The Simultaneous Analysis of Droplets’ Impacts and Heat Transfer during Water Spray Cooling Using a Transparent Heater
Abstract
:1. Introduction
2. Materials and Methods
2.1. Experimental Setup and Transparent Heater Construction
2.2. Spray Flow Parameters
2.3. High-Speed Video and Infrared Recordings
2.4. Measurement Uncertainties
3. Results
3.1. Irrigation Patterns
3.2. Droplet Sizes
3.3. Droplet Impact on Liquid Film
3.4. Droplet Flux Density
3.5. Heat Transfer Rate
4. Conclusions
- –
- The study of the droplet size distribution was carried out and the dependence of the Sauter diameter on the liquid flow rate for the studied irrigation modes was obtained.
- –
- The droplet flux density for various flow rates was studied. It has been shown that this parameter can differ significantly depending on the impact surface region. This makes it possible to assess the degree of irrigation irregularity even in the case of a full cone spray.
- –
- Various possible scenarios of interaction between droplets and a liquid film forming on the surface were shown, such as the formation of small-scale capillary waves for small droplets, as well as the appearance of craters and splashing crown in the case of large ones.
- –
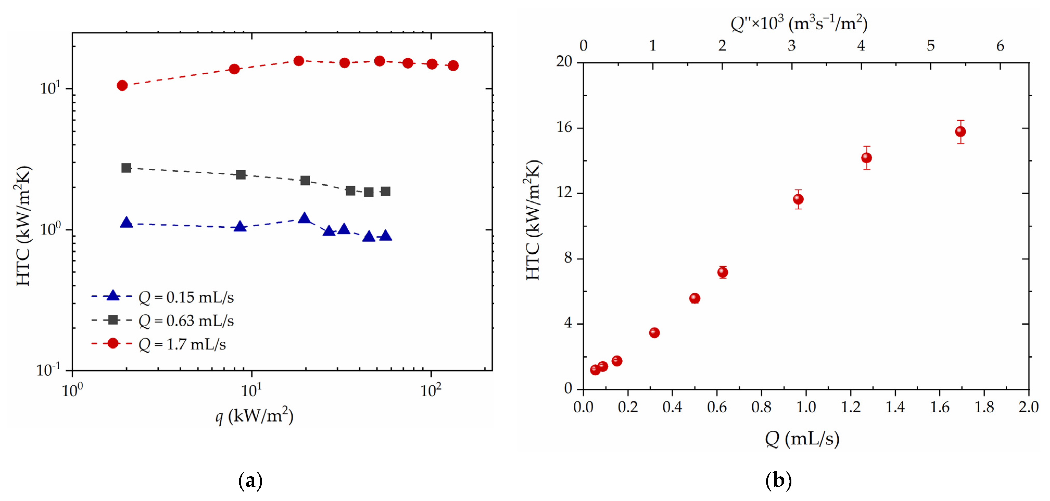
- Based on the data of high-speed infrared recording, the intensity of heat transfer during spray cooling for various heat flux densities and the liquid flow rates was analyzed. It was shown that, for the studied regimes, the value of the heat transfer coefficient is weakly dependent on the heat flux and is determined primarily by the flow rate.
- –
- Comparison of the obtained experimental data on the intensity of single-phase heat transfer during spray cooling with existing models was performed. It was shown that data can be described within the model of [49] with a modified numerical coefficient. In addition, based on a comparative analysis of existing approaches, an analogy in the mechanisms that determine the intensity of heat transfer during spray cooling and nucleate boiling was shown.
Author Contributions
Funding
Institutional Review Board Statement
Informed Consent Statement
Data Availability Statement
Conflicts of Interest
References
- Kim, J. Spray cooling heat transfer: The state of the art. Int. J. Heat Fluid Flow. 2007, 28, 753–767. [Google Scholar] [CrossRef]
- Silk, E.A.; Golliher, E.L.; Selvam, R.P. Spray cooling heat transfer: Technology overview and assessment of future challenges for micro-gravity application. Energy Conv. Mngt. 2008, 49, 453–468. [Google Scholar] [CrossRef]
- Liang, G.; Mudawar, I. Review of spray cooling—Part 1: Single-phase and nucleate boiling regimes, and critical heat flux. Int. J. Heat Mass Transf. 2017, 115, 1174–1205. [Google Scholar] [CrossRef]
- Liang, G.; Mudawar, I. Review of spray cooling–Part 2: High temperature boiling regimes and quenching applications. Int. J. Heat Mass Transf. 2017, 115, 1206–1222. [Google Scholar] [CrossRef]
- Mudawar, I. Recent advances in high-flux, two-phase thermal management. J. Therm. Sci. Eng. Appl. 2013, 5, 021012. [Google Scholar] [CrossRef]
- Fabbri, M.; Jiang, S.; Dhir, V.K. A comparative study of cooling of high power density electronics using sprays and microjets. J. Heat Transf. 2005, 127, 38–48. [Google Scholar] [CrossRef]
- Shedd, T.A. Next generation spray cooling: High heat flux management in compact spaces. Heat Transf. Eng. 2007, 28, 87–92. [Google Scholar] [CrossRef]
- Khandekar, S.; Sahu, G.; Muralidhar, K.; Gatapova, E.Y.; Kabov, O.A.; Hu, R.; Luo, X.; Zhao, L. Cooling of high-power LEDs by liquid sprays: Challenges and prospects. Appl. Therm. Eng. 2021, 184, 115640. [Google Scholar] [CrossRef]
- Yang, J.; Chow, L.C.; Pais, M.R. Nucleate Boiling Heat Transfer in Spray Cooling. J. Heat Transf. 1996, 118, 668–671. [Google Scholar] [CrossRef]
- Xu, R.N.; Wang, G.; Jiang, P. Spray Cooling on Enhanced Surfaces: A Review of the Progress and Mechanisms. J. Electron. Packag. 2021, 144, 010802. [Google Scholar] [CrossRef]
- Sijs, R.; Kooij, S.; Holterman, H.J.; Van De Zande, J.; Bonn, D. Drop size measurement techniques for sprays: Comparison of image analysis, phase Doppler particle analysis, and laser diffraction. AIP Adv. 2021, 11, 015315. [Google Scholar] [CrossRef]
- Zhao, X.; Yin, Z.; Zhang, B.; Yang, Z. Experimental investigation of surface temperature non-uniformity in spray cooling. Int. J. Heat Mass Transf. 2020, 146, 118819. [Google Scholar] [CrossRef]
- Salazar, J.P.; Collins, L.R. Two-particle dispersion in isotropic turbulent flows. Annu. Rev. Fluid Mech. 2009, 41, 405–432. [Google Scholar] [CrossRef] [Green Version]
- Balachandar, S.; Eaton, J.K. Turbulent dispersed multiphase flow. Annu. Rev. Fluid Mech. 2010, 42, 111–133. [Google Scholar] [CrossRef]
- Rani, S.L.; Dhariwal, R.; Koch, D.L. A stochastic model for the relative motion of high Stokes number particles in isotropic turbulence. J. Fluid Mech. 2014, 756, 870–902. [Google Scholar] [CrossRef]
- Dhariwal, R.; Rani, S.L.; Koch, D.L. Stochastic theory and direct numerical simulations of the relative motion of high-inertia particle pairs in isotropic turbulence. J. Fluid Mech. 2017, 813, 205–249. [Google Scholar] [CrossRef]
- Dhariwal, R.; Bragg, A.D. Small-scale dynamics of settling, bidisperse particles in turbulence. J. Fluid Mech. 2018, 839, 594–620. [Google Scholar] [CrossRef] [Green Version]
- Ouellette, N.T.; Xu, H.; Bourgoin, M.; Bodenschatz, E. An experimental study of turbulent relative dispersion models. New J. Phys. 2006, 8, 109. [Google Scholar] [CrossRef]
- Ohta, H. Experiments on microgravity boiling heat transfer by using transparent heaters. Nucl. Eng. Design 1997, 175, 167–180. [Google Scholar] [CrossRef]
- Diao, Y.H.; Zhao, Y.H.; Wang, Q.L. Photographic study of bubble dynamics for pool boiling of refrigerant R11. Heat Mass Transf. 2007, 43, 935–947. [Google Scholar] [CrossRef]
- Garrabos, Y.; Lecoutre, C.; Beysens, D.; Nikolayev, V.; Barde, S.; Pont, G.; Zappoli, B. Transparent heater for study of the boiling crisis near the vapor–liquid critical point. Acta Astronaut. 2010, 66, 760–768. [Google Scholar] [CrossRef]
- Kaiho, K.; Okawa, T.; Enoki, K. Measurement of the maximum bubble size distribution in water subcooled flow boiling at low pressure. Int. J. Heat Mass Transf. 2017, 108, 2365–2380. [Google Scholar] [CrossRef]
- Serdyukov, V.; Malakhov, I.; Surtaev, A. High-speed visualization and image processing of sub-atmospheric water boiling on a transparent heater. J. Vis. 2020, 23, 873–884. [Google Scholar] [CrossRef]
- Jung, S.; Kim, H. An experimental method to simultaneously measure the dynamics and heat transfer associated with a single bubble during nucleate boiling on a horizontal surface. Int. J. Heat Mass Transf. 2004, 73, 365–375. [Google Scholar] [CrossRef]
- Surtaev, A.; Serdyukov, V.; Zhou, J. Pavlenko, A.; Tumanov, V. An experimental study of vapor bubbles dynamics at water and ethanol pool boiling at low and high heat fluxes. Int. J. Heat Mass Transf. 2018, 126, 297–311. [Google Scholar] [CrossRef]
- Surtaev, A.; Serdyukov, V.; Malakhov, I. Effect of subatmospheric pressures on heat transfer, vapor bubbles and dry spots evolution during water boiling. Exp. Therm. Fluid Sci. 2020, 112, 109974. [Google Scholar] [CrossRef]
- Gerardi, C.; Buongiorno, J.; Hu, L.W.; McKrell, T. Study of bubble growth in water pool boiling through synchronized, infrared thermometry and high-speed video. Int. J. Heat Mass Transf. 2010, 53, 4185–4192. [Google Scholar] [CrossRef]
- Serdyukov, V.S.; Surtaev, A.S.; Pavlenko, A.N.; Chernyavskiy, A.N. Study on local heat transfer in the vicinity of the contact line under vapor bubbles at pool boiling. High. Temp. 2018, 56, 546–552. [Google Scholar] [CrossRef]
- Ravichandran, M.; Bucci, M. Online, quasi-real-time analysis of high-resolution, infrared, boiling heat transfer investigations using artificial neural networks. Appl. Therm. Eng. 2019, 163, 114357. [Google Scholar] [CrossRef]
- Voulgaropoulos, V.; Aguiar, G.M.; Bucci, M.; Markides, C.N. Simultaneous Laser-and Infrared-Based Measurements of the Life Cycle of a Vapour Bubble During Pool Boiling. In Advances in Heat Transfer and Thermal Engineering; Wen, C., Yan, Y., Eds.; Springer: Singapore, 2021; pp. 169–173. [Google Scholar] [CrossRef]
- Tanaka, T.; Miyazaki, K.; Yabuki, T. Observation of heat transfer mechanisms in saturated pool boiling of water by high-speed infrared thermometry. Int. J. Heat Mass Transf. 2021, 170, 121006. [Google Scholar] [CrossRef]
- Gao, X.; Kong, L.; Li, R.; Han, J. Heat transfer of single drop impact on a film flow cooling a hot surface. Int. J. Heat Mass Transf. 2017, 108, 1068–1077. [Google Scholar] [CrossRef]
- Gao, X.; Li, R. Impact of a single drop on a flowing liquid film. Phys. Rev. E 2015, 92, 053005. [Google Scholar] [CrossRef] [Green Version]
- Josserand, C.; Thoroddsen, S.T. Drop impact on a solid surface. Annu. Rev. Fluid Mech. 2016, 48, 365–391. [Google Scholar] [CrossRef] [Green Version]
- Kant, P.; Müller-Groeling, H.; Lohse, D. Pattern formation during the impact of a partially frozen binary droplet on a cold surface. Phys. Rev. Lett. 2020, 125, 184501. [Google Scholar] [CrossRef] [PubMed]
- Ersoy, N.E.; Eslamian, M. Phenomenological study and comparison of droplet impact dynamics on a dry surface, thin liquid film, liquid film and shallow pool. Exp. Therm. Fluid Sci. 2020, 112, 109977. [Google Scholar] [CrossRef]
- Yoshida, K.I.; Abe, Y.; Oka, T.; Mori, Y.H.; Nagashima, A. Spray cooling under reduced gravity condition. J. Heat Transf. 2001, 123, 309–318. [Google Scholar] [CrossRef]
- Rini, D.P.; Chen, R.H.; Chow, L.C. Bubble behavior and nucleate boiling heat transfer in saturated FC-72 spray cooling. J. Heat Transf. 2002, 124, 63–72. [Google Scholar] [CrossRef]
- Griffin, A.R.; Vijayakumar, A.; Chen, R.H.; Sundaram, K.B.; Chow, L.C. Development of a transparent heater to measure surface temperature fluctuations under spray cooling conditions. J. Heat Transf. 2008, 130, 114501. [Google Scholar] [CrossRef]
- Mudawar, I.; Estes, K.A. Optimizing and Predicting CHF in Spray Cooling of a Square Surface. J. Heat Transf. 1996, 118, 672–679. [Google Scholar] [CrossRef]
- Mugele, R.A.; Evans, H.D. Droplet size distribution in sprays. Industr. Eng. Chem. 1951, 43, 1317–1324. [Google Scholar] [CrossRef]
- Surtaev, A.; Serdyukov, V.; Malakhov, I.; Safarov, A. Nucleation and bubble evolution in subcooled liquid under pulse heating. Int. J. Heat Mass Transf. 2021, 169, 120911. [Google Scholar] [CrossRef]
- Liang, G.; Mudawar, I. Review of mass and momentum interactions during drop impact on a liquid film. Int. J. Heat Mass Transf. 2016, 101, 577–599. [Google Scholar] [CrossRef]
- Breitenbach, J.; Roisman, I.V.; Tropea, C. From drop impact physics to spray cooling models: A critical review. Exp. Fluids 2018, 59, 1–21. [Google Scholar] [CrossRef]
- Berberović, E.; van Hinsberg, N.P.; Jakirlić, S.; Roisman, I.V.; Tropea, C. Drop impact onto a liquid layer of finite thickness: Dynamics of the cavity evolution. Phys. Rev. E 2009, 79, 036306. [Google Scholar] [CrossRef]
- Liang, G.; Zhang, T.; Chen, L.; Chen, Y.; Shen, S. Single-phase heat transfer of multi-droplet impact on liquid film. Int. J. Heat Mass Transf. 2019, 132, 288–292. [Google Scholar] [CrossRef]
- Cooper, M.G.; Lloyd, A.J.P. The microlayer in nucleate pool boiling. Int. J. Heat Mass Transf. 1969, 12, 895–913. [Google Scholar] [CrossRef]
- Golobic, I.; Petkovsek, J.; Baselj, M.; Papez, A.; Kenning, D.B.R. Experimental determination of transient wall temperature distributions close to growing vapor bubbles. Heat Mass Transf. 2009, 45, 857–866. [Google Scholar] [CrossRef]
- Mudawar, I.; Valentine, W.S. Determination of the local quench curve for spray-cooled metallic surfaces. J. Heat Treat. 1989, 7, 107–121. [Google Scholar] [CrossRef]
- Rybicki, J.R.; Mudawar, I. Single-phase and two-phase cooling characteristics of upward-facing and downward-facing sprays. Int. J. Heat Mass Transf. 2006, 49, 5–16. [Google Scholar] [CrossRef]
- Thome, J.R.; Kim, J. Encyclopedia of Two-Phase Heat Transfer and Flow II: Special Topics and Applications; World Scientific Publishing Co. Pte. Ltd.: Singapore, 2015; pp. 62–79. [Google Scholar] [CrossRef]
- Gogonin, I.I. The dependence of boiling heat transfer on the properties and geometric parameters of heat-transfer wall. High Temp. 2006, 44, 913–921. [Google Scholar] [CrossRef]










Publisher’s Note: MDPI stays neutral with regard to jurisdictional claims in published maps and institutional affiliations. |
© 2021 by the authors. Licensee MDPI, Basel, Switzerland. This article is an open access article distributed under the terms and conditions of the Creative Commons Attribution (CC BY) license (https://creativecommons.org/licenses/by/4.0/).
Share and Cite
Serdyukov, V.; Miskiv, N.; Surtaev, A. The Simultaneous Analysis of Droplets’ Impacts and Heat Transfer during Water Spray Cooling Using a Transparent Heater. Water 2021, 13, 2730. https://doi.org/10.3390/w13192730
Serdyukov V, Miskiv N, Surtaev A. The Simultaneous Analysis of Droplets’ Impacts and Heat Transfer during Water Spray Cooling Using a Transparent Heater. Water. 2021; 13(19):2730. https://doi.org/10.3390/w13192730
Chicago/Turabian StyleSerdyukov, Vladimir, Nikolay Miskiv, and Anton Surtaev. 2021. "The Simultaneous Analysis of Droplets’ Impacts and Heat Transfer during Water Spray Cooling Using a Transparent Heater" Water 13, no. 19: 2730. https://doi.org/10.3390/w13192730
APA StyleSerdyukov, V., Miskiv, N., & Surtaev, A. (2021). The Simultaneous Analysis of Droplets’ Impacts and Heat Transfer during Water Spray Cooling Using a Transparent Heater. Water, 13(19), 2730. https://doi.org/10.3390/w13192730

