Spectral Characterization of Dissolved Organic Matter in Seawater and Sediment Pore Water from the Arctic Fjords (West Svalbard) in Summer
Abstract
1. Introduction
2. Materials and Methods
2.1. Sampling Sites and Water Mass Properties
2.2. Sampling and the Onboard Analyses of Salinity, Cl−, and Alkalinity
2.3. UV-Vis and EEMs Measurements and Data Handling
2.4. First-Order Kinetic Model for Alkalinity, Nutrients, Absorption Coefficients, and FDOM Accumulation with Depth
2.5. Satellite Image Retrieval of Chl-a
3. Results and Discussion
3.1. Salinity, Nutrients, Alkalinity, and the DOM Optical Properties of Seawater and Pore Water
3.2. Cross-Fjord Comparison among the Fjords in the West Svalbard
3.3. Extremely High Protein-Like Fluorescence and AOU in Water Column as Well as PO43− Drawdown and the Green Edges at the Surface Ocean: Evidence of a Summer Phytoplankton Bloom
3.4. Production of Alkalinity, Nutrients, and Humic-Like FDOM with Depth in Pore Water Via Biological Diagenesis in Glaciomarine Sediments from Fjords
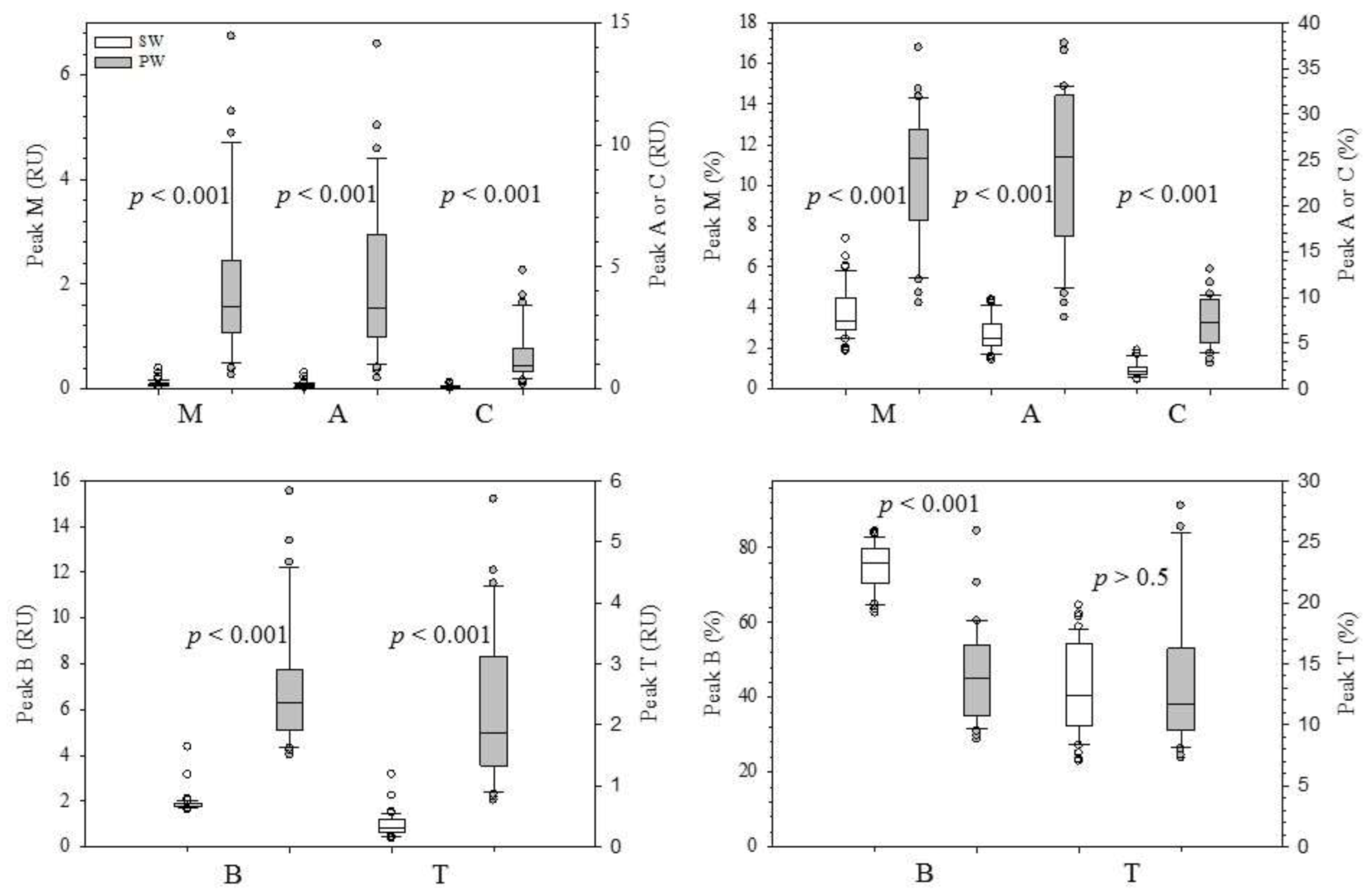
3.5. Comparison of FDOM between the Seawater and Pore Water
4. Conclusions
Supplementary Materials
Author Contributions
Funding
Institutional Review Board Statement
Informed Consent Statement
Data Availability Statement
Acknowledgments
Conflicts of Interest
References
- Calleja, M.L.; Kerhervé, P.; Bourgeois, S.; Kędra, M.; Leynaert, A.; Devred, E.; Babin, M.; Morata, N. Effects of increase glacier discharge on phytoplankton bloom dynamics and pelagic geochemistry in a high Arctic fjord. Prog. Oceanogr. 2017, 159, 195–210. [Google Scholar] [CrossRef]
- Müller, O.; Seuthe, L.; Bratbak, G.; Paulsen, M.L. Bacterial Response to Permafrost Derived Organic Matter Input in an Arctic Fiord. Front. Mar. Sci. 2018, 5, 263. [Google Scholar] [CrossRef]
- Hanssen-Bauer, I.; Førland, E.J.; Hisdal, H.; Mayer, S.; Sandø, A.B.; Sorteberg, A. Climate in Svalbard 2100—A Knowledge Base for Climate Adaptation. Norwegian Environment Agency, 2019. Available online: http://www.miljodirektoratet.no/M1242 (accessed on 8 December 2019).
- Krajewska, M.; Szymczak-Żyła, M.; Tylmann, W.; Kowalewska, G. Climate change impact on primary production and phytoplankton taxonomy in Western Spitsbergen fjords based on pigments in sediments. Glob. Planet. Chang. 2020, 189, 103158. [Google Scholar] [CrossRef]
- Bianchi, T.S.; Arndt, S.; Austin, W.E.N.; Benn, D.I.; Bertrand, S.; Cui, X.; Faust, J.C.; Koziorowska-Makuch, K.; Moy, C.M.; Savage, C.; et al. Fjords as Aquatic Critical Zones (ACZs). Earth Sci. Rev. 2020, 203, 103145. [Google Scholar] [CrossRef]
- Ferré, B.; Mienert, J.; Feseker, T. Ocean temperature variability for the past 60 years on the Norwegian-Svalbard margin influences gas hydrate stability on human time scales. J. Geophys. Res. Ocean. 2012, 117, C10017. [Google Scholar] [CrossRef]
- Nordli, Ø.; Przybylak, R.; Ogilvie, A.E.J.; Isaksen, K. Long-term temperature trends and variability on Spitsbergen: The extended Svalbard Airport temperature series, 1898–2012. Polar Res. 2014, 33, 21349. [Google Scholar] [CrossRef]
- Nuth, C.; Kohler, J.; König, M.; von Deschwanden, A.; Hagen, J.O.; Kääb, A.; Moholdt, G.; Pettersson, R. Decadal changes from a multi-temporal glacier inventory of Svalbard. Cryosphere 2013, 7, 1603–1621. [Google Scholar] [CrossRef]
- Pfeffer, W.T.; Arendt, A.A.; Bliss, A.; Bolch, T.; Cogley, J.G.; Gardner, A.S.; Hagen, J.-O.; Hock, R.; Kaser, G.; Kienholz, C.; et al. The Randolph Glacier Inventory: A globally complete inventory of glaciers. J. Glaciol. 2014, 60, 537–552. [Google Scholar] [CrossRef]
- Martín-Español, A.; Navarro, F.J.; Otero, J.; Lapazaran, J.J.; Błaszczyk, M. Estimate of the total volume of Svalbard glaciers, and their potential contribution to sea-level rise, using new regionally based scaling relationships. J. Glaciol. 2015, 61, 29–41. [Google Scholar] [CrossRef]
- Rachlewicz, G.; Szczuciński, W.; Ewertowski, M. Post-“Little Ice Age” retreat rates of glaciers around Billefjorden in central Spitsbergen, Svalbard. Pol. Polar Res. 2007, 28, 159–186. [Google Scholar]
- Kim, J.-H.; Peterse, F.; Willmott, V.; Kristensen, D.K.; Baas, M.; Schouten, S.; Damsté, J.S.S. Large ancient organic matter contributions to Arctic marine sediments (Svalbard). Limnol. Oceanogr. 2011, 56, 1463–1474. [Google Scholar] [CrossRef]
- Holding, J.M.; Duarte, C.M.; Delgado-Huertas, A.; Soetaert, K.; Vonk, J.E.; Agustí, S.; Wassmann, P.; Middelburg, J.J. Autochthonous and allochthonous contributions of organic carbon to microbial food webs in Svalbard fjords. Limnol. Oceanogr. 2017, 62, 1307–1323. [Google Scholar] [CrossRef]
- Zhu, Z.Y.; Wu, Y.; Liu, S.M.; Wenger, F.; Hu, J.; Zhang, J.; Zhang, R.F. Organic carbon flux and particulate organic matter composition in Arctic valley glaciers: Examples from the Bayelva River and adjacent Kongsfjorden. Biogeosciences 2016, 13, 975–987. [Google Scholar] [CrossRef]
- Hood, E.; Fellman, J.; Spencer, R.G.M.; Hernes, P.J.; Edwards, R.; D’Amore, D.; Scott, D. Glaciers as a source of ancient and labile organic matter to the marine environment. Nature 2009, 462, 1044–1047. [Google Scholar] [CrossRef] [PubMed]
- Spencer, R.G.M.; Guo, W.D.; Raymond, P.A.; Dittmar, T.; Hood, E.; Fellman, J.; Stubbins, A. Source and biolability of ancient dissolved organic matter in glacier and lake ecosystems on the Tibetan Plateau. Geochim. Cosmochim. Acta 2014, 142, 64–74. [Google Scholar] [CrossRef]
- Jørgensen, L.; Stedmon, C.A.; Granskog, M.A.; Middelboe, M. Tracing the long-term microbial production of recalcitrant fluorescent dissolved organic matter in seawater. Geophys. Res. Lett. 2014, 41, 2481–2488. [Google Scholar] [CrossRef]
- Hop, H.; Pearson, T.; Hegseth, E.N.; Kovacs, K.M.; Wiencke, C.; Kwasniewski, S.; Eiane, K.; Mehlum, F.; Gulliksen, B.; Wlodarska-Kowalczuk, M.; et al. The marine ecosystem of Kongsfjorden, Svalbard. Polar Res. 2002, 21, 167–208. [Google Scholar] [CrossRef]
- Piwosz, K.; Walkusz, W.; Hapter, R.; Wieczorek, P.; Hop, H.; Wiktor, J. Comparison of productivity and phytoplankton in a warm (Kongsfjorden) and a cold (Hornsund) Spitsbergen fjord in mid-summer 2002. Polar Biol. 2009, 32, 549–559. [Google Scholar] [CrossRef]
- Zofia, T.S.; Tatarek, A.; Józef, M.W.; Józef, M.W., Jr.; Kubiszyn, A.; Jan, M.W. Primary producers and production in Hornsund and Kongsfjorden—Comparison of two fjord systems. Pol. Polar Res. 2017, 38, 351. [Google Scholar]
- Osterholz, H.; Dittmar, T.; Niggemann, J. Molecular evidence for rapid dissolved organic matter turnover in Arctic fjords. Mar. Chem. 2014, 160, 1–10. [Google Scholar] [CrossRef]
- Brogi, S.R.; Jung, J.Y.; Ha, S.-Y.; Hur, J. Seasonal differences in dissolved organic matter properties and sources in an Arctic fjord: Implications for future conditions. Sci. Total Environ. 2019, 694, 133740. [Google Scholar]
- Arnosti, C.; Jørgensen, B.B. Organic Carbon Degradation in Arctic Marine Sediments, Svalbard: A Comparison of Initial and Terminal Steps. Geomicrobiol. J. 2006, 23, 551–563. [Google Scholar] [CrossRef]
- Koziorowska, K.; Kuliński, K.; Pempkowiak, J. Sedimentary organic matter in two Spitsbergen fjords: Terrestrial and marine contributions based on carbon and nitrogen contents and stable isotopes composition. Cont. Shelf Res. 2016, 113, 38–46. [Google Scholar] [CrossRef]
- Koziorowska, K.; Kulinski, K.; Pempkowiak, J. Comparison of the burial rate estimation methods of organic and inorganic carbon and quantification of carbon burial in two high Arctic fjords. Oceanologia 2018, 60, 405–418. [Google Scholar] [CrossRef]
- Zaborska, A.; Włodarska-Kowalczuk, M.; Legeżyńska, J.; Jankowska, E.; Winogradow, A.; Deja, K. Sedimentary organic matter sources, benthic consumption and burial in west Spitsbergen fjords—Signs of maturing of Arctic fjordic systems? J. Mar. Syst. 2018, 180, 112–123. [Google Scholar] [CrossRef]
- Oni, O.E.; Schmidt, F.; Miyatake, T.; Kasten, S.; Witt, M.; Hinrichs, K.-U.; Friedrich, M.W. Microbial Communities and Organic Matter Composition in Surface and Subsurface Sediments of the Helgoland Mud Area, North Sea. Front. Microbiol. 2015, 6, 1290. [Google Scholar] [CrossRef]
- Valle, J.; Harir, M.; Gonsior, M.; Enrich-Prast, A.; Schmitt-Kopplin, P.; Bastviken, D.; Hertkorn, N. Molecular differences between water column and sediment pore water SPE-DOM in ten Swedish boreal lakes. Water Res. 2020, 170, 115320. [Google Scholar] [CrossRef]
- Syvitski, J.P.M.; Burrell, D.C.; Skei, J.M. Fjords. Processes and Products; Springer: New York, NY, USA, 1987. [Google Scholar]
- Hagen, J.O.; Liestøl, O.; Roland, E.; Jørgensen, T. Glacier Atlas of Svalbard and Jan Mayen; Norwegian Polar Institute: Oslo, Norway, 1993. [Google Scholar]
- König, M.; Nuth, C.; Kohler, J.; Moholdt, G.; Pettersen, R. A digital glacier database for Svalbard. In Global Land Ice Measurements from Space; Kargel, J.S., Leonard, G.J., Bishop, M.P., Kääb, A., Raup, B.H., Eds.; Springer: Berlin/Heidelberg, Germany, 2014. [Google Scholar]
- Cottier, F.R.; Nilsen, F.; Skogseth, R.; Tverberg, V.; Skarðhamar, J.; Svendsen, H. Arctic fjords: A review of the oceanographic environment and dominant physical processes. Geol. Soc. 2010, 344, 35–50. [Google Scholar] [CrossRef]
- Wehrmann, L.M.; Riedinger, N.; Brunner, B.; Kamyshny, A.; Hubert, C.R.J.; Herbert, L.C.; Bruchert, V.; Jorgensen, B.B.; Ferdelman, T.G.; Formolo, M.J. Iron-controlled oxidative sulfur cycling recorded in the distribution and isotopic composition of sulfur species in glacially influenced fjord sediments of west Svalbard. Chem. Geol. 2017, 466, 678–695. [Google Scholar] [CrossRef]
- Rudels, B.; Björk, G.; Nilsson, J.; Winsor, P.; Lake, I.; Nohr, C. The interaction between waters from the Arctic Ocean and the Nordic Seas north of Fram Strait and along the East Greenland Current: Results from the Arctic Ocean-02 Oden expedition. J. Mar. Syst. 2005, 55, 1–30. [Google Scholar] [CrossRef]
- Kumar, V.; Tiwari, M.; Rengarajan, R. Warming in the Arctic Captured by productivity variability at an Arctic Fjord over the past two centuries. PLoS ONE 2018, 13, e0201456. [Google Scholar] [CrossRef] [PubMed]
- Schlitzer, R. Ocean Data View. 2019. Available online: http://odv.awi.de (accessed on 8 December 2019).
- Hagen, J.O.; Kohler, J.; Melvold, K.; Winther, J.-G. Glaciers in Svalbard: Mass balance, runoff and freshwater flux. Polar Res. 2003, 22, 145–159. [Google Scholar] [CrossRef]
- Svendsen, H.; Beszczynska-Møller, A.; Hagen, J.O.; Lefauconnier, B.; Tverberg, V.; Gerland, S.; Ørbøk, J.B.; Bischof, K.; Papucci, C.; Zajaczkowski, M.; et al. The physical environment of Kongsfjorden–Krossfjorden, an Arctic fjord system in Svalbard. Polar Res. 2002, 21, 133–166. [Google Scholar]
- Cottier, F.; Tverberg, V.; Inall, M.; Svendsen, H.; Nilsen, F.; Griffiths, C. Water mass modification in an Arctic fjord through cross-shelf exchange: The seasonal hydrography of Kongsfjorden, Svalbard. J. Geophys. Res. Ocean. 2005, 110, C12005. [Google Scholar] [CrossRef]
- Van de Velde, S.; Lesven, L.; Burdorf, L.D.W.; Hidalgo-Martinez, S.; Geelhoed, J.S.; Van Rijswijk, P.; Gao, Y.; Meysman, F.J.R. The impact of electrogenic sulfur oxidation on the biogeochemistry of coastal sediments: A field study. Geochim. Cosmochim. Acta 2016, 194, 211–232. [Google Scholar] [CrossRef]
- Thieme, L.; Graeber, D.; Kaupenjohann, M.; Siemens, J. Fast-freezing with liquid nitrogen preserves bulk dissolved organic matter concentrations, but not its composition. Biogeosciences 2016, 13, 4697–4705. [Google Scholar] [CrossRef]
- Walker, S.A.; Amon, R.M.W.; Stedmon, C.; Duan, S.W.; Louchouarn, P. The use of PARAFAC modeling to trace terrestrial dissolved organic matter and fingerprint water masses in coastal Canadian Arctic surface waters. J. Geophys. Res. Biogeosci. 2009, 114, G00F06. [Google Scholar] [CrossRef]
- Stedmon, C.A.; Amon, R.M.W.; Rinehart, A.J.; Walker, S.A. The supply and characteristics of colored dissolved organic matter (CDOM) in the Arctic Ocean: Pan Arctic trends and differences. Mar. Chem. 2011, 124, 108–118. [Google Scholar] [CrossRef]
- Hancke, K.; Hovland, E.K.; Volent, Z.; Pettersen, R.; Johnsen, G.; Moline, M.; Sakshaug, E. Optical properties of CDOM across the Polar Front in the Barents Sea: Origin, distribution and significance. J. Mar. Syst. 2014, 130, 219–227. [Google Scholar] [CrossRef]
- Logvinova, C.L.; Frey, K.E.; Mann, P.J.; Stubbins, A.; Spencer, R.G.M. Assessing the potential impacts of declining Arctic sea ice cover on the photochemical degradation of dissolved organic matter in the Chukchi and Beaufort Seas. J. Geophys. Res. Biogeosci. 2015, 120, 2326–2344. [Google Scholar] [CrossRef]
- Johnsen, G.; Norli, M.; Moline, M.; Robbins, I.; von Quillfeldt, C.; Sørensen, K.; Cottier, F.; Berge, J. The advective origin of an under-ice spring bloom in the Arctic Ocean using multiple observational platforms. Polar Biol. 2018, 41, 1197–1216. [Google Scholar] [CrossRef] [PubMed]
- Lawaetz, A.J.; Stedmon, C.A. Fluorescence Intensity Calibration Using the Raman Scatter Peak of Water. Appl. Spectrosc. 2009, 63, 936–940. [Google Scholar] [CrossRef] [PubMed]
- Chen, M.; Nam, S.-I.; Kim, J.-H.; Kwon, Y.-J.; Hong, S.; Jung, J.; Shin, K.-H.; Hur, J. High abundance of protein-like fluorescence in the Amerasian Basin of Arctic Ocean: Potential implication of a fall phytoplankton bloom. Sci. Total Environ. 2017, 599–600, 355–363. [Google Scholar] [CrossRef] [PubMed]
- Zsolnay, A.; Baigar, E.; Jimenez, M.; Steinweg, B.; Saccomandi, F. Differentiating with fluorescence spectroscopy the sources of dissolved organic matter in soils subjected to drying. Chemosphere 1999, 38, 45–50. [Google Scholar] [CrossRef]
- McKnight, D.M.; Boyer, E.W.; Westerhoff, P.K.; Doran, P.T.; Kulbe, T.; Andersen, D.T. Spectrofluorometric characterization of dissolved organic matter for indication of precursor organic material and aromaticity. Limnol. Oceanogr. 2001, 46, 38–48. [Google Scholar] [CrossRef]
- Huguet, A.; Vacher, L.; Relexans, S.; Saubusse, S.; Froidefond, J.M.; Parlanti, E. Properties of fluorescent dissolved organic matter in the Gironde Estuary. Org. Geochem. 2009, 40, 706–719. [Google Scholar] [CrossRef]
- Burdige, D.J.; Komada, T. Sediment Pore Waters, 2nd ed.; Academic Press: Cambridge, MA, USA, 2015. [Google Scholar]
- Chen, M.; Kim, S.-H.; Jung, H.-J.; Hyun, J.-H.; Choi, J.H.; Lee, H.-J.; Huh, I.-A.; Hur, J. Dynamics of dissolved organic matter in riverine sediments affected by weir impoundments: Production, benthic flux, and environmental implications. Water Res. 2017, 121, 150–161. [Google Scholar] [CrossRef]
- NASA Goddard Space Flight Center; Ocean Ecology Laboratory; Ocean Biology Processing Group. MODIS—Aqua Ocean Color Data; NASA Ocean Biology Distibuted Active Archive Center: Greenbelt, MD, USA, 2014. [Google Scholar] [CrossRef]
- O’Reilly, J.E.; Maritorena, S.; Mitchell, B.G.; Siegel, D.A.; Carder, K.L.; Garver, S.A.; Kahru, M.; McClain, C.R. Ocean color chlorophyll algorithms for SeaWiFS. J. Geophys. Res. 1998, 103, 24937–24953. [Google Scholar] [CrossRef]
- Hu, C.; Lee, Z.; Franz, B. Chlorophyll a algorithms for oligotrophic oceans: A novel approach based on three-band reflectance difference. J. Geophys. Res. 2012, 117, C01011. [Google Scholar] [CrossRef]
- Pugach, S.P.; Pipko, I.I.; Semiletov, I.P.; Sergienko, V.I. Optical characteristics of the colored dissolved organic matter on the East Siberian shelf. Dokl. Earth Sci. 2015, 465, 1293–1296. [Google Scholar] [CrossRef]
- Kowalczuk, P.; Meler, J.; Kauko, H.M.; Pavlov, A.K.; Zabłocka, M.; Peeken, I.; Dybwad, C.; Castellani, G.; Granskog, M.A. Bio-optical properties of Arctic drift ice and surface waters north of Svalbard from winter to spring. J. Geophys. Res. Ocean. 2017, 122, 4634–4660. [Google Scholar] [CrossRef]
- Roden, E.E.; Edmonds, J.W. Phosphate mobilization in iron-rich anaerobic sediments: Microbial Fe(III) oxide reduction versus iron-sulfide formation. Arch. Hydrobiol. 1997, 139, 347–378. [Google Scholar] [CrossRef]
- Chen, M.; Kim, J.-H.; Nam, S.-I.; Niessen, F.; Hagen, W.-L.; Kang, M.-H.; Hur, J. Production of fluorescent dissolved organic matter in Arctic Ocean sediments. Sci. Rep. 2016, 6, 39213. [Google Scholar] [CrossRef] [PubMed]
- Guéguen, C.; Cuss, C.W.; Cassels, C.J.; Carmack, E.C. Absorption and fluorescence of dissolved organic matter in the waters of the Canadian Arctic Archipelago, Baffin Bay, and the Labrador Sea. J. Geophys. Res. Ocean. 2014, 119, 2034–2047. [Google Scholar] [CrossRef]
- Guéguen, C.; McLaughlin, F.A.; Carmack, E.C.; Itoh, M.; Narita, H.; Nishino, S. The nature of colored dissolved organic matter in the southern Canada Basin and East Siberian Sea. Deep Sea Res. Part II: Top. Stud. Oceanogr. 2012, 81, 102–113. [Google Scholar]
- Perrette, M.; Yool, A.; Quartly, G.D.; Popova, E.E. Near-ubiquity of ice-edge blooms in the Arctic. Biogeosciences 2011, 8, 515–524. [Google Scholar] [CrossRef]
- Ardyna, M.; Babin, M.; Gosselin, M.; Devred, E.; Rainville, L.; Tremblay, J.-É. Recent Arctic Ocean sea ice loss triggers novel fall phytoplankton blooms. Geophys. Res. Lett. 2014, 41, 6207–6212. [Google Scholar] [CrossRef]
- Uchimiya, M.; Motegi, C.; Nishino, S.; Kawaguchi, Y.; Inoue, J.; Ogawa, H.; Nagata, T. Coupled Response of Bacterial Production to a Wind-Induced Fall Phytoplankton Bloom and Sediment Resuspension in the Chukchi Sea Shelf, Western Arctic Ocean. Front. Mar. Sci. 2016, 3, 231. [Google Scholar] [CrossRef]
- Yamashita, Y.; Hashihama, F.; Saito, H.; Fukuda, H.; Ogawa, H. Factors controlling the geographical distribution of fluorescent dissolved organic matter in the surface waters of the Pacific Ocean. Limnol. Oceanogr. 2017, 62, 2360–2374. [Google Scholar] [CrossRef]
- Makarewicz, A.; Kowalczuk, P.; Sagan, S.; Granskog, M.A.; Pavlov, A.K.; Zdun, A.; Borzycka, K.; Zabłocka, M. Characteristics of chromophoric and fluorescent dissolved organic matter in the Nordic Seas. Ocean Sci. 2018, 14, 543–562. [Google Scholar] [CrossRef]
- Spreen, G.; Kaleschke, L.; Heygster, G. Sea ice remote sensing using AMSR-E 89-GHz channels. J. Geophys. Res. Ocean. 2008, 113, C02S03. [Google Scholar] [CrossRef]
- Burdige, D.J.; Berelson, W.M.; Coale, K.H.; McManus, J.; Johnson, K.S. Fluxes of dissolved organic carbon from California continental margin sediments. Geochim. Cosmochim. Acta 1999, 63, 1507–1515. [Google Scholar] [CrossRef]








| Item | Core Length | a254 | a320 | M315/400 | A260/420 | C350/450 | B280/310 | T280/340 |
|---|---|---|---|---|---|---|---|---|
| Unit | mbsf | m−1 | m−1 | RU | RU | RU | RU | RU |
| Svalbard fjords | ||||||||
| P3 | 4.4 | 88 | 46 | 6 | 14 | 5 | 12 | 5 |
| P4 | 1.2 | 32 | 60 | 0.7 | 4 | 0.5 | ‒4 | −0.5 |
| P5 | 3.0 | −8 | −32 | 2 | 4 | 1.2 | −3 | −2 |
| P7 | 1.6 | 19 | 18 | 0.5 | 1 | 0.3 | 2 | 2 |
| Chukchi Sea † | C320/410 | C265/422 | C275(370)/452 | C280/308 | ||||
| S1 | 4.1 | 273 | 70 | 26 | 62 | 18 | 24 | - |
| S2 | 3.5 | 39 | 18 | 0.4 | 0.9 | 0.2 | 5 | - |
| S3 | 4.9 | 38 | 18 | 2 | 2 | 1 | 1 | - |
| S4 | 10.5 | −5 | −8 | 0.5 | 0.4 | 0.3 | 2 | - |
Publisher’s Note: MDPI stays neutral with regard to jurisdictional claims in published maps and institutional affiliations. |
© 2021 by the authors. Licensee MDPI, Basel, Switzerland. This article is an open access article distributed under the terms and conditions of the Creative Commons Attribution (CC BY) license (http://creativecommons.org/licenses/by/4.0/).
Share and Cite
Chen, M.; Kim, J.-H.; Hong, S.; Lee, Y.K.; Kang, M.H.; Jin, Y.K.; Hur, J. Spectral Characterization of Dissolved Organic Matter in Seawater and Sediment Pore Water from the Arctic Fjords (West Svalbard) in Summer. Water 2021, 13, 202. https://doi.org/10.3390/w13020202
Chen M, Kim J-H, Hong S, Lee YK, Kang MH, Jin YK, Hur J. Spectral Characterization of Dissolved Organic Matter in Seawater and Sediment Pore Water from the Arctic Fjords (West Svalbard) in Summer. Water. 2021; 13(2):202. https://doi.org/10.3390/w13020202
Chicago/Turabian StyleChen, Meilian, Ji-Hoon Kim, Sungwook Hong, Yun Kyung Lee, Moo Hee Kang, Young Keun Jin, and Jin Hur. 2021. "Spectral Characterization of Dissolved Organic Matter in Seawater and Sediment Pore Water from the Arctic Fjords (West Svalbard) in Summer" Water 13, no. 2: 202. https://doi.org/10.3390/w13020202
APA StyleChen, M., Kim, J.-H., Hong, S., Lee, Y. K., Kang, M. H., Jin, Y. K., & Hur, J. (2021). Spectral Characterization of Dissolved Organic Matter in Seawater and Sediment Pore Water from the Arctic Fjords (West Svalbard) in Summer. Water, 13(2), 202. https://doi.org/10.3390/w13020202

