Modeling Insights into Precipitation Deuterium Excess as an Indicator of Raindrop Evaporation in Lanzhou, China
Abstract
1. Introduction
2. Data and Method
2.1. Sample Collecting
2.2. Methods
3. Results and Discussion
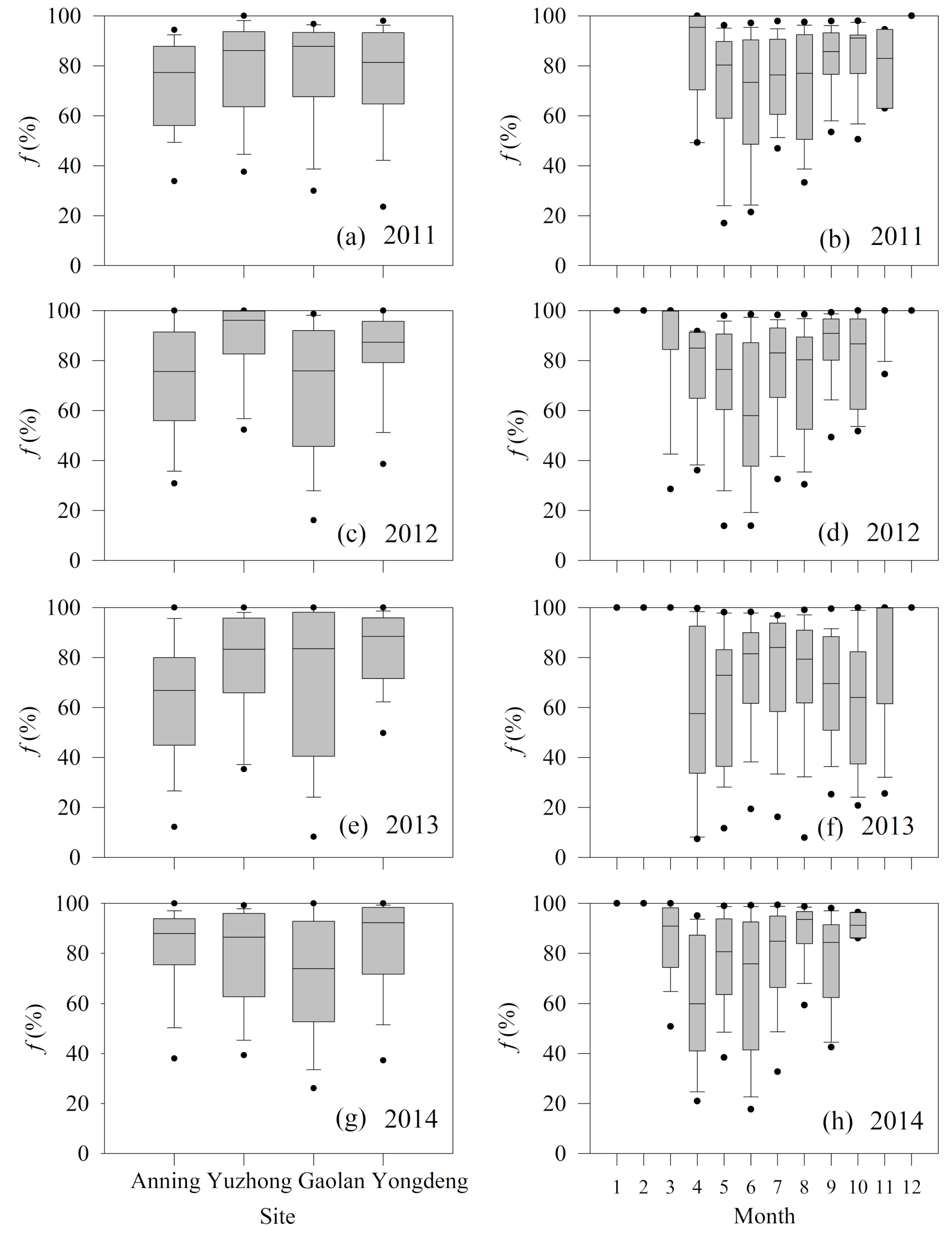
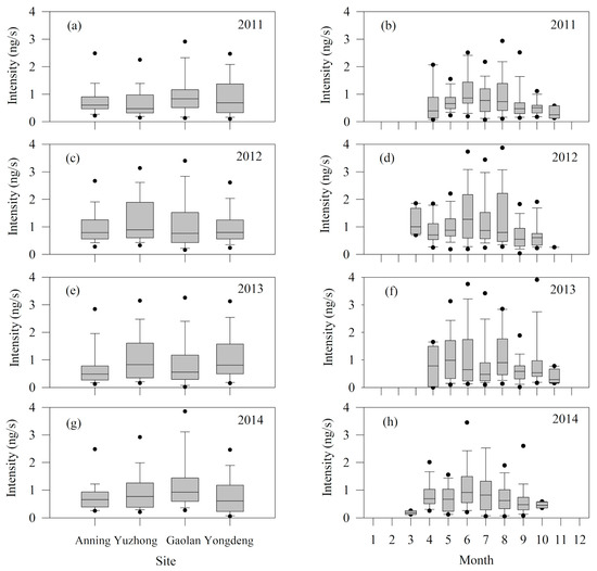
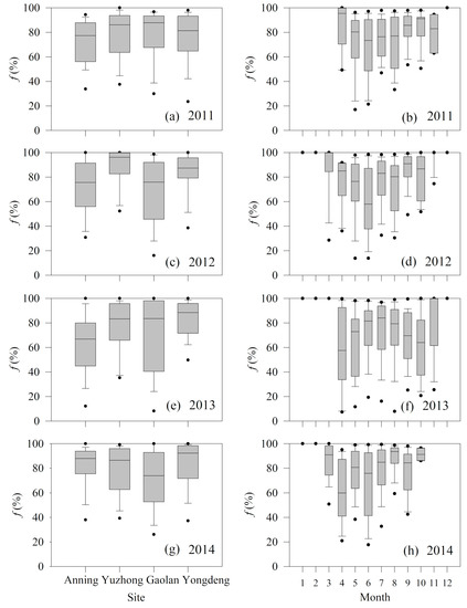
3.1. Raindrop Diameter, Velocity and Evaporation Intensity
3.1.1. Raindrop Diameter
3.1.2. Raindrop Velocity
3.1.3. Raindrop Evaporation Intensity
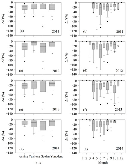
3.2. Deuterium Excess Difference for Each Site and Year
3.3. Climate Parameters and Deuterium Excess Difference
3.4. Raindrop Evaporation and Deuterium Excess Difference
4. Conclusions
Author Contributions
Funding
Institutional Review Board Statement
Informed Consent Statement
Data Availability Statement
Acknowledgments
Conflicts of Interest
References
- Stewart, M.K. Stable isotope fractionation due to evaporation and isotopic exchange of falling water drops: Applications to atmospheric processes and evaporation of lakes. J. Geophys. Res. 1975, 80, 1133–1146. [Google Scholar] [CrossRef]
- Salamalikis, V.; Argiriou, A.A.; Dotsika, E. Isotopic modeling of the sub-cloud evaporation effect in precipitation. Sci. Total Environ. 2016, 544, 1059–1072. [Google Scholar] [CrossRef]
- Lee, J.E.; Fung, I. “Amount effect” of water isotopes and quantitative analysis of post-condensation processes. Hydrol. Process. 2008, 22, 1–8. [Google Scholar] [CrossRef]
- Peng, H.; Mayer, B.; Harris, S. The influence of below-cloud secondary effects on the stable isotope composition of hydrogen and oxygen in precipitation at Calgary, Alberta, Canada. Tellus B 2007, 59, 698–704. [Google Scholar] [CrossRef]
- Kostrova, S.S.; Meyer, H.; Fernandoy, F.; Werner, M.; Tarasov, P.E. Moisture origin and stable isotope characteristics of precipitation in southeast Siberia. Hydrol. Process. 2020, 34, 51–67. [Google Scholar] [CrossRef]
- Adhikari, N.; Gao, J.; Yao, T.; Yang, Y.; Dai, D. The main controls of the precipitation stable isotopes at Kathmandu, Nepal. Tellus B 2020, 72, 1–17. [Google Scholar] [CrossRef]
- Dansgaard, W. Stable isotopes in precipitation. Tellus 1964, 16, 436–468. [Google Scholar] [CrossRef]
- Valipour, M.; Bateni, S.M.; Gholami Sefidkouhi, M.A.; Raeini-Sarjaz, M.; Singh, V.P. Complexity of forces driving trend of reference evapotranspiration and signals of climate change. Atmosphere 2020, 11, 1081. [Google Scholar] [CrossRef]
- Le, T.; Bae, D.H. Response of global evaporation to major climate modes in historical and future Coupled Model Intercomparison Project Phase 5 simulations. Hydrol. Earth Syst. Sci. 2020, 24, 1131–1143. [Google Scholar] [CrossRef]
- Pfahl, S.; Sodemann, H. What controls deuterium excess in global precipitation. Clim. Past. 2014, 10, 771–781. [Google Scholar] [CrossRef]
- Bershaw, J. Controls on deuterium excess across Asia. Geosciences 2018, 8, 257. [Google Scholar] [CrossRef]
- Kopec, B.G.; Feng, X.; Posmentier, E.S.; Sonder, L. Seasonal deuterium excess variations of precipitation at Summit, Greenland, and their climatological significance. J. Geophys. Res. Atmos. 2019, 124, 72–91. [Google Scholar] [CrossRef]
- Yamanaka, T.; Shimada, J.; Miyaoka, K. Footprint analysis using event-based isotope data for identifying source area of precipitated water. J. Geophys. Res. Atmos. 2002, 107, 4624. [Google Scholar] [CrossRef]
- Tian, L.; Yao, T.; Sun, W.; Stievenard, M. Relationship between δD and δ18O in precipitation on north and south of the Tibetan Plateau and moisture recycling. Sci. China Ser. D 2001, 44, 789–796. [Google Scholar] [CrossRef]
- Martínez, D.E.; Maenza, R.; Londono, O.M.Q. Atmospheric constraints on δ18O and d-excess in precipitation at the middle latitude in the southwestern Atlantic region. Isot. Environ. Healt. Stud. 2020, 56, 551–565. [Google Scholar] [CrossRef]
- Zhang, M.; Wang, S. Precipitation isotopes in the Tianshan Mountains as a key to water cycle in arid central Asia. Sci. Cold Arid Reg. 2018, 10, 27–37. [Google Scholar]
- Froehlich, K.; Kralik, M.; Papesch, W.; Rank, D. Deuterium excess in precipitation of Alpine regions—Moisture recycling. Isot. Environ. Healt. Stud. 2008, 44, 61–70. [Google Scholar] [CrossRef]
- Kong, Y.; Pang, Z.; Froehlich, K. Quantifying recycled moisture fraction in precipitation of an arid region using deuterium excess. Tellus B 2013, 65, 19251. [Google Scholar] [CrossRef]
- Wang, S.; Zhang, M.; Che, Y.; Zhu, X.; Liu, X. Influence of below-cloud evaporation on deuterium excess in precipitation of arid central Asia and its meteorological controls. J. Hydrometeorol. 2016, 17, 1973–1984. [Google Scholar] [CrossRef]
- Zhang, M.; Wang, S. A review of precipitation isotope studies in China: Basic pattern and hydrological process. J. Geogr. Sci. 2016, 26, 921–938. [Google Scholar] [CrossRef]
- Sun, C.; Chen, W.; Chen, Y.; Cai, Z. Stable isotopes of atmospheric precipitation and its environmental drivers in the Eastern Chinese Loess Plateau, China. J. Hydrol. 2020, 581, 124404. [Google Scholar] [CrossRef]
- Ma, X.; Jia, W.; Zhu, G.; Wang, S. Quantitative analysis of the sub-cloud evaporation of atmospheric precipitation and its controlling factors calculated by d-excess in an inland river basin of China. Water 2020, 12, 2798. [Google Scholar] [CrossRef]
- Chen, F.; Zhang, M.; Ma, Q.; Wang, S.; Li, X.; Zhu, X. Stable isotopic characteristics of precipitation in Lanzhou City and its surrounding areas, Northwest China. Environ. Earth Sci. 2015, 73, 4671–4680. [Google Scholar] [CrossRef]
- Chen, F.; Zhang, M.; Wang, S.; Qiu, X.; Du, M. Environmental controls on stable isotopes of precipitation in Lanzhou, China: An enhanced network at city scale. Sci. Total Environ. 2017, 609, 1013–1022. [Google Scholar] [CrossRef] [PubMed]
- Chen, F.; Zhang, M.; Wang, S.; Ma, Q.; Zhu, X.; Dong, L. Relationship between sub-cloud secondary evaporation and stable isotope in precipitation of Lanzhou and surrounding area. Quatern. Int. 2015, 380–381, 68–74. [Google Scholar] [CrossRef]
- Han, T.; Zhang, M.; Wang, S.; Qu, D.; Du, Q. Sub-hourly variability of stable isotopes in precipitation in the marginal zone of East Asian Monsoon. Water 2020, 12, 2145. [Google Scholar] [CrossRef]
- Friedman, I.; O’Neil, J.R. Compilation of stable isotope fractionation factors of geochemical interest. In Data of Geochemistry; Fleischer, M., Ed.; US Geological Survey: Washington, DC, USA, 1977. [Google Scholar]
- Criss, R.E. Principles of Stable Isotope Distribution; Oxford University: New York, NY, USA, 1999. [Google Scholar]
- Merlivat, L. Quantitative aspects of the study of water balances in lakes using the deuterium and oxygen-18 concentrations in the water. In Proceedings of the Symposium on Isotope Hydrology, Vienna, Austria, 9–13 March 1970; pp. 89–107. [Google Scholar]
- Best, A.C. Empirical formulae for the terminal velocity of water drops falling through the atmosphere. Q. J. Roy. Meteor. Soc. 1950, 76, 302–311. [Google Scholar] [CrossRef]
- Berberan-Santos, M.N.; Bodunov, E.N.; Pogliani, L. On the barometric formula. Am. J. Phys. 1997, 65, 404–412. [Google Scholar] [CrossRef]
- Barnes, S.L. An empirical shortcut to the calculation of temperature and pressure at the lifted condensation level. J. Appl. Meteorol. 1968, 7, 511. [Google Scholar] [CrossRef]
- Kinzer, G.D.; Gunn, R. The evaporation, temperature and thermal relaxation-time of freely falling waterdrops. J. Meteorol. 1951, 8, 71–83. [Google Scholar] [CrossRef]
- Best, A.C. The size distribution of raindrops. Q. J. Roy. Meteor. Soc. 1950, 76, 16–36. [Google Scholar] [CrossRef]












| Site | d (‰) | ||||||||||||||
|---|---|---|---|---|---|---|---|---|---|---|---|---|---|---|---|
| 2011–2014 | 2011 | 2012 | 2013 | 2014 | |||||||||||
| Ground | Cloud Base | Δd | Ground | Cloud Base | Δd | Ground | Cloud Base | Δd | Ground | Cloud Base | Δd | Ground | Cloud Base | Δd | |
| Anning | 9.38 | 24.32 | −14.94 | 11.17 | 29.57 | −18.40 | 8.23 | 22.93 | −14.70 | 5.63 | 30.02 | −24.39 | 10.22 | 18.74 | −8.53 |
| Yuzhong | 11.96 | 22.51 | −10.55 | 15.70 | 24.43 | −8.73 | 10.60 | 19.22 | −8.62 | 11.76 | 24.24 | −12.47 | 10.45 | 24.12 | −13.68 |
| Gaolan | 10.39 | 28.23 | −17.84 | 22.26 | 38.30 | −16.04 | 7.24 | 25.74 | −18.49 | 9.60 | 24.88 | −15.28 | 9.06 | 30.70 | −21.64 |
| Yongdeng | 11.19 | 23.09 | −11.90 | 12.28 | 25.46 | −13.19 | 9.81 | 20.04 | −10.22 | 11.47 | 25.34 | −13.87 | 11.43 | 22.43 | −11.00 |
| Site | d (‰) | ||||||||||||
|---|---|---|---|---|---|---|---|---|---|---|---|---|---|
| Spring | Summer | Autumn | Winter | ||||||||||
| Ground | Cloud Base | Δd | Ground | Cloud Base | Δd | Ground | Cloud Base | Δd | Ground | Cloud Base | Δd | ||
| Anning | 2011–2014 | 10.61 | 25.82 | −15.21 | 8.10 | 25.92 | −17.82 | 10.84 | 19.34 | −8.50 | 13.22 | 13.22 | 0.00 |
| 2011 | 12.04 | 22.02 | −9.98 | 10.00 | 33.10 | −23.10 | 13.46 | 24.91 | −11.45 | 8.97 | 8.97 | 0.00 | |
| 2012 | 10.98 | 22.15 | −11.17 | 6.10 | 23.91 | −17.81 | 8.20 | 12.68 | −4.48 | 11.69 | 11.69 | 0.00 | |
| 2013 | 5.66 | 20.03 | −14.38 | 2.14 | 25.14 | −23.00 | 10.56 | 19.12 | −8.56 | 14.10 | 14.10 | 0.00 | |
| 2014 | 12.09 | 18.51 | −6.42 | 9.80 | 20.75 | −10.95 | 8.96 | 15.19 | −6.23 | n.s. | |||
| Yuzhong | 2011–2014 | 14.09 | 24.39 | −10.30 | 11.79 | 23.55 | −11.76 | 11.06 | 19.89 | −8.83 | 9.62 | 9.62 | 0.00 |
| 2011 | 19.57 | 30.65 | −11.08 | 16.67 | 25.56 | −8.89 | 13.13 | 21.70 | −8.57 | 10.94 | 10.94 | 0.00 | |
| 2012 | 12.20 | 21.53 | −9.33 | 10.79 | 19.92 | −9.13 | 5.89 | 11.04 | −5.15 | 6.03 | 6.03 | 0.00 | |
| 2013 | 15.56 | 30.11 | −14.55 | 10.97 | 22.93 | −11.95 | 11.98 | 24.72 | −12.74 | −0.92 | −0.92 | 0.00 | |
| 2014 | 18.44 | 41.87 | −23.43 | 10.04 | 27.62 | −17.58 | 11.09 | 18.87 | −7.78 | n.s. | |||
| Gaolan | 2011–2014 | 10.14 | 27.64 | −17.50 | 9.42 | 30.60 | −21.18 | 14.50 | 24.00 | −9.50 | 3.19 | 3.19 | 0.00 |
| 2011 | 26.91 | 37.31 | −10.40 | 21.14 | 38.84 | −17.70 | 25.26 | 32.29 | −7.04 | n.s. | |||
| 2012 | 9.42 | 30.34 | −20.92 | 4.08 | 25.50 | −21.42 | 15.12 | 21.25 | −6.13 | n.s. | |||
| 2013 | 11.61 | 37.55 | −25.94 | 6.82 | 22.75 | −15.93 | 13.54 | 25.07 | −11.53 | n.s. | |||
| 2014 | 7.33 | 21.08 | −13.74 | 11.71 | 45.42 | −33.71 | n.s. | n.s. | |||||
| Yongdeng | 2011–2014 | 15.49 | 25.79 | −10.30 | 8.44 | 20.85 | −12.41 | 14.37 | 26.85 | −12.48 | 8.35 | 8.35 | 0.00 |
| 2011 | 15.03 | 30.53 | −15.50 | 8.42 | 24.12 | −15.70 | 16.65 | 26.04 | −9.39 | 17.06 | 17.06 | 0.00 | |
| 2012 | 18.22 | 28.78 | −10.56 | 6.11 | 16.68 | −10.57 | 13.20 | 23.32 | −10.12 | 3.14 | 3.14 | 0.00 | |
| 2013 | 12.85 | 28.11 | −15.26 | 10.27 | 20.67 | −10.40 | 13.75 | 36.71 | −22.96 | 13.05 | 13.05 | 0.00 | |
| 2014 | 14.62 | 21.25 | −6.63 | 9.66 | 22.86 | −13.20 | 11.51 | 23.19 | −11.68 | n.s. | |||
Publisher’s Note: MDPI stays neutral with regard to jurisdictional claims in published maps and institutional affiliations. |
© 2021 by the authors. Licensee MDPI, Basel, Switzerland. This article is an open access article distributed under the terms and conditions of the Creative Commons Attribution (CC BY) license (http://creativecommons.org/licenses/by/4.0/).
Share and Cite
Chen, F.; Zhang, M.; Argiriou, A.A.; Wang, S.; Ma, Q.; Zhou, X.; Wu, X.; Chen, J. Modeling Insights into Precipitation Deuterium Excess as an Indicator of Raindrop Evaporation in Lanzhou, China. Water 2021, 13, 193. https://doi.org/10.3390/w13020193
Chen F, Zhang M, Argiriou AA, Wang S, Ma Q, Zhou X, Wu X, Chen J. Modeling Insights into Precipitation Deuterium Excess as an Indicator of Raindrop Evaporation in Lanzhou, China. Water. 2021; 13(2):193. https://doi.org/10.3390/w13020193
Chicago/Turabian StyleChen, Fenli, Mingjun Zhang, Athanassios A. Argiriou, Shengjie Wang, Qian Ma, Xin Zhou, Xixi Wu, and Jufan Chen. 2021. "Modeling Insights into Precipitation Deuterium Excess as an Indicator of Raindrop Evaporation in Lanzhou, China" Water 13, no. 2: 193. https://doi.org/10.3390/w13020193
APA StyleChen, F., Zhang, M., Argiriou, A. A., Wang, S., Ma, Q., Zhou, X., Wu, X., & Chen, J. (2021). Modeling Insights into Precipitation Deuterium Excess as an Indicator of Raindrop Evaporation in Lanzhou, China. Water, 13(2), 193. https://doi.org/10.3390/w13020193

