Three-Dimensional Numerical Investigation on the Seepage Field and Stability of Soil Slope Subjected to Snowmelt Infiltration
Abstract
1. Introduction
2. Numerical Analysis
2.1. Three-Dimensional Numerical Modeling
2.2. Snowmelt Infiltration
2.3. FE Method with Shear Strength Reduction and Soil Model
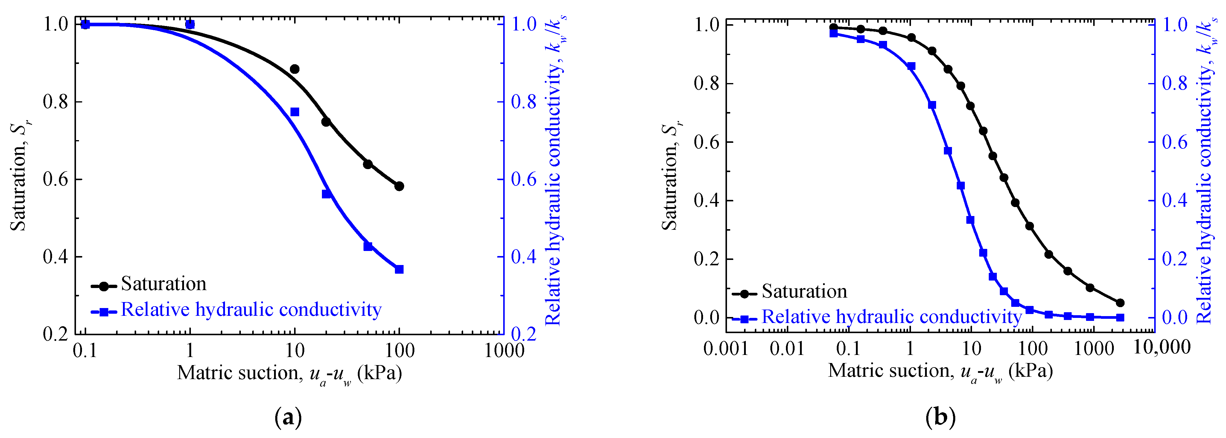
3. Validation of the Numerical Analysis Methodology
4. Snowmelt Infiltration Analysis
5. Parametric Studies
5.1. Effect of Accumulated Snow Depth on Soil Slope Stability
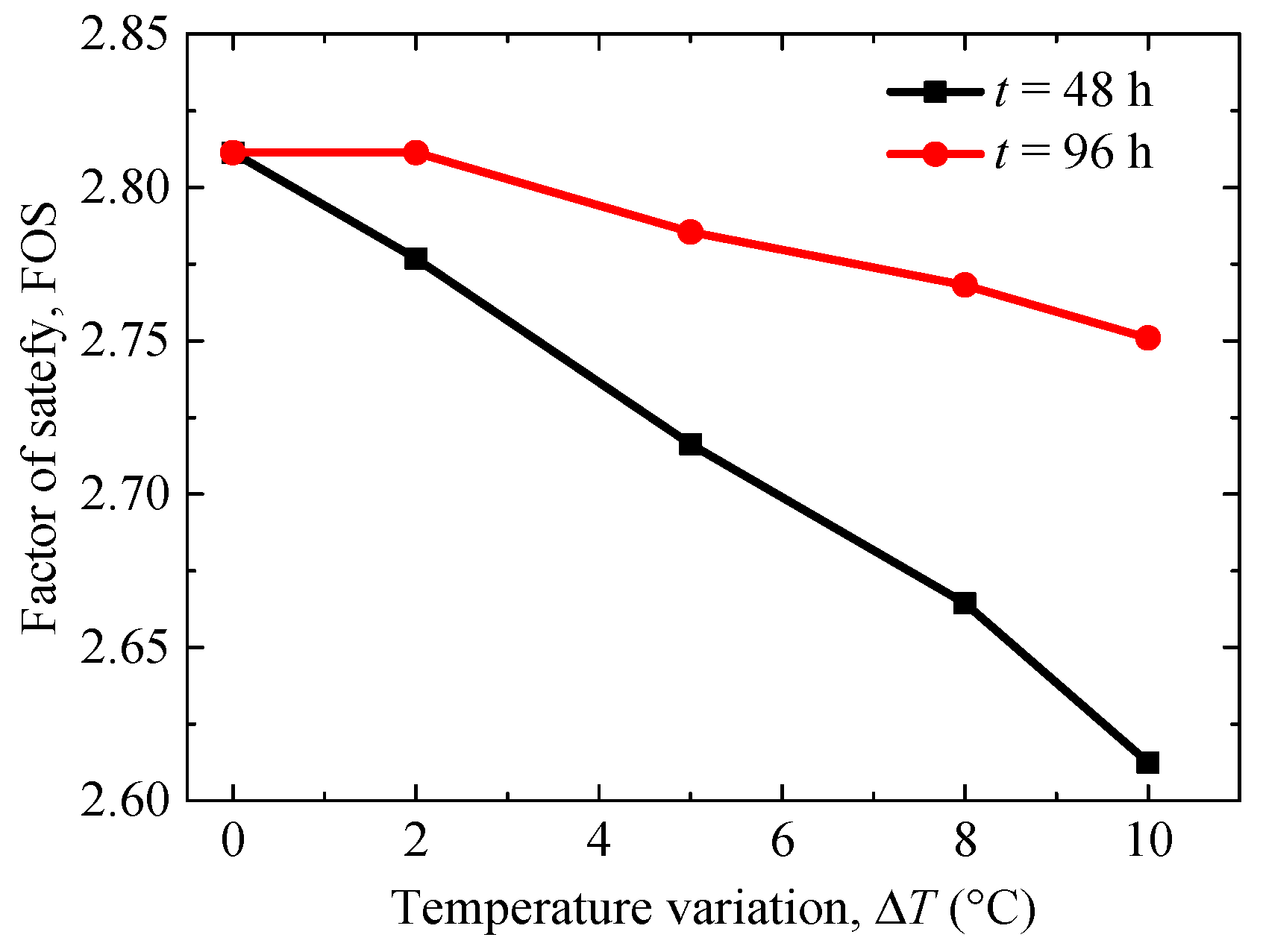
5.2. Effect of Daily Temperature Variation on Soil Slope Stability
5.3. Effect of Freeze-Thaw Cycles on Soil Slope Stability
6. Conclusions
Author Contributions
Funding
Institutional Review Board Statement
Informed Consent Statement
Data Availability Statement
Acknowledgments
Conflicts of Interest
References
- Lu, N.; Wayllace, A.; Oh, S. Infiltration-induced seasonally reactivated instability of a highway embankment near the Eisenhower Tunnel, Colorado, USA. Eng. Geol. 2013, 163, 22–32. [Google Scholar] [CrossRef]
- Ishikawa, T.; Tokoro, T.; Seiichi, M. Geohazard at volcanic soil slope in cold regions and its influencing factors. Jpn. Geotech. Soc. Spec. Pub. 2015, 1, 1–20. [Google Scholar] [CrossRef]
- Trandafir, A.C.; Ertugrul, O.L.; Giraud, R.E.; McDonald, G.N. Geomechanics of a snowmelt-induced slope failure in glacial till. Environ. Earth Sci. 2015, 73, 3709–3716. [Google Scholar] [CrossRef]
- Osawa, H.; Matsuura, S.; Matsushi, Y.; Okamoto, T. Seasonal change in permeability of surface soils on a slow-moving landslide in a heavy snow region. Eng. Geol. 2017, 221, 1–9. [Google Scholar] [CrossRef]
- Siva Subramanian, S.; Ishikawa, T.; Tokoro, T. Stability assessment approach for soil slopes in seasonal cold regions. Eng. Geol. 2017, 221, 154–169. [Google Scholar] [CrossRef]
- Siva Subramanian, S.; Ishikawa, T.; Tokoro, T. An early warning criterion for the prediction of snowmelt-induced soil slope failures in seasonally cold regions. Soils Found. 2018, 58, 582–601. [Google Scholar] [CrossRef]
- Miao, F.S.; Wu, Y.P.; Li, L.W.; Liao, K.; Zhang, L.F. Risk assessment of snowmelt-induced landslides based on GIS and an effective snowmelt model. Nat. Hazards 2019, 97, 1151–1173. [Google Scholar] [CrossRef]
- Weidner, L.; DePrekel, K.; Oommen, T.; Vitton, S. Investigating large landslides along a river valley using combined physical, statistical, and hydrologic modeling. Eng. Geol. 2019, 259, 105169. [Google Scholar] [CrossRef]
- Liu, J.; Wang, T.; Tian, Y. Experimental study of the dynamic properties of cement-and lime-modified clay soils subjected to freeze-thaw cycles. Cold Reg. Sci. Technol. 2010, 61, 29–33. [Google Scholar] [CrossRef]
- Tang, L.; Cong, S.Y.; Ling, X.Z.; Xing, W.Z.; Nie, Z. A unified formulation of stress-strain relations considering micro-damage for expansive soils exposed to freeze-thaw cycles. Cold Reg. Sci. Technol. 2018, 153, 164–171. [Google Scholar] [CrossRef]
- Zhang, S.; Sheng, D.; Zhao, G.; Niu, F.; He, Z. Analysis of frost heave mechanisms in a high-speed railway embankment. Can. Geotech. J. 2015, 53, 520–529. [Google Scholar] [CrossRef]
- Xiang, D. Study on the Failure Mechanism and Control Technology of Deep Cutting Slope Located on High-Cold Area. Master’s Thesis, Southwest Jiaotong University, Chengdu, China, 2017. [Google Scholar]
- Chang, Z.L.; Huang, F.M.; Huang, J.S.; Jiang, S.H.; Zhou, C.B.; Zhu, L. Experimental study of the failure mode and mechanism of loess fill slopes induced by rainfall. Eng. Geol. 2020, 280, 105941. [Google Scholar] [CrossRef]
- Marin, R.J.; García, E.F.; Aristizábal, E. Effect of basin morphometric parameters on physically-based rainfall thresholds for shallow landslides. Eng. Geol. 2020, 278, 105855. [Google Scholar] [CrossRef]
- Sarma, C.P.; Dey, A.; Krishna, A.M. Influence of digital elevation models on the simulation of rainfall-induced landslides in the hillslopes of Guwahati, India. Eng. Geol. 2020, 268, 105523. [Google Scholar] [CrossRef]
- Yeh, P.T.; Lee, K.Z.; Chang, K.T. 3D Effects of permeability and strength anisotropy on the stability of weakly cemented rock slopes subjected to rainfall infiltration. Eng. Geol. 2020, 266, 105459. [Google Scholar] [CrossRef]
- Zhang, J.; Zhu, D.; Zhang, S.H. Shallow slope stability evolution during rainwater infiltration considering soil cracking state. Comput. Geotech. 2020, 117, 103285. [Google Scholar] [CrossRef]
- Kimura, T.; Katsura, S.; Maruyama, K.; Ishida, K. Topographic features of source and transfer-deposition areas of long-travelling landslides induced by snowmelt. J. Jpn. Landslide Soc. 2016, 53, 31–42. [Google Scholar] [CrossRef][Green Version]
- Lu, Y.; Liu, S.H.; Weng, L.P.; Wang, L.J.; Li, Z.; Xu, L. Fractal analysis of cracking in a clayey soil under freeze-thaw cycles. Eng. Geol. 2016, 208, 93–99. [Google Scholar] [CrossRef]
- Cong, S.Y. Deformation Characteristics and Sliding Mechanism during Spring Thaw Period for Expansive Soil Slope in Alpine Seasonally Frozen Region. Ph.D. Thesis, Harbin Institute of Technology, Harbin, China, 2020. [Google Scholar]
- Oh, S.; Lu, N. Slope stability analysis under unsaturated conditions: Case studies of rainfall-induced failure of cut slopes. Eng. Geol. 2015, 184, 96–103. [Google Scholar] [CrossRef]
- Bilgin, Ö. Lateral earth pressure coefficients for anchored sheet pile walls. Int. J. Geomech. 2012, 12, 584–595. [Google Scholar] [CrossRef]
- Tang, L.; Cong, S.Y.; Xing, W.Z.; Ling, X.Z.; Geng, L.; Nie, Z.; Gan, F.D. Finite element analysis of lateral earth pressure on sheet pile walls. Eng. Geol. 2018, 244, 146–158. [Google Scholar] [CrossRef]
- Koltuk, S.; Azzam, R. Design charts for circular-shaped sheeted excavation pits against seepage failure by heave. Period. Polytech. Civ. Eng. 2016, 60, 421–426. [Google Scholar] [CrossRef]
- Shaghaghi, T.; Ghadrdan, M.; Tolooiyan, A. Effect of rock mass permeability and rock fracture leak-off coefficient on the pore water pressure distribution in a fractured slope. Simul. Model. Pract. Theory 2020, 105, 102167. [Google Scholar] [CrossRef]
- Fredlund, D.G.; Xing, A.Q. Equations for the soil-water characteristic curve. Can. Geotech. J. 1994, 31, 533–546. [Google Scholar] [CrossRef]
- Leong, E.C.; Rahardjo, H. Review of soil-water characteristic curve equations. J. Geotech. Geoenviron. Eng. 1997, 123, 1106–1117. [Google Scholar] [CrossRef]
- Leong, E.C.; Rahardjo, H. Permeability functions for unsaturated soils. J. Geotech. Geoenviron. Eng. 1997, 123, 1118–1126. [Google Scholar] [CrossRef]
- Diakoumi, M.; Powrie, W. Mobilisable strength design for flexible embedded retaining walls. Geotechnique 2013, 63, 95–106. [Google Scholar] [CrossRef]
- Qi, S.C.; Vanapalli, S.K. Hydro-mechanical coupling effect on surficial layer stability of unsaturated expansive soil slopes. Comput. Geotech. 2015, 70, 68–82. [Google Scholar] [CrossRef]
- Bahrami, M.; Khodakarami, M.I.; Haddad, A. 3D numerical investigation of the effect of wall penetration depth on excavations behavior in sand. Comput. Geotech. 2018, 98, 82–92. [Google Scholar] [CrossRef]
- Tan, H.; Jiao, Z.; Chen, J. Field testing and numerical analysis on performance of anchored sheet pile quay wall with separate pile-supported platform. Mar. Struct. 2018, 58, 382–398. [Google Scholar] [CrossRef]
- Sumio Matsuura. Difficulties in predicting snow-induced landslides. J. Jpn. Landslide Soc. 1998, 34, 39–46. [Google Scholar]
- Iwata, Y.; Nemoto, M.; Hasegawa, S.; Yanai, Y.; Kuwao, K.; Hirota, T. Influence of rain, air temperature, and snow cover on subsequent spring-snowmelt infiltration into thin frozen soil layer in northern Japan. J. Hydrol. 2011, 401, 165–176. [Google Scholar] [CrossRef]
- Kazama, S.; Izumi, H.; Sarukkalige, P.R.; Nasu, T.; Sawamoto, M. Estimating snow distribution over a large area and its application for water resources. Hydrol. Process. 2008, 22, 2315–2324. [Google Scholar] [CrossRef]
- Qian, X.H.; Rong, G.; Huang, K. Seepage and stability analysis of slope under the condition of snowmelt infiltration. Chin. J. Geol. Hazard Control 2010, 21, 27–33. [Google Scholar]
- Cai, F.; Ugai, K. Numerical analysis of rainfall effects on slope stability. Int. J. Geomech. 2004, 4, 69–78. [Google Scholar] [CrossRef]
- Vanapalli, S.K.; Fredlund, D.G.; Pufahl, D.E.; Clifton, A.W. Model for the prediction of shear strength with respect to soil suction. Can. Geotech. J. 1996, 33, 379–392. [Google Scholar] [CrossRef]
- Singh, P.; Kumar, N.; Arora, M. Degree-day factors for snow and ice for Dokriani Glacier, Garhwal Himalayas. J. Hydrol. 2000, 235, 1–11. [Google Scholar] [CrossRef]




















| Type | Parameter | Sity Clay | Sandstone | 
|---|---|---|---|
| Strength | c′ (kPa) | 15.75 | 1 | 
| φ′ (°) | 23.5 | 38 | |
| γsat (kN/m3) | 19 | 20.5 | |
| Deformation | E (MPa) | 16 | 46 | 
| µ | 0.3 | 0.25 | |
| Hydromechanical | ks (m/s) | 1.73 × 10−6 | 10−4 | 
| θs (%) | 53 | 45 | |
| a (kPa) | 28 | 10 | |
| p | 4.7 | 4 | |
| m | 1 | 1 | |
| n | 1 | 1 | 
| Type | Parameter | Pohang Soil | 
|---|---|---|
| Strength | c′ (kPa) | 0 | 
| φ′ (°) | 31.6 | |
| γave (kN/m3) | 18.03 | |
| Deformation | E (kPa) | 2 × 106 | 
| v | 0.333 | |
| Hydromechanical | ks (m/s) | 3.46 × 10−6 | 
| θs | 0.398 | |
| θr | 0.12 | |
| ub (kPa) | 27.93 | |
| n | 1.10 | 
| Publisher’s Note: MDPI stays neutral with regard to jurisdictional claims in published maps and institutional affiliations. | 
© 2021 by the authors. Licensee MDPI, Basel, Switzerland. This article is an open access article distributed under the terms and conditions of the Creative Commons Attribution (CC BY) license (https://creativecommons.org/licenses/by/4.0/).
Share and Cite
Cong, S.; Tang, L.; Ling, X.; Xing, W.; Geng, L.; Li, X.; Li, G.; Li, H. Three-Dimensional Numerical Investigation on the Seepage Field and Stability of Soil Slope Subjected to Snowmelt Infiltration. Water 2021, 13, 2729. https://doi.org/10.3390/w13192729
Cong S, Tang L, Ling X, Xing W, Geng L, Li X, Li G, Li H. Three-Dimensional Numerical Investigation on the Seepage Field and Stability of Soil Slope Subjected to Snowmelt Infiltration. Water. 2021; 13(19):2729. https://doi.org/10.3390/w13192729
Chicago/Turabian StyleCong, Shengyi, Liang Tang, Xianzhang Ling, Wenqiang Xing, Lin Geng, Xinyu Li, Guoyu Li, and Hui Li. 2021. "Three-Dimensional Numerical Investigation on the Seepage Field and Stability of Soil Slope Subjected to Snowmelt Infiltration" Water 13, no. 19: 2729. https://doi.org/10.3390/w13192729
APA StyleCong, S., Tang, L., Ling, X., Xing, W., Geng, L., Li, X., Li, G., & Li, H. (2021). Three-Dimensional Numerical Investigation on the Seepage Field and Stability of Soil Slope Subjected to Snowmelt Infiltration. Water, 13(19), 2729. https://doi.org/10.3390/w13192729
 
         
                                                

 
       