] [CrossRef]
- Oliveira, B.G.; Nunes Carvalho, J.L.; Chagas, M.F.; Pellegrino Cerri, C.E.; Cerri, C.C.; Feigl, B.J. Methane emissions from sugarcane vinasse storage and transportation systems: Comparison between open channels and tanks. Atmos. Environ. 2017, 159, 135–146. [Google Scholar] [CrossRef]
- Paredes, D.; Alves, B.; Santos, M.; Bolonhezi, D.; Boddey, R.M. Nitrous oxide and methane fluxes following ammonium sulfate and vinasse application on sugar cane soil. Environ. Sci. Technol. 2015, 49, 11209–11217. [Google Scholar] [CrossRef]
- Cerri, C.C.; Maia, S.; Galdos, M.V.; Cerri, C.; Feigl, B.J.; Bernoux, M. Brazilian greenhouse gas emissions: The importance of agriculture and livestock. Sci. Agric. 2009, 66, 831–843. [Google Scholar] [CrossRef]
- Stocker, T.F.; Qin, D.; Plattner, G.K.; Midgley, P.M.; IPCC. The physical science basis. Contribution of working group I to the fifth assessment report of the Intergovernmental Panel on climate change. Comput. Geom. 2013, 1138–1191. [Google Scholar]
- Ramzan, S.; Rasool, T.; Bhat, R.A.; Ahmad, P.; Ashraf, I.; Rashid, N.; UI Shafiq, M.; Mir, I.A. Agricultural soils a trigger to nitrous oxide: A persuasive greenhouse gas and its management. Environ. Monit. Assess. 2020, 192, 436. [Google Scholar] [CrossRef]
- Stehfest, E.; Bouwman, L. N2O and NO emission from agricultural fields and soils under natural vegetation: Summarizing available measurement data and modeling of global annual emissions. Nutr. Cycl. Agroecosyst. 2006, 74, 207–228. [Google Scholar] [CrossRef]
- McSwiney, C.P.; Robertson, G.P. Nonlinear response of N2O flux to incremental fertilizer addition in a continuous maize (Zea mays L.) cropping system. Glob. Chang. Biol. 2005, 11, 1712–1719. [Google Scholar] [CrossRef]
- Mosier, A.; Wassmann, R.; Verchot, L.; King, J.; Palm, C. Methane and Nitrogen Oxide Fluxes in Tropical Agricultural Soils: Sources, Sinks and Mechanisms. In Tropical Agriculture in Transition-Opportunities for Mitigating Greenhouse Gas Emissions; Wassmann, R., Vlek, P.L.G., Eds.; Springer: Dordrecht, The Netherlands, 2004. [Google Scholar]
- Sutton, M.A.; Howard, C.M.; Kanter, D.R.; Lassaletta, L.; Móring, A.; Raghuram, N.; Read, N. The nitrogen decade: Mobilizing global action on nitrogen to 2030 and beyond. One Earth 2021, 4, 10–14. [Google Scholar] [CrossRef]
- Billen, G.; Aguilera, E.; Einarsson, R.; Garnier, S.; Grizzetti, B.; Lassaletta, L.; Le Noë, J.; Sanz-Cobena, A. Reshaping the European agro-food system and closing its nitrogen cycle: The potential of combining dietary change, agroecology, and circularity. One Earth 2021, 4, 839–850. [Google Scholar] [CrossRef]
- Raboni, M.; Viotti, P.; Rada, E.C.; Conti, F.; Boni, M.R. The Sensitivity of a Specific Denitrification Rate under the Dissolved Oxygen Pressure. Int. J. Environ. Res. Public Health 2020, 17, 9366. [Google Scholar] [CrossRef] [PubMed]
- Feng, M.; Ullah, S.; Gorelick, S.M.; Hannah, D.M.; Krause, K. Increasing nutrient inputs risk a surge of nitrous oxide emissions from global mangrove ecosystems. One Earth 2021, 4, 742–748. [Google Scholar]
- Hélias, A. At the boundary between anthropogenic and environmental systems: The neglected emissions of indirect nitrous oxide. Int. J. Life Cycle Assess. 2019, 24, 412–418. [Google Scholar] [CrossRef]
- Shakoor, A.; Shahzad, S.M.; Chatterjee, N.; Arif, M.S.; Farooq, M.H.; Altaf, M.M.; Tufail, M.A.; Dar, A.A.; Mehmood, T. Nitrous oxide emission from agricultural soils: Application of animal manure or biochar? A global meta-analysis. J. Environ. Manag. 2021, 285, 112170. [Google Scholar] [CrossRef]
- Wassman, R.; Vlek, P.L.G. Mitigating greenhouse gas emissions from tropical agriculture: Scope and research priorities. Environ. Dev. Sustain. 2004, 6, 1–9. [Google Scholar] [CrossRef]
- Goldemberg, J.; Mello, F.; Cerri, C.; Davies, C.A.; Cerri, C.C. Meeting the global demand for biofuels in 2021 through sustainable land use change policy. Energy Policy 2014, 69, 14–18. [Google Scholar] [CrossRef]
- FAO. Food and Agriculture Organization Corporate Statistical Database. FAOSTAT. 2019. Available online: http://www.fao.org/faostat/en/#home (accessed on 11 February 2020).
- Li, Y.R.; Yang, L.T. Sugarcane agriculture and sugar industry in china. Sugar Tech. 2015, 17, 1–8. [Google Scholar] [CrossRef]
- Li, Y.R. Beneficial effects of ethephon application on sugarcane under sub-tropical climate of china. Sugar Tech. 2004, 6, 235–240. [Google Scholar] [CrossRef]
- Li, Y.R. China: An emerging sugar super power. Sugar Tech. 2004, 6, 213–227. [Google Scholar] [CrossRef]
- Li, Y.R. Heralding a new era for sugar industry in china: Post is-2004 scenario. Sugar Tech. 2005, 7, 1–3. [Google Scholar] [CrossRef]
- Wu, L.; Zhang, F.C.; Fan, J.L.; Zhou, H.M.; Liang, F.; Gao, Z.J. Effects of Water and Fertilizer Coupling on Cotton Yield, Net Benefits and Water Use Efficiency. Trans. Chin. Soc. Agric. Mach. 2015, 46, 164–172. [Google Scholar]
- Xing, Y.; Zhang, F.; Wu, L.; Fan, J.; Li, J. Determination of optimal amount of irrigation and fertilizer under drip fertigated system based on tomato yield, quality, water and fertilizer use efficiency. Agric. Eng. 2015, 31, 110–121. [Google Scholar]
- Oweis, T.Y.; Farahani, H.J.; Hachum, A.Y. Evapotranspiration and water use of full and deficit irrigated cotton in the mediterranean environment in northern Syria. Agric. Water Manag. 2011, 98, 1239–1248. [Google Scholar] [CrossRef]
- Pene, C.; Edi, G.K. Sugarcane yield response to deficit irrigation at two growth stages. In Crop Yield Response to Deficit Irrigation; Kirda, C., Moutonette, P., Hera, C., Nielsen, D.R., Eds.; Kluwer Academic Publishers: Dordrecht, The Netherlands; Boston, MA, USA; London, UK, 1996; pp. 136–157. [Google Scholar]
- Rossler, R.; Singels, A.; Olivier, F.; Steyn, J.M. Growth and yield of a sugarcane plant crop under water stress imposed through deficit drip irrigation. Proc. S. Afr. Sug. Technol. Assoc. 2014, 86, 170–183. [Google Scholar]
- McConnell, J.S.; Wilkerson, M.H.; Mitchell, G.A. Influences of nitrogen treatments and irrigation methods on soil chemical properties. Commun. Soil Sci. Plant Anal. 1988, 19, 1925–1943. [Google Scholar] [CrossRef]
- Inman-Bamber, N.G.; Smith, D.M. Water relations in sugarcane and response to water deficits. Field Crop. Res. 2005, 92, 185–202. [Google Scholar] [CrossRef]
- Cia, M.C.; Guimaraes, A.C.R.; Medici, L.O.; Chabregas, S.M.; Azevedo, R.A. Antioxidant responses to water deficit by drought-tolerant and -sensitive sugarcane varieties. Ann. Appl. Biol. 2012, 161, 313–324. [Google Scholar] [CrossRef]
- Graham, M.H.; Haynes, R.J.; Meyer, J.H. Soil organic matter content and quality: Effects of fertilizer applications, burning and trash retention on a long-term sugarcane experiment in South Africa. Soil Biol. Biochem. 2002, 34, 93–102. [Google Scholar] [CrossRef]
- Dellabiglia, W.J.; Gava, G.J.C.; Arlanch, A.B.; Villas Boas, R.L.; Cantarella, H.; Rossetto, R. Produtividade de cana-de-açúcar fertirrigada com doses de N e inoculadas com bactérias diazotróficas. Irriga 2018, 1, 29–34. [Google Scholar] [CrossRef]
- Singh, H.; Singh, R.K.; Meena, R.N.; Kumar, V. Nitrogen fertigation schedule and irrigation effects on productivity and economics of spring sugarcane. Indian J. Agric. Res. 2019, 53, 405–410. [Google Scholar] [CrossRef]
- Denmead, O.T.; Macdonald, B.C.T.; Bryant, G.; Naylor, T.; Wilson, S.; Griffith, D.W.T.; Wang, W.J.; Salter, B.; White, I.; Moody, P.W. Emissions of methane and nitrous oxide from Australian sugarcane soils. Agric. For. Meteorol. 2010, 150, 748–756. [Google Scholar] [CrossRef]
- Allen, D.E.; Kingston, G.; Rennenberg, H.; Dalal, R.C.; Schmidt, S. Effect of nitrogen fertilizer management and waterlogging on nitrous oxide emission from subtropical sugarcane soils. Agric. Ecosyst. Environ. 2010, 136, 209–217. [Google Scholar] [CrossRef]
- CSY, Guangxi Statistical Yearbook. China Statistical Publishing House, Beijing 2010–2019. Available online: http://tjj.gxzf.gov.cn/tjsj/tjnj/material/tjnj20200415/2019/zk/indexeh.htm (accessed on 14 October 2021).
- Herzog, T. World Greenhouse Gas Emissions in 2005. WRI Working Paper. World Resources Institute, 2009. Available online: http://www.wri.org/publication/navigating-the-numbers (accessed on 14 October 2021).
- Wang, E.; Attard, S.; Linton, A.; Mcglinchey, M.; Everingham, Y. Development of a closed-loop irrigation system for sugarcane farms using the internet of things. Comput. Electron. Agric. 2020, 172, 105376. [Google Scholar] [CrossRef]
- Zhang, D.; Luo, Z.; Liu, S.; Li, W.; Dong, H. Effects of deficit irrigation and plant density on the growth, yield and fiber quality of irrigated cotton. Field Crop. Res. 2016, 197, 1–9. [Google Scholar] [CrossRef]
- Wiedenfeld, R.P. Water stress during different sugarcane growth periods on yield and response to n fertilization. Agric. Water Manag. 2002, 43, 173–182. [Google Scholar] [CrossRef]
- Meng, S.X.; Wang, X.M.; Huang, G.S.; Lu, Y.F.; Huang, P.X.; Lu, G.Y. Different Fertilization Modes of Sugarcane in Latosolic Red Soil of Guangxi. Asian Agric. Res. 2019, 4, 292418. [Google Scholar]
- Olivier, F.C.; Singels, A. Increasing water use efficiency of irrigated sugarcane production in South Africa through better agronomic practices. Field Crop. Res. 2015, 176, 87–98. [Google Scholar] [CrossRef][Green Version]
- Franco, H.C.J.; Otto, R.; Faroni, C.E.; Vitti, A.C.; Oliveira, E.C.A.D.; Trivelin, P.C.O. Nitrogen in sugarcane derived from fertilizer under Brazilian field conditions. Field Crop. Res 2011, 121, 29–41. [Google Scholar] [CrossRef]
- Prasertsak, P.; Freney, J.; Denmead, O.; Sagna, P.; Prove, B.; Reghenzani, J. Effect of fertilizer placement on nitrogen loss from sugarcane in tropical Queensland. Nutr. Cycl. Agroecosyst. 2002, 62, 229–239. [Google Scholar] [CrossRef]
- Otto, R.; Mulvaney, R.L.; Khan, S.A.; Trivelin, P.C.O. Quantifying soil nitrogen mineralization to improve fertilizer nitrogen management of sugarcane. Boil. Fertil. Soils 2013, 49, 893–904. [Google Scholar] [CrossRef]
- Megda, M.M.; Mariano, E.; Leite, J.M.; Franco, H.C.J.; Vitti, A.C.; Megda, M.M.; Khan, S.A.; Mulvaney, R.L.; Trivelin, P.C.O. Contribution of fertilizer nitrogen to the total nitrogen extracted by sugarcane under Brazilian field conditions. Nutr. Cycl. Agroecosyst. 2015, 101, 241–257. [Google Scholar] [CrossRef]
- Dalal, R.C.; Wang, W.; Robertson, G.P.; Parton, W.J. Nitrous oxide emission from australian agricultural lands and mitigation options: A review. Soil Res. 2003, 41, 165–195. [Google Scholar] [CrossRef]
- Granli, T.; Bøckman, O.C. Nitrous oxide (N2O) emissions from soils in warm climates. Fertil. Res. 1995, 42, 159–163. [Google Scholar] [CrossRef]
- Gagnon, B.; Ziadi, N.; Rochette, P.; Chantigny, M.H.; Angers, D.A. Fertilizer source influenced nitrous oxide emissions from a clay soil under corn. Soil Sci. Soc. Am. J. 2011, 75, 595–604. [Google Scholar] [CrossRef]
- Lin, Y.; Zeng, Z.; Ren, C.; Yuegao, H.U. Water use efficiency and physiological responses of oat under alternate partial root-zone irrigation in the semiarid areas of northeast china. Procedia Eng. 2012, 28, 33–42. [Google Scholar]
- Chen, J.W.; Yang, Z.Q.; Zhou, P.; Hai, M.R.; Tang, T.X.; Liang, Y.L. Biomass accumulation and partitioning, photosynthesis, and photosynthetic induction in field-grown maize (Zea mays L.) under low- and high-nitrogen conditions. Acta Physiol. Plant 2012, 35, 95–105. [Google Scholar] [CrossRef]
- Wang, C.; She, H.Z.; Liu, X.B.; Hu, D.; Ruan, R.W.; Shao, M.B.; Zhang, L.Y.; Zhou, L.B.; Zhang, G.B.; Wu, D.Q.; et al. Effects of fertilization on leaf photosynthetic characteristics and grain yield in tartary buckwheat Yunqiao1. Photosynthetica 2017, 55, 77–84. [Google Scholar] [CrossRef]
- Du, S.Q.; Kang, S.Z.; Li, F.S.; Du, T.S. Water use efficiency is improved by al- ternate partial root-zone irrigation of apple in arid northwest China. Agric. Water Manag. 2017, 179, 184–192. [Google Scholar] [CrossRef]
- Mustafa, Ü.; Kanber, R.; Ko, D.L.; Tekin, S.; Kapur, B. Effects of deficit irrigation on the yield and yield components of drip irrigated cotton in a mediterranean environment. Agric. Water Manag. 2011, 98, 597–605. [Google Scholar]
- Yang, X.; Li, C.; Zhang, Q.; Liu, Z.; Geng, J.; Zhnag, M. Effects of polymer-coated potassium chloride on cotton yield: Leaf senescence and soil potassium. Field Crop. Res 2017, 212, 145–152. [Google Scholar] [CrossRef]
- Burney, J.A.; Davis, S.J.; Lobell, D.B. Greenhouse gas mitigation by agricultural intensification. Proc. Natl. Acad. Sci. USA 2010, 107, 12052–12057. [Google Scholar] [CrossRef] [PubMed]



| Treatment | Seedling Stage | Tillering Stage | Elongation Stage | |||
|---|---|---|---|---|---|---|
| Water (m3 ha−1) | Fertilizer (kg ha−1) | Water (m3 ha−1) | Fertilizer (kg ha−1) | Water (m3 ha−1) | Fertilizer (kg ha−1) | |
| DWMFM | 2250 | 1350 | 2250 | 2700 | 7500 | 9450 |
| DWMFH | 2250 | 2700 | 2250 | 5400 | 7500 | 18,900 |
| DWHFM | 4500 | 1350 | 4500 | 2700 | 15,000 | 9450 |
| DWHFH | 4500 | 2700 | 4500 | 5400 | 15,000 | 18,900 |
| SWMFM | 2250 | 1350 | 2250 | 2700 | 7500 | 9450 |
| SWMFH | 2250 | 2700 | 2250 | 5400 | 7500 | 18,900 |
| SWHFM | 4500 | 1350 | 4500 | 2700 | 15,000 | 9450 |
| SWHFH | 4500 | 2700 | 4500 | 5400 | 15,000 | 18,900 |
| Control (WLFL) | 0 | 0 | 0 | 0 | 0 | 0 |
| Biomass ANOVA(F) | ||||||||||||
|---|---|---|---|---|---|---|---|---|---|---|---|---|
| Treatment | Seedling Stage | Tillering Stage | Elongation Stage | Maturity Stage | ||||||||
| Root | Stem | Leaves | Root | Stem | Leaves | Root | Stem | Leaves | Root | Stem | Leaves | |
| Fertilizer | 4.62 * | 13.55 *** | 2.40 NS | 6.0658 ** | 1.0568 NS | 0.5297 NS | 2.187 NS | 3.8977 * | 1.6136 NS | 1.7942 NS | 2.4173 NS | 2.4818 NS |
| Water | 1.89 NS | 0.022 NS | 6.45 * | 0.3452 NS | 1.5247 NS | 0.0591 NS | 4.1561 * | 0.0003 NS | 12.56 ** | 3.4798 NS | 0.0285 NS | 0.1204 NS |
| Irrigation type | 0.07 NS | 0.73 NS | 0.03 NS | 0.0101 NS | 19.9948 *** | 1.9567 NS | 5.1464 * | 0.0322 NS | 0.5127 NS | 0.5534 NS | 5.7069 * | 7.4467 * |
| Fertilizer: Water | 0.02 NS | 19.11 *** | 2.06 NS | 0.0006 NS | 4.6203 * | 0.994 NS | 21.917 *** | 0.6355 NS | 16.13 *** | 0.0051 NS | 7.5205 * | 0.1745 NS |
| Fertilizer: Irrigation type | 0.01 NS | 0.09 NS | 0.05 NS | 0.8626 NS | 0.0181 NS | 0.6036 NS | 7.5522 * | 10.345 ** | 5.0004 * | 1.8445 NS | 1.5065 NS | 0.7521 NS |
| Water: Irrigation type | 0.08 NS | 0.85 NS | 0.14 NS | 0.0163 NS | 1.4698 NS | 0.0159 NS | 0.3192 NS | 3.8835 * | 12.52 ** | 1.7179 NS | 0.0022 NS | 0.0533 NS |
| Fertilizer: Water: Irrigation type | 0.03 NS | 0.60 NS | 0.03 NS | 0.0087 NS | 0.6298 NS | 1.757 NS | 7.7459 * | 13.2488 ** | 6.3025 * | 3.6437 NS | 4.1081 NS | 0.1701 NS |
| δ15N Content ANOVA(F) | ||||||||||||
|---|---|---|---|---|---|---|---|---|---|---|---|---|
| Treatment | Seedling Stage | Tillering Stage | Elongation Stage | Maturity Stage | ||||||||
| Root | Stem | Leaves | Root | Stem | Leaves | Root | Stem | Leaves | Root | Stem | Leaves | |
| Fertilizer | 3.1535 NS | 3.193 NS | 6.197 ** | 1.8479 NS | 2.442 NS | 6.20 ** | 2.1273 NS | 1.4997 NS | 8.44 ** | 5.78 * | 0.1766 NS | 0.6603 NS |
| Water | 0.4023 NS | 3.0349 NS | 0.6727 NS | 0.3144 NS | 4.2454 NS | 0.6727 NS | 0.1676 NS | 10.3 ** | 0.2794 NS | 2.0286 NS | 23.87 *** | 0.009 NS |
| Irrigation type | 26.02 *** | 20.55 *** | 1.5934 NS | 3.081 NS | 10.11 ** | 1.5934 NS | 1.5365 NS | 9.50 ** | 44.40 *** | 7.87 * | 7.7821 * | 14.68 ** |
| Fertilizer: Water | 7.1714 * | 0.7072 NS | 0.0224 NS | 0.667 NS | 4.0186 NS | 0.0224 NS | 0.0454 NS | 8.45 ** | 0.7439 NS | 12.89 ** | 0.1057 NS | 8.20 * |
| Fertilizer: Irrigation type | 0.0169 NS | 0.5526 NS | 15.64 *** | 0.0856 NS | 7.8639 * | 15.64 *** | 4.74 * | 9.50 ** | 0.1627 NS | 0.0663 NS | 0.2831 NS | 2.1108 NS |
| Water: Irrigation type | 11.40 ** | 1.998 NS | 0.2123 NS | 1.1769 NS | 0.0976 NS | 0.2123 NS | 0.0555 NS | 5.86 * | 0.0435 NS | 0.8021 NS | 0.8056 NS | 0.9115 NS |
| Fertilizer: Water: Irrigation type | 3.936 NS | 0.0375 NS | 1.6263 NS | 1.427 NS | 9.83 ** | 1.6263 NS | 1.1962 NS | 5.86 ** | 0.0017 NS | 0.0735 NS | 0.2695 NS | 0.7191 NS |
| Soil δ15N | |||||
|---|---|---|---|---|---|
| Treatment | Seedling Stage | Tillering Stage | Elongation Stage | Maturity Stage | |
| Drip irrigation | DWMFM | 5.61 ± 2.05 c | 7.30 ± 0.17 c | 8.31 ± 0.31 ab | 7.99 ± 0.18 ab |
| DWMFH | 7.94 ± 0.08 ab | 7.31 ± 0.36 c | 7.50 ± 0.77 bc | 7.95 ± 0.62 ab | |
| DWHFM | 7.73 ± 0.02 ab | 7.24 ± 0.50 c | 7.96 ± 0.38 abc | 7.58 ± 0.23 bc | |
| DWHFH | 8.11 ± 0.16 a | 8.30 ± 0.32 a | 7.03 ± 1.08 c | 8.18 ± 0.49 a | |
| Spray irrigation | SWMFM | 7.12 ± 0.37 abc | 7.69 ± 0 bc | 8.78 ± 0.06 a | 7.64 ± 0.17 bc |
| SWMFH | 6.98 ± 0.47 abc | 7.64 ± 0 bc | 8.10 ± 0.60 abc | 7.72 ± 0.02 abc | |
| SWHFM | 5.27 ± 1.50 c | 7.90 ± 0.37 ab | 8.57 ± 0.23 ab | 7.47 ± 0 bc | |
| SWHFH | 6.17 ± 2.09 abc | 7.91 ± 0.06 ab | 8.08 ± 1.15 abc | 7.33 ± 0 c | |
| Control | WLFL | 8.07 ± 0.35 ab | 7.99 ± 0.20 ab | 9.00 ± 0.15 a | 7.59 ± 0.37 bc |
| ANOVA(F) | |||||
| Fertilizer | 3.3368 * | 4.5668 * | 6.7433 ** | 0.7322 | |
| Water | 0.0407 | 9.9021 ** | 0.9674 | 2.0059 | |
| Irrigation type | 4.4094 | 4.9108 * | 6.7418 * | 8.9748 ** | |
| Fertilizer: Water | 0.2463 | 6.0143 * | 0.0044 | 0.6871 | |
| Fertilizer: Irrigation type | 1.1312 | 6.0869 * | 0.2994 | 1.4266 | |
| Water: Irrigation type | 7.2302 * | 0.9507 | 0.3205 | 0.5249 | |
| Fertilizer: Water: Irrigation type | 2.6952 | 4.7163 * | 0.0757 | 2.8576 | |
| Response Variable/Z | Growth Stages of Sugarcane | Regression Equation | R2 |
|---|---|---|---|
| Photosynthetic/Z1 | Seedling | Z1 = 13.65 − 0.006x + 0.01y + 1.068x2 − 2.77E−7y2 | 0.252 |
| Tillering | Z1 = 26.78 − 9.71E−6x + 4.36yE−4 − 1.40E−7x2 + 3.24E−7y2 | 0.328 | |
| Elongation | Z1 = 11.49 − 2.88E−5x − 3.64E−5y − 6.43E−9x2 + 5.52E−9y2 | 0.206 | |
| Transpiration/Z2 | Seedling | Z2 = 1.33 − 0.003x − 0.005y − 3.83E−7x2 − 1.31E−6y2 | 0.259 |
| Tillering | Z2 = 5.22 − 1.45E−7x − 2.69E−5y − 3.64E−8x2 − 8.17E−7y2 | 0.241 | |
| Elongation | Z2 = 2.39 + 4.84E−6x + 6.10E−6y − 3.02E−9x2 − 5.57E−10y2 | 0.370 | |
| Mean leaf area index/Z3 | Seedling | Z3 = 0.55 − 1.32E−5x + 9.39E−5y − 3.70E−10x2 + 2.72E−10y2 | 0.191 |
| Tillering | Z3 = 0.87 − 1.19E−5x − 1.04E−4y + 7.26E−9x2 + 3.76E−8y2 | 0.185 | |
| Elongation | Z3 = 1.097+2.17E−6x + 2.74E−6y + 1.556E−9x2 − 1.44E−9y2 | 0.499 | |
| Soil respiration/Z4 | Seedling | Z4 = 3.02 − 0.001x + 0.003y + 1.84E−7x2 − 6.07E−7y2 | 0.005 |
| Tillering | Z4 = 3.98 + 7.75E−5x − 6.38E−4y + 1.26E−9x2 + 1.27E−7y2 | 0.058 | |
| Elongation | Z4 = 2066 − 4.37E−5x − 5.51E−5y + 1.77E−9x2 + 2.86E−9y2 | 0.147 |
| Seedling Stage | Tillering Stage | Elongation Stage | ||||||||||
|---|---|---|---|---|---|---|---|---|---|---|---|---|
| Root δ15N | Stem δ15N | Leaf δ15N | Soil δ15N | Root δ15N | Stem δ15N | Leaf δ15N | Soil δ15N | Root δ15N | Stem δ15N | Leaf δ15N | Soil δ15N | |
| Photosynthesis | 0.5328 | 0.2318 | 0.906 | 0.008 | 0.2304 | 0.631 | 0.4559 | 0.1302 | 0.582 | 0.7312 | 0.789 | 0.2715 |
| Mean transpiration | 0.9773 | 0.6276 | 0.539 | 0.52 | 0.9094 | 0.0424 | 0.7124 | 0.1364 | 0.474 | 0.6846 | 0.2777 | 0.6968 |
| Total leaf area index | 0.5184 | 0.1731 | 0.049 | 0.775 | 0.6713 | 0.2921 | 0.0076 | 0.6224 | 0.819 | 0.9371 | 0.0607 | 0.0052 |
| Mean leaf area index | 0.1732 | 0.0385 | 0.233 | 0.880 | 0.6747 | 0.2826 | 0.0082 | 0.6118 | 0.820 | 0.9321 | 0.0606 | 0.0051 |
| Soil water | 0.0007 | 0.0002 | 0.503 | 0.145 | 0.9862 | 0.7678 | 0.8841 | 0.5547 | 0.011 | 0.4652 | 0.6391 | 0.7835 |
| Soil temperature | 0.0353 | 0.0043 | 0.497 | 0.023 | 0.0602 | 0.7234 | 0.1011 | 0.1295 | 0.228 | 0.4214 | 0.078 | 0.0931 |
| Soil electrical conductivity | 0.0307 | 0.0275 | 0.840 | 0.135 | 0.6173 | 0.3567 | 0.5065 | 0.0173 | 0.604 | 0.9897 | 0.0102 | 0.0001 |
| Soil respiration | 0.4552 | 0.6968 | 0.456 | 0.414 | 0.1811 | 0.1961 | 0.882 | 0.1661 | 0.273 | 0.3582 | 0.0085 | 0.1303 |
Publisher’s Note: MDPI stays neutral with regard to jurisdictional claims in published maps and institutional affiliations. |
© 2021 by the authors. Licensee MDPI, Basel, Switzerland. This article is an open access article distributed under the terms and conditions of the Creative Commons Attribution (CC BY) license (https://creativecommons.org/licenses/by/4.0/).
Share and Cite
Ma, Z.; Wu, W.; Alatalo, J.M.; Fu, W.; Bai, Y. Optimal Water-Fertilizer Combinations for Efficient Nitrogen Fixation by Sugarcane at Different Stages of Growth. Water 2021, 13, 2895. https://doi.org/10.3390/w13202895
Ma Z, Wu W, Alatalo JM, Fu W, Bai Y. Optimal Water-Fertilizer Combinations for Efficient Nitrogen Fixation by Sugarcane at Different Stages of Growth. Water. 2021; 13(20):2895. https://doi.org/10.3390/w13202895
Chicago/Turabian StyleMa, Zhanxia, Weixiong Wu, Juha M. Alatalo, Wuxiang Fu, and Yang Bai. 2021. "Optimal Water-Fertilizer Combinations for Efficient Nitrogen Fixation by Sugarcane at Different Stages of Growth" Water 13, no. 20: 2895. https://doi.org/10.3390/w13202895
APA StyleMa, Z., Wu, W., Alatalo, J. M., Fu, W., & Bai, Y. (2021). Optimal Water-Fertilizer Combinations for Efficient Nitrogen Fixation by Sugarcane at Different Stages of Growth. Water, 13(20), 2895. https://doi.org/10.3390/w13202895

