Next Article in Journal
Aquatic Biological Diversity Responses to Flood Disturbance and Forest Management in Small, Forested Watersheds
Previous Article in Journal
Study of Comprehensive Utilization of Water Resources of Urban Water Distribution Network
 
 
Font Type:
Arial Georgia Verdana
Font Size:
Aa Aa Aa
Line Spacing:
Column Width:
Background:
Article

Treatment of Bilge Water by Fenton Oxidation Followed by Granular Activated Carbon Adsorption

1
Department of Environmental Engineering, Faculty of Engineering, Terzioğlu Campus, Çanakkale Onsekiz Mart University, Çanakkale 17020, Turkey
2
Department of Environmental Engineering, Faculty of Engineering, Avcilar Campus, Istanbul University-Cerrahpasa, Istanbul 34320, Turkey
*
Author to whom correspondence should be addressed.
Water 2021, 13(19), 2792; https://doi.org/10.3390/w13192792
Submission received: 1 September 2021 / Revised: 25 September 2021 / Accepted: 3 October 2021 / Published: 8 October 2021
(This article belongs to the Section Wastewater Treatment and Reuse)

Abstract

:
Due to its high oil content, the discharge of bilge water from ships is one of the most important pollutants in marine ecosystem. In this research, we investigated the treatment of bilge water for Haydarpasa Waste Collection Plant by Fenton oxidation followed by granular activated carbon (GAC) adsorption. We applied the following optimum operational conditions for Fenton oxidation: [Fe2+]: 6 mM; [H2O2]: 30 mM; and the ratio of [Fe2+]/[H2O2]: 1/5. Adsorption was performed in the effluent sample of Fenton oxidation. The effects of different adsorption periods, adsorbent concentrations, temperature, and pH were examined. Additionally, Freundlich and Langmuir isotherm models were applied. We obtained the following optimum operational conditions: 24 h, 2 g of GAC L−1, 20 °C, and pH = 6. We observed an 89.5 ± 1.9% of Chemical Oxygen Demand (COD) removal efficiency under these conditions. Data generated from the experiments fit both isotherm models well, though we preferred the Langmuir isotherm model to the Freundlich isotherm model because the former’s regression coefficient (0.90) was larger than that reported for the Freundlich isotherm model (0.78). The potential to treat bilge water by Fenton oxidation followed by granular activated carbon is promising for the Haydarpasa Waste Collection Plant.

1. Introduction

The importance of transportation between countries and continents has increased as a result of globalization. Specifically, the rate of marine transportation has increased due to its larger loading capacity compared to other transportation methods, which has induced marine pollution [1,2]. In the context of marine pollution, sea vessels (i.e., ships) are considered to be among the main marine pollutants. Around 20% of marine pollution is caused by sea vessels, with levels depending on ship types and conditions, as well as their routes [3]. Bilge water is considered to be sea vessels’ major pollutant because it contains high amounts of petroleum and oil [4].
Bilge water is stored in the lowest internal part of a ship’s hull below the engine room and boiler, and it is a corrosive mixture of wastewater and sea water [5]. Although the pollution characteristic of bilge water depends on the type of vehicle and its operation mode, pollutants typically found in bilge water include fuels, oils, grease, detergents, surfactants, solvents, and salts [6,7]. The adverse effects of discharging bilge water on marine habitat are: (i) reductions of dissolved oxygen and sunlight penetration caused by a layer formed on the surface due to its lower oil density than water and (ii) the massive death of fish and birds caused by the bilge water sticking on their gills and feathers, respectively [8]. Therefore, the discharge standard set by International Maritime Organization (IMO) (<15 ppm oil/grease) should be met before discharging bilge water [9].
Turkey’s geographical location has international strategical importance regarding marine transportation between two continents, Europe and Asia. Therefore, Istanbul Bosporus (41° N, 29° E) has been severely contaminated by bilge water [10]. Bilge water is first collected by waste collection ships; then stored in different tanks depending on the types of waste in Haydarpasa Waste Collection Plant, Istanbul, Turkey; and finally pumped out at the wastewater treatment plant. The coagulation–flocculation process is performed to treat bilge water. Haydarpasa Waste Reception Plant’s flow diagram is demonstrated in Figure S1. Although COD removal efficiency varies from 60 and 85%, with organic material concentration from 450 to 550 mg COD L−1 [10], the discharge standard set in Su Kirliliği Kontrol Yönetmeliği (SKKY) (Water Pollution Control Regulations) [11] regarding COD concentration in the effluent cannot be met. Many different methods for the treatment of bilge water, including membrane processes [7,12,13], electrochemical processes [2,4,14], and biodegradation [15,16,17], have been studied. However, their applicability can be scrutinized from an economical perspective due to their high energy requirements. Physicochemical processes (i.e., Fenton oxidation and granular activated carbon adsorption) could be also used for the removal of organic materials [18,19]. Fenton oxidation an advanced oxidation process that is simple to apply, has low capital costs, and is based the formation of hydroxyl radicals by using ferrous salts with H2O2 at acidic pH [20]. Adsorption removes organic and inorganic pollutants by binding adsorbates on the outer surfaces of adsorbent. Granular activated carbon is a commonly used adsorbent [19].
The treatment of bilge water with a moving bed biofilm reactor has been studied, and the greatest obtained COD removal efficiency was as 86% [21]. Mazioti A.A. et al. [22] investigated the treatment of bilge water by anaerobic digestion via granular sludge, and they reported that methane production and COD removal efficiency significantly increased after adding zero valent iron and activated charcoal, respectively. In addition, the removal efficiency of organic materials differed in the range of 36.2–71% when electrochemical processes such as electrocoagulation and electro-Fenton were applied for bilge water treatment [4]. In our previous study, Fenton oxidation was proposed as a pre-treatment process for bilge water collected at Haydarpasa Waste Reception Plant due to the fact that the effluent could not meet the discharge standards. We identified the optimum operational conditions as [Fe2+]: 6 mM; [H2O2]: 30 mM; and the ratio of [Fe2+]/[H2O2]: 1/5 [23]. Furthermore, Ramirez-Sosa D.R. et al. [24] reported that COD removal was increased by Fenton oxidation followed by activated carbon adsorption.
Therefore, this study was aimed to investigate the treatability of bilge water by granular activated carbon adsorption after using Fenton oxidation as a pre-treatment method, as recommended by Oz and Cetin [23]. The effects of different adsorption periods, adsorbents dosages, temperatures, and pH conditions were tested to identify the optimum operational conditions in terms of the removal efficiency of organic materials. In addition, Freundlich and Langmuir isotherms were applied in order to determine which isotherm presents a better fit for adsorption isotherm studies.

2. Materials and Methods

2.1. Bilge Water

The bilge water used in this project was collected from the influent of chemical treatment unit in Haydarpaşa Waste Collection Plant in Haydarpaşa Port, Istanbul [25]. The sampling point is presented in Figure S1. The characterization of the bilge water is presented in Table 1.

2.2. Synthetic Bilge Water

Synthetic bilge water containing 5 g of COD L−1 was prepared in order to adjust the amount of organic compound for the adsorption isotherm studies. The oil and sea water contents in artificial bilge water were adjusted as recommended by Peng et al. [6] and Körbahti and Artut [14], respectively. The synthetic bilge water consisted of diesel fuel, lubricating oil, hydraulic oil, detergents and surface-active reagents, NaCl, Na2SO4, KCl, and CaCl2. The composition of the synthetic wastewater is summarized in Table 2.

2.3. Experimental Setup and Operational Conditions

2.3.1. Fenton Oxidation

Fenton oxidation was applied as a pre-treatment method in this study. Temperature and pH were set to 20 °C and 3, respectively. Ferrous sulphate and hydrogen peroxide were added. A jar test setup with 6 stirrers was used, and the agitation rate was adjusted to 200 rpm for half an hour. The oxidation was completed in 2 h. The upper phase was transferred in a beaker for the sedimentation. The pH was set to 7.5. The settlement was maintained for 2 h. The supernatant phase of samples was collected for the adsorption process.

2.3.2. Granular Active Carbon Adsorption

We transferred 200 mL of effluent of Fenton oxidation samples to 250 mL volumetric flasks. Granular active carbon (GAC) with a pore diameter of 1.5 mm was added to the flasks. GAC was weighed on a balance. pH was adjusted with a pH meter (WTW Inolab*7110). The flasks were placed in a temperature-controlled shaker at 170 rpm (Gallenkamp) and fixed by clamps. Samples were collected after 1, 3, 5, 7, 24, 48, and 72 h at 25 °C by using 1 g of GAC L−1 in order to determine the equilibrium time. In the experiments for the optimum GAC concentration and temperature, 1, 1.5, 2, 2.5, and 3 g of GAC L−1 were added to the volumetric flasks at 15, 20, 25, and 30 °C; pH was adjusted to be 2, 4, 6, 8, and 10 using 0.5 N NaOH and 1 N H2SO4 at 20 °C in order to identify the effect of pH on granular activated carbon adsorption. Table 3 summarizes the experimental plan to identify optimum adsorption conditions for the treatment of bilge water.
Samples were collected after reaching the equilibrium time at all adsorption experiments. We used 0.45 µm syringe filters for filtration, and sCOD was analyzed following SM 5220-D [26].
Bilge water and synthetic bilge water were mixed in different ratios for adsorption isotherm experiments to adjust organic material concentrations, as shown in Table 4. We added 1.5 g of GAC L−1 to the volumetric flasks. The temperature of shaker was set to 20 °C, and the pH was adjusted to 6. Freundlich and Langmuir isotherms were performed via Equations (1) and (2), respectively.
log qe = log KF + (1/n) log Ce
where Ce: COD concentration measured following adsorption (mg L−1); qe: amount of adsorbate in the adsorbent at equilibrium (mg g−1); KF: Freundlich constant (mg g−1) (dm3 g−1)1/n; and n: adsorption intensity.
(Ce/qe) = (Ce/Q0) + (1/(Q0 * KL))
where Ce: COD concentration measured following adsorption (mg L−1); qe: amount of adsorbate in the adsorbent at equilibrium (mg g−1); Q0: maximum monolayer adsorption capacity (mg g−1); and KL: adsorption energy coefficient (L mg−1).

2.4. Analytical Procedures and Chemicals

COD, Total Suspended Solids (TSS), Volatile Suspended Solids (VSS), and Oil–Grease were analyzed following standard methods (SM 5220 D, SM 2540 D, SM 2540 E, and SM 5520 D, respectively) [26]. Chloride was analyzed via the Mohr Method. All of the chemicals used in this study were purchased from MERCK (Burlington, Massachusetts, ABD) or similar manufacturers at an equivalent purity; the granular activated carbon with a pore size of 1.5 mm was also purchased from MERCK.

2.5. Statistical Analysis

All analyses were conducted in duplicate. Data are reported as average ± standard deviation. Statistical analysis was performed by using one-way analysis of variance (ANOVA) in IBM SPSS Statistics version 23. p-Values of less than 0.05 indicate significant differences. Post hoc Tukey tests were conducted to compare the different means.

3. Results and Discussion

3.1. Fenton Oxidation

In our previous research, the optimum operational conditions for Fenton oxidation to remove organic materials from bilge water were identified to be [Fe2+]: 6 mM; [H2O2]: 30 mM; and the ratio of [Fe2+]/[H2O2]: 1/5 [23]. COD removal efficiency was reported to be 59.0 ± 0.2%, corresponding to the concentration of organic materials in the effluent was 450.8 ± 2.5 mg O2 L−1. The discharge standard set in Su Kirliliği Kontrol Yönetmeliği (SKKY) [11] could not be met, so Fenton oxidation was proposed as a pre-treatment method to treat bilge water.

3.2. Adsorption

3.2.1. Equilibrium Time

The adsorption process was applied to the effluent sample of Fenton oxidation. Samples were collected at 1, 3, 5, 7, 24, 48, and 72 h to determine equilibrium time by dosing 1 g of GAC L−1 at pH = 7.5, 25 °C, and a 170 rpm agitation rate (Figure 1). COD removal efficiencies fluctuated in the range between 3.1 ± 1.3% and 10.7 ± 3.6% for adsorption between the equilibrium time of 1 and 5 h. There were significant increases in COD removal efficiencies from 10.7 ± 3.7% and 54.5 ± 1.8% to 26.3 ± 2.2% and 62.5 ± 1.1% for adsorption and total, respectively, with the increase in the equilibrium time from 5 to 24 h, which corresponded to the decrease in COD concentration from 500.0 ± 28.3 to 410 ± 18 mg L−1 (p = 0.008 and 0.012 for COD removal efficiencies and COD concentrations for 5 and 24 h, respectively). COD removal increases until reaching equilibrium time due to the formation of monolayer cover of organic materials on the outer surface of GAC [27]. Further increases in the equilibrium time did not show any statistical differences (p > 0.05); therefore, 24 h was used as the equilibrium time for further experiments. Mohammad-Pajooh et al. [28] reported over 50% COD removal from raw leachate by GAC after 24 h of contact time as their preliminary results.

3.2.2. Granular Active Carbon Concentration

Figure 2 presents the effects of different adsorbent dosages on COD removal for 24 h at 25 °C, pH = 7.5, and an agitation rate of 170 rpm. We tested 1.0, 1.5, 2.0, 2.5, and 3.0 g of GAC L−1 to identify optimum adsorbent dosage. A gradual increase in COD removal was observed from 50.0 ± 5.1% and 74.5 ± 2.6% to 68.3 ± 1.9% and 83.9 ± 1.0% for adsorption and total, respectively, with increases granular activated carbon concentration from 1 to 3 g L−1. Regarding COD concentration, there was a slight decrease from 280.0 ± 28.3 to 177.5 ± 10.6 mg O2 L−1. Increases in the removal of organic material with increases in adsorbent dosage have been reported in many studies [28,29], and it could be explained by the total specific surface are and active sites on the adsorbents [30].
The change in COD removal for adsorption was statistically different between 1 and 2 g of GAC L−1 (p = 0.033). Further increases in adsorbent concentration did not show any significant influence on COD removal (p > 0.05). This situation could be attributed to the fact that the adsorption capacity could not be further increased once equilibrium was reached [26]. The increase in total COD removal was not significantly different at all tested adsorbent concentrations, except between 1 and 3 g of GAC L−1 (p > 0.05). A similar statistical trend was observed in COD concentrations. The p-values obtained for COD removal and COD concentration between 1 and 3 g of GAC L−1 were 0.029 and 0.027, respectively. Therefore, from the statistical perspective, the optimum considered granular activated carbon concentration was 2 g of GAC L−1.

3.2.3. Temperature

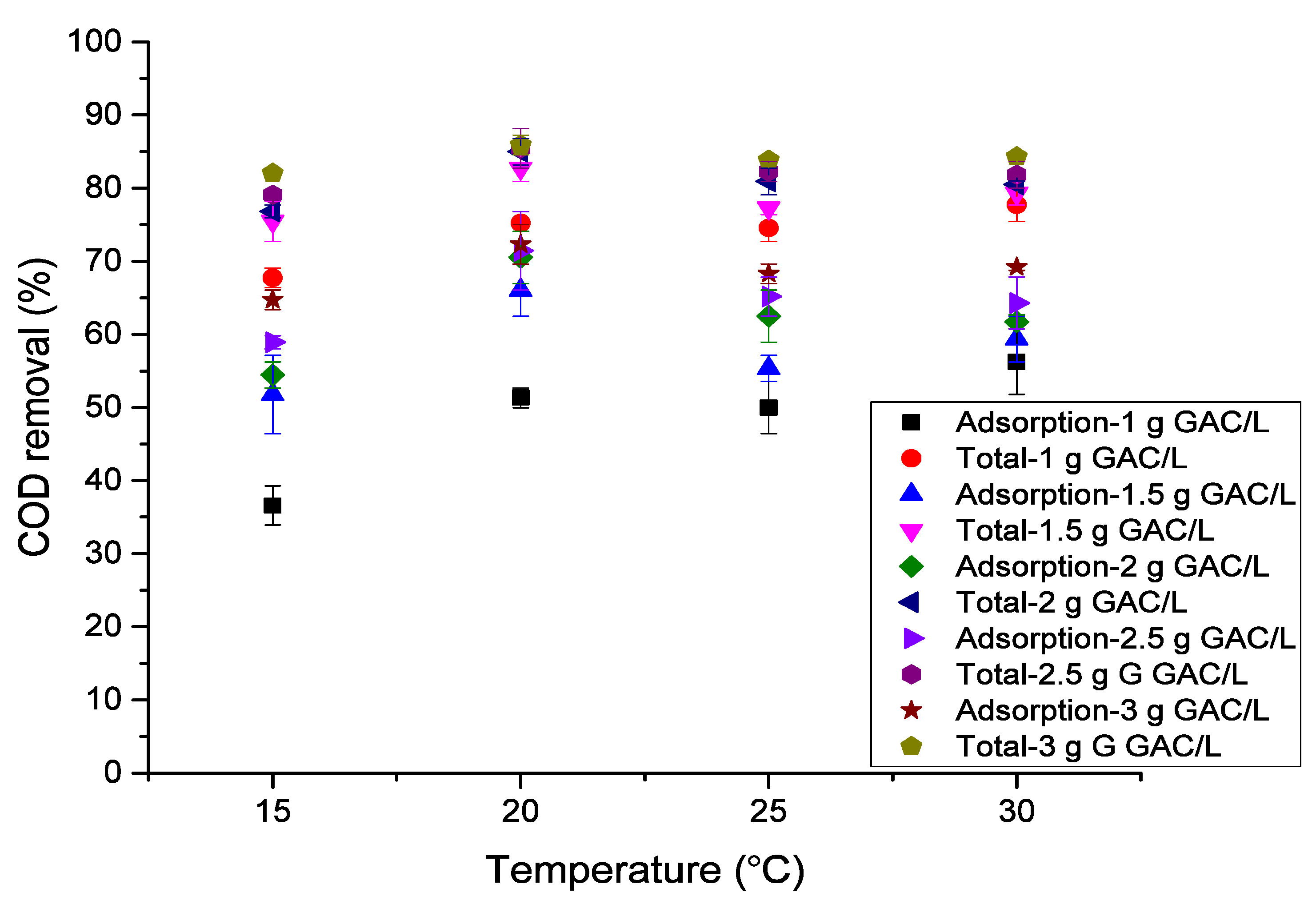
The effects of temperature on COD removal are depicted in Figure 3. To determine optimum temperature at all granular activated carbon dosages, the shaker was set to four different temperatures of 15, 20, 25, and 30 °C, as well as pH = 7.5 with a 170 rpm agitation rate, for 24 h. There was a significant increase in COD removal between 15 and 20 °C for adsorption and total (p = 0.007). This situation could be attributed to the fact that pore size could become larger with increases in temperature, which could increase the adsorption capacity by activating the surface of the adsorbent [31]. However, further increases in temperature did not present any statistical differences in COD removal, regardless of the tested adsorbent concentrations (p > 0.05 for all experiments). Larous et al. [32] reported that desorption could occur beyond a certain temperature limit via the enlargement of pore size with the increase in temperature and thus decrease the adsorption rate. As such, the optimum temperature was designated as 20 °C because it led to the greatest removal efficiencies of COD for adsorption and total achieved—70.5 ± 3.6% and 85.0 ± 1.8%, respectively—at 20 °C and 2 g of GAC L−1, which corresponded to a concentration of 165.0 ± 20 mg L−1 COD.

3.2.4. pH

To identify the optimum pH, it was adjusted to represent both acidic and alkaline conditions at 20 °C, 2 g of GAC L−1, and an agitation speed of 170 rpm for 24 h (Figure 4). COD removal efficiency significantly increased from 54.0 ± 5.7% and 76.6 ± 2.9% to 79.5 ± 3.8% and 89.5 ± 1.9% between pH = 2 and 6 for adsorption and total, respectively (p = 0.033), which corresponded to a decrease in COD concentration from 257.5 ± 31.8 to 115.0 ± 21.2 mg O2 L−1. With a further increase in pH, COD removal efficiency did not present any significant changes (p > 0.05). Therefore, the optimum pH was found to be 6 for Fenton oxidation followed by adsorption for the treatment of bilge water. The greatest COD removal rate from bilge water achieved under optimum operational conditions was higher than the rates reported in previous studies with different treatment processes [4,15,16,17].
Nayl et al. [29] also reported that the highest COD removal was achieved at pH = 6 by using activated carbon. This situation could be related to the fact that the surface of activated carbon becomes positively charged by the presence of larger number of H+ at lower pH values, so adsorption is triggered with high electronegative charge of oxygen. Furthermore, the abundance of OH−1 at higher pH values reduces the adsorption capacity [33,34]. On the other hand, opposite effects of pH on adsorption has been observed when using positively and negatively surface-charged adsorbates and adsorbents, respectively [35].

3.2.5. Adsorption Isotherm Studies

Adsorption isotherm studies are essential to establish the relationship between an adsorbate and adsorbent. Freundlich and Langmuir isotherm models were created in this study by using Equations (1) and (2), respectively. Adsorption isotherms for the Freundlich and Langmuir models are presented in Figure 5 and Figure 6, respectively.
The constants KF and n for the Freundlich isotherm model were calculated from the intercept and slope of the linear plots in Figure 5, respectively. KF and n were found to be 17.68 mg g−1 and 2.27, respectively. n > 1 indicates favorable multiple adsorption conditions for organic materials on granular activated carbon. The regression coefficient for the Freundlich isotherm model was 0.78. Regarding the constants of the Langmuir isotherm model, Q0 and b were calculated from the slope and intercept of the linear plots in Figure 6, respectively, to be 523.26 mg g−1 and 0.0026 L mg−1. The regression coefficient was determined to be 0.90. The parameters for the Freundlich and Langmuir isotherm models are summarized in Table 5.
The feasibility of the Langmuir isotherm was determined with a dimensionless constant separation factor or equilibrium parameter, RL, which was calculated using Equation (3). RL values fluctuated between 0.19 and 0.67, which evidences favorable adsorption of organic materials onto granular activated carbon due to the fact that the system is suitable at RL values in the range of 0–1.
RL = {1/[1 + (KL * C0)]}
where KL is the Langmuir constant (L mg−1) and C0 is the initial COD concentration.
The Freundlich isotherm model performed well in heterogeneous and multilayer adsorption systems, whereas the Langmuir isotherm model performed well in monolayer adsorption with uniform and homogenous adsorbent surfaces. Although the isotherm studies conducted in this study showed that both the Freundlich and Langmuir isotherm models fit the adsorption of COD on GAC, the Langmuir isotherm model was more appropriate than the Freundlich isotherm model due to its greater regression coefficient.

4. Conclusions

In this study, the treatability of bilge water by Fenton oxidation followed by adsorption was investigated. The optimum operational conditions for adsorption, which resulted in a total COD removal efficiency of 89.5 ± 1.9% (corresponding to 115.0 ± 21.2 mg O2 L−1 organic matter concentration), were identified to as follows: an equilibrium time of 24 h, an adsorbent dosage of 2 GAC L−1, a temperature of 20 °C, and pH = 6. Freundlich and Langmuir isotherm models were compared in order to determine their applicability. Both isotherm models presented a good fits for the adsorption of organic materials on granular activated carbon. The Langmuir isotherm model was considered more suitable than the Freundlich isotherm model due to its greater regression coefficient. Fenton oxidation followed by granular activated carbon has shown promising potential for the treatment of bilge water from an economical perspective.

Supplementary Materials

The following are available online at https://www.mdpi.com/article/10.3390/w13192792/s1: Figure S1: Process flow diagram of Haydarpasa Waste Reception Plant.

Author Contributions

Ç.Ö. carried out the laboratory analyses, analyzed the data, conducted the literature research, and wrote and submitted the manuscript. E.Ç. contributed to identifying the research problem and research gap. Both authors have read and agreed to the published version of the manuscript.

Funding

This research was funded by Istanbul University Scientific Research Funds, grant number 27466.

Institutional Review Board Statement

Not applicable.

Informed Consent Statement

Not applicable.

Data Availability Statement

Not applicable.

Acknowledgments

The authors also would like to thank Ömür Temizel for her help at the laboratory studies.

Conflicts of Interest

The authors declare no conflict of interest.

References

  1. Schnurr, R.E.J.; Walker, T.R. Marine transportation and energy use. In Reference Module in Earth Systems and Environmental Sciences; Elsevier: Amsterdam, The Netherlands, 2019. [Google Scholar] [CrossRef]
  2. Aswathy, P.; Gandhimathi, R.; Ramesh, S.T.; Nidheesh, P.V. Removal of organics from bilge water by batch electrocoagulation process. Sep. Purif. Technol. 2016, 159, 108–115. [Google Scholar] [CrossRef]
  3. Artut, K. Sintine Suyunun Elektrokimyasal Yontemlerle Arastirilmasi. Master’s Thesis, Mersin University, Mersin, Turkey, June 2008. [Google Scholar]
  4. Ulucan, K.; Kurt, U. Comparative study of electrochemical wastewater treatment processes for bilge water as oily wastewater: A kinetic approach. J. Electroanal. Chem. 2015, 747, 104–111. [Google Scholar] [CrossRef]
  5. Guney, C.; Yonsel, F. Gemi inşa sektörünün çevresel sorumluluğu: Sintine ve balast suları. Gemi ve Deniz Teknolojisi 2008, 177, 10–15. [Google Scholar]
  6. Peng, H.; Tremblay, A.Y.; Veinot, D.E. The use of backflushed coalescing microfiltration as a pretreatment for the ultrafiltration of bilge water. Desalination 2005, 181, 109–120. [Google Scholar] [CrossRef]
  7. Sun, C.; Leiknes, T.; Weitzenbock, J.; Thorstensen, B. Development of a biofilm-MBR for shipboard wastewater treatment: The effect of process configuration. Desalination 2010, 250, 745–750. [Google Scholar] [CrossRef]
  8. Zirhli, O. Istanbul’u Cevreleyen Denizlerde Gemi Kaynakli Evsel Atiksu ve Sintine Suyu Kirliligi. Master’s Thesis, Istanbul Technical University, Istanbul, Turkey, 18 May 2004. [Google Scholar]
  9. MARPOL 73/78: Articles, Protocols, Annexes, Unified Interpretations of the International Convention for the Prevention of Pollution from Ships, 1973, as Modified by the Protocol of 1978 Relating. Available online: https://www.imo.org/en/About/Conventions/Pages/International-Convention-for-the-Prevention-of-Pollution-from-Ships-(MARPOL).aspx (accessed on 25 May 2020).
  10. Yilmaz, E.; Yetkin, M.; Yildiz, Ş. Petrol ve Petrol Türevli Gemi Kaynaklı Atıksuların Bertaraf ve Yönetimi: İstanbul Örneği; Türkiye’de Katı Atık Yönetimi Sempozumu: Istanbul, Turkey, 2009. [Google Scholar]
  11. Türkiye Cumhuriyeti Cumhurbaşkanlığı Mevzuat Bilgi Sistemi Su Kirliliği Kontrol Yönetmeliği (SKKY). Available online: https://www.mevzuat.gov.tr/mevzuat?MevzuatNo=7221&MevzuatTur=7&MevzuatTertip=5 (accessed on 3 April 2021).
  12. Karakulski, K.; Morawski, W.A.; Grzechulska, J. Purification of bilge water by hybrid ultrafiltration and photocatalytic processes. Sep. Purif. Technol. 1998, 14, 163–173. [Google Scholar] [CrossRef]
  13. Sun, C.; Leiknes, T.; Weitzenbock, J.; Thorstensen, B. The effect of bilge water on a Biofilm—MBR process in an integrated shipboard wastewater treatment system. Desalination 2009, 236, 56–64. [Google Scholar] [CrossRef]
  14. Körbahti, B.K.; Artut, K. Electrochemical oil/water demulsification and purification of bilge water using Pt/Ir electrodes. Desalination 2010, 258, 219–228. [Google Scholar] [CrossRef]
  15. Emadian, S.M.; Hosseini, M.; Rahimnejad, M.; Shahavi, M.H.; Khoshandam, B. Treatment of a low-strength bilge water of Caspian Sea ships by HUASB technique. Ecol. Eng. 2015, 82, 272–275. [Google Scholar] [CrossRef]
  16. Vyrides, I.; Drakou, E.M.; Ioannou, S.; Michael, F.; Gatidou, G.; Stasinakis, A.S. Biodegradation of bilge water: Batch test under anaerobic and aerobic conditions and performance of three pilot aerobic Moving Bed Biofilm Reactors (MBBRs) at different filling fractions. J. Environ. Manag. 2018, 217, 356–362. [Google Scholar] [CrossRef]
  17. Uma, V.; Gandhimathi, R. Organic removal and synthesis of biopolymer from synthetic oily bilge water using the novel mixed bacterial consortium. Bioresour. Technol. 2019, 273, 169–176. [Google Scholar] [CrossRef]
  18. Gulkaya, I.; Surucu, G.A.; Dilek, F.B. Importance of H2O2/Fe2+ ratio in Fenton’s treatment of a carpet dyeing wastewater. J. Hazard. Mater. 2006, 136, 763–769. [Google Scholar] [CrossRef]
  19. Halim, A.A.; Aziz, H.A.; Johari, M.A.M.; Ariffin, K.S. Comparison study of ammonia and COD adsorption on zeolite, activated carbon and composite materials in landfill leachate treatment. Desalination 2010, 262, 31–35. [Google Scholar] [CrossRef]
  20. Keris, U.D. Yüksek KOİ İçeriğine Sahip İlaç Sanayi Atıksularının Arıtılabilirlik Çalışmaları. Master’s Thesis, Gebze Technical University, Kocaeli, Turkey, 28 January 2008. [Google Scholar]
  21. Mazioti, A.A.; Koutsokeras, L.E.; Constantinides, G.; Vyrides, I. Untapped potential of moving bed biofilm reactors with different biocarrier types for bilge water treatment: A laboratory-scale study. Water 2021, 13, 1810. [Google Scholar] [CrossRef]
  22. Mazioti, A.A.; Notarides, G.; Symeou, G.; Vyrides, I. Improving biological treatment of real bilge wastewater with zero valent iron and activated charcoal addition. Front. Bioeng. Biotechnol. 2020, 8, 1–9. [Google Scholar] [CrossRef]
  23. Öz, Ç.; Çetin, E. Organic Material Removal from Bilge Water by Chemical Treatment Processes. PAJES. in press. [CrossRef]
  24. Ramirez-Sosa, D.R.; Castilla-Borges, E.R.; Mendez-Novelo, R.I.; Sauri-Riancho, M.R.; Barcelo-Quintal, M.; Marrufo-Gomez, J.M. Determination of organic compound in landfill leachates treated by Fenton-Adsorption. Waste Manag. 2013, 33, 390–395. [Google Scholar] [CrossRef]
  25. İSTAÇ Haydarpaşa Atık Kabul Tesisi. Available online: http://3d.istac.istanbul/haydarpasa-atik-kabul-birimi (accessed on 1 June 2020).
  26. American Public Health Association (APHA). Standard Methods for the Examination of Water and Wastewater; American Public Health Association: Washington, DC, USA, 2012. [Google Scholar]
  27. Aluyor, E.O.; Badmus, O.A.M. COD removal from industrial wastewater using activated carbon prepared from animal horns. Afr. J. Biotechnol. 2008, 7, 3887–3891. [Google Scholar]
  28. Mohammad-Pajooh, E.; Turcios, A.E.; Cuff, G.; Weichgrebe, D.; Rosenwinkel, K.H.; Vedenyapina, M.D.; Sharifullina, L.R. Removal of inert COD and trace metals from stabilized landfill leachate by granular activated carbon (GAC) adsorption. J. Environ. Manag. 2018, 228, 189–196. [Google Scholar] [CrossRef] [PubMed]
  29. Nayl, A.E.A.; Elkhashab, R.A.; El Malah, T.; Yakout, S.M.; El-Khateeb, M.A.; Ali, M.M.S.; Ali, H.M. Adsorption studies on the removal of COD and BOD from treated sewage using activated carbon prepared from date palm waste. Environ. Sci. Pollut. Res. Int. 2017, 24, 22284–22293. [Google Scholar] [CrossRef] [PubMed]
  30. Zhang, Y.; Wei, F.; Xing, J.; Lv, F.; Meng, X.; Chu, P.K. Adsorption Behaviour and Removal of Organic Materials from TNT Red Water by Lignite Activated Carbon. J. Residuals Sci. Technol. 2012, 9, 121–129. [Google Scholar]
  31. Namasivayam, C.; Yamuna, R.T. Adsorption of Chromium (VI) by a Low-Cost Adsorbent: Biogas Residual Slurry. Chemosphere 1995, 30, 561–578. [Google Scholar] [CrossRef]
  32. Larous, S.; Meniai, A.H.; Lehocine, M.B. Experimental study of the removal of copper from aqueous solutions by adsorption using sawdust. Desalination 2005, 185, 483–490. [Google Scholar] [CrossRef]
  33. Mohan, S.V.; Karthikeyan, J. Removal of Lignin and Tannin Colour From Aqueous Solution by Adsorption Onto Activated Charcoal. Environ. Pollut. 1997, 97, 183–187. [Google Scholar] [CrossRef]
  34. Ghodale, M.D.; Kankal, S.D. Investigation of Optimum Operating Parameters for BOD&COD Removal using Activated Carbon. IJRDET 2014, 2, 38–43. [Google Scholar]
  35. Sadhasivam, S.; Savitha, S.; Swaminathan, K. Exploitation of Trichoderma harzianum mycelial waste for the removal of rhodamine 6G from aqueous solution. J. Environ. Manag. 2007, 85, 155–161. [Google Scholar] [CrossRef] [PubMed]
Figure 1. Effect of equilibrium time on COD removal.
Figure 1. Effect of equilibrium time on COD removal.
Water 13 02792 g001
Figure 2. Effect of granular activated carbon dosage on COD removal.
Figure 2. Effect of granular activated carbon dosage on COD removal.
Water 13 02792 g002
Figure 3. Effect of temperature on COD removal at different granular activated carbon dosages.
Figure 3. Effect of temperature on COD removal at different granular activated carbon dosages.
Water 13 02792 g003
Figure 4. Effect of pH on COD removal.
Figure 4. Effect of pH on COD removal.
Water 13 02792 g004
Figure 5. Freundlich adsorption isotherm.
Figure 5. Freundlich adsorption isotherm.
Water 13 02792 g005
Figure 6. Langmuir adsorption isotherm.
Figure 6. Langmuir adsorption isotherm.
Water 13 02792 g006
Table 1. Bilge water characterization.
Table 1. Bilge water characterization.
ParameterConcentration (mg L−1)
Chemical Oxygen Demand (COD)1100
Soluble Chemical Oxygen Demand (sCOD)900
Oil/Grease900
Chloride (Cl)5700
Suspended Solids (SS)100
Volatile Suspended Solids (VSS)90
Table 2. The composition of synthetic bilge water.
Table 2. The composition of synthetic bilge water.
ContentsConcentration (mg L−1)
Diesel fuel1000
Lubricating oil800
Hydraulic oil200
Detergents and surfactants500
NaCl11,000
Na2SO42000
KCl400
CaCl2600
Table 3. Experimental plan.
Table 3. Experimental plan.
Experiment NumberEquilibrium Time (h)Adsorbent Dosage (g GAC L−1)Temperature (°C)pH
111257.5
23
35
47
524
648
772
8241257.5
91.5
102
112.5
123
13241157.5
141.5
152
162.5
173
18241207.5
191.5
202
212.5
223
23241307.5
241.5
252
262.5
273
28242202
294
306
318
3210
Table 4. Mixing ratio of bilge water and synthetic bilge water for adsorption isotherm experiments.
Table 4. Mixing ratio of bilge water and synthetic bilge water for adsorption isotherm experiments.
Ratio of Bilge Water (%)Ratio of Synthetic Bilge Water (%)
1000
9010
8020
7030
6040
5050
Table 5. Freundlich and Langmuir isotherm constants for the adsorption of COD in GAC.
Table 5. Freundlich and Langmuir isotherm constants for the adsorption of COD in GAC.
Freundlich Isotherm ConstantsLangmuir Isotherm Constants
Kf (mg g−1)nR2Q0 (mg g−1)KL (L mg−1)R2
17.682.270.78523.260.00260.90
Publisher’s Note: MDPI stays neutral with regard to jurisdictional claims in published maps and institutional affiliations.

Share and Cite

MDPI and ACS Style

Öz, Ç.; Çetin, E. Treatment of Bilge Water by Fenton Oxidation Followed by Granular Activated Carbon Adsorption. Water 2021, 13, 2792. https://doi.org/10.3390/w13192792

AMA Style

Öz Ç, Çetin E. Treatment of Bilge Water by Fenton Oxidation Followed by Granular Activated Carbon Adsorption. Water. 2021; 13(19):2792. https://doi.org/10.3390/w13192792

Chicago/Turabian Style

Öz, Çiğdem, and Ender Çetin. 2021. "Treatment of Bilge Water by Fenton Oxidation Followed by Granular Activated Carbon Adsorption" Water 13, no. 19: 2792. https://doi.org/10.3390/w13192792

APA Style

Öz, Ç., & Çetin, E. (2021). Treatment of Bilge Water by Fenton Oxidation Followed by Granular Activated Carbon Adsorption. Water, 13(19), 2792. https://doi.org/10.3390/w13192792

Note that from the first issue of 2016, this journal uses article numbers instead of page numbers. See further details here.

Article Metrics

Back to TopTop