Abstract
Eco-friendly showers aim to lower energy and water consumption by generating smaller water droplets than those produced by traditional systems. To evaluate the risk of users inhaling the contaminants associated with such water droplets—namely, chemical components or opportunistic bacterial pathogens such as Legionella—we modeled the behavior of water droplets aerosolized by water-atomization technology at a flow rate of 2.2 L/min and compared the results obtained using this model with those determined experimentally in a typical shower stall. Additionally, we monitored the number and mass of inhalable water droplets emitted by twelve showerheads—eight using water-atomization technology and four using continuous-flow technology—which have distinct characteristics in terms of water flow rate, water pressure, spray angle, and number of and diameter of nozzles. The water-atomizing showers tested not only had lower flow rates, but also larger spray angles, less nozzles, and larger nozzle diameters than those of the continuous-flow showerheads. We observed a difference in the behavior of inhalable water droplets between the two technologies, both unobstructed and with the presence of a mannequin. The evaporation of inhalable water droplets emitted by the water-atomization showers favored a homogenous distribution in the shower stall. In the presence of the mannequin, the number and mass of inhalable droplets increased for the continuous-flow showerheads and decreased for the water-atomization showerheads. The water-atomization showerheads emitted less inhalable water mass than the continuous-flow showerheads did per unit of time; however, they generally emitted a slightly higher number of inhalable droplets (1.6 times more), including those large enough to carry a bacterium each—only one model performed as well as the continuous-flow showerheads in this regard. Further experiments are needed to assess whether this slight increase in the number of inhalable water droplets increases the biological risk.
1. Introduction
Showering represents the largest inhalation exposure to volatile and aerosolized components of water—bioaerosols, metals, and chemical contaminants, e.g., disinfection by-products (DPBs)—in daily life [1,2]. Depending on the nature and concentration of contaminants, both acute and chronic effects of their inhalation have been reported. Long-term daily exposure to high levels of DPBs (e.g., trihalomethanes (THM)) is known to increase the risk of developing cancer [3], and such levels are regularly reported in the literature [4,5]. Consequently, the level of these contaminants in tap water needs to be controlled via regulation, and particular attention must be paid in places where inhalation exposure is significant, e.g., places with low ventilation rates and high shower frequency. Other water contaminants can affect health after short-term exposure alone. Thus, while endotoxins commonly aerosolized in showers are rarely of sufficient concentration to impact human health [6], the inhalation of water aerosols containing opportunistic bacterial pathogens (OBPs)—including, among others, Legionella pneumophila, nontuberculous Mycobacteria, and Pseudomonas aeruginosa—during routine showering has been regularly implicated in life-threatening respiratory infections [7,8,9]. Legionella pneumophila in particular can cause the serious and life-threatening pneumonia Legionnaires’ disease (LD), which often requires hospitalization and is fatal in 5% to 10% of patients, despite antibiotic treatment. The incidence of LD has continuously increased worldwide since 1996 [10,11,12,13], which warns of the potentially mundane origin of this phenomenon. While the microorganisms responsible are naturally present in almost all aqueous media, they prefer to install and form biofilms in water pipe systems in which water stagnates, particularly where the water temperature is between 20° and 45 °C. Under such conditions, they can reach sufficiently high numbers that—when detached from biofilm, carried by the water flow, and aerosolized, e.g., during showering—they represent a risk of infection to the user.
Over recent years, drastic changes in shower spray patterns have also been shown to save water, potentiating energy savings by decreasing the need for water heating and thus reducing carbon emissions [14,15,16]. Showerheads with water-atomization technology—capable of flow rates of less than 3 L/min—have been proposed to replace traditional continuous-flow showerheads. These new technologies reduce the water droplets emitted to a size which, when coupled with the evaporation rate induced by the ambient air temperature and humidity, may increase the risk of inhaling bioaerosols and other contaminants associated with water droplets. Nevertheless, while the main parameters usually correlated with droplet size—jet velocity, jet size (through the jet Weber number, We), and the half-jet impingement angle—were described previously [17], scarce data on those which may affect the inhalable fraction have been reported, making it difficult to predict which type of spray poses the greatest risk to human health. An large decrease in water droplet size was shown to occur until We~100–150 [18]. For larger We values, the average droplet size stabilizes at around 1 mm, regardless of the impingement angle and the number of jets. Thus, when the evaporation rate of drops is considered, the number of inhalable droplets (≥10 μm) is expected to increase with We value. Consequently, evaporation droplet dynamics might change the distribution of the inhalable water droplets within the shower stall when compared with that predicted for continuous-flow technology, which may impact the user’s exposure. Therefore, there is a need to assess the risk of showering with water-efficient showerheads by taking into account the specificities of this technology. The accumulated knowledge on continuous-flow technology greatly assists in the targeting of features that are comparable between the two technologies. Indeed, the number of inhalable droplets emitted while showering with a continuous-flow showerhead was shown to increase with the water flow rate [19]. It is of interest to determine what impacts fluctuations in the flow rate of water-atomizing showerheads—which can vary between 2.2 and 5.5 L/min—have on aerosol emissions. Another factor that was predicted to influence the number of particles emitted was the presence or absence of a mannequin to mimic the user’s presence. For the continuous-flow showerheads, the presence of a mannequin increased the number of inhalable droplets reaching the user’s nose by shattering the water droplets into smaller secondary droplets via splashing [20]. This phenomenon may be limited with water-atomizing showerheads, which are hypothesized to emit droplets too small to be shattered.
The purposes of the present study were first, to model the behavior of water droplets emitted by water-efficient shower systems with respect to the volume of the shower cabin; second, to compare the results obtained using this model with those determined experimentally in a typical shower stall; and third, to identify which water-atomizing showerhead characteristics struck the best balance among energy use, water consumption, and human health.
2. Materials and Methods
2.1. The Model of Water Droplet Dynamics in a Volume Considered in the Present Study
The process of spherical droplet evaporation is widely documented. The model applied here [21] took into consideration both evaporation and condensation—the two main processes that influence droplet size after their emission by a source such as a showerhead—but neglected inter-droplet interactions. The mathematical model written in Equation (1) [22] illustrates the dependence of the droplets’ evaporation rate on the relative humidity, the particle density, and the droplets’ temperature:
where φ is the relative humidity, Ni is the number of droplets with aerodynamic diameter ri, and Pv″ is the vapor pressure.
Since the evaporation process can be interrupted when droplets reach a wall, we applied the one-box model to determine the evolution over time of the temperature and humidity in a particular volume. Reinke and Keil [23] provided an overview of the model, presenting its assumptions and limitations. The one-box model is described by the equation:
in which Din and Dout are, respectively, the incoming and outgoing airflow rate of the cabin, c is the concentration of the vapor, and Vol is the volume of the cabin.
The one-box model simply states that the source term equals the loss term of the ventilation system. The concentration (i.e., the relative humidity) will be equal for shower cabins of different volumes only if S/Dout is the same. Thus, the volume does not explicitly influence the steady state concentration, but does change the transient conditions.
To determine the outflow rate, the source term must be determined separately for systems with different volumes. This can be achieved either mathematically or experimentally. Mathematically, the source term for the vapor depends on the relative humidity, the particle density, and on the droplets’ temperature according to the equation:
If the air temperature and relative humidity are the same for systems of different volumes, the source term depends only on the number and size distribution of droplets. The distribution and density of droplets depend on the shower system (geometry, pressure, and flow rate), but also on the size of the droplet cone produced. Indeed, a larger cone (i.e., a larger spray angle) implies a higher total number of droplets and a longer time required for evaporation. Additionally, the airflow might change due to a larger momentum transfer from droplets to the air. These considerations led us to develop a system in which the spatial profile of the droplet density could be determined.
2.2. Estimating Exposure with the Evaporation Model
The evaporation model was applied to determine the evolution of inhalable droplets that were emitted by for a showerhead using the water-atomization technology at a water flow rate of 2.2 L/min, according to a relative temperature of 300 K (26.85 °C) and a falling distance of 2 m (distance between the showerhead and the ground). The droplets were predicted to evaporate completely or partially depending on their size, the distance to the closest wall (assuming no evaporation occurs thereafter), the relative humidity, and the temperatures of both the air and the water exiting the showerhead. The droplet size distribution by volume was assumed to be log-normal with a mode at 80 µm and a GSD of 2. The volume associated with a particular droplet size corresponded to the total volume of water occupied by all droplets of that size. To determine the corresponding number of droplets, this total volume was divided by the volume of a droplet of diameter D, assuming a spherical shape. To obtain realistic numbers, the distribution was multiplied by a normalizing factor determined by equating the total mass rate of water droplets to the water mass flow rate. As each droplet travels a certain distance before either being evaporated completely or reaching a wall, the duration of this travel or fall time was calculated considering its initial velocity upon exiting the nozzle and assuming viscous drag and gravity as the only forces acting on the droplet. The initial velocity was calculated using the mass conservation equation and the flow rate of the shower system.
According to this fall time, the amount of water evaporated and the heat transferred to the surrounding gas were computed for each droplet size. The total amount of water vapor and the heat transferred for all droplets of a certain diameter were then obtained by multiplying these figures by the number of droplets in that size interval. The overall vapor and heat source were then computed by summing the contributions from all droplet sizes.
Experimentally, spatial variations in the density of droplets were determined in an experimental shower stall, which allowed restriction of the total volume of the shower and varying the placement of the showerhead, either vertically or horizontally.
2.3. The Shower Stall
The shower stall—of maximum dimensions 2.1 m long × 1.5 m wide × 2.5 m high—was equipped with a mechanical extraction ventilation system and connected to a drinking water supply system, and to the building’s water-heating system. The hardness of the water ranged between 1.8 and 2.0 mmol/L CaCO3. The front opening was fully closed with an acrylic door. To protect the air monitoring instruments from splashing and to maintain the air moisture low enough for their proper functioning (i.e., below 80%), a 1 m × 2 m Plexiglas separator with a nose-shaped opening was built between the bathroom extraction fan and the shower arm, reducing the experimental shower stall volume to 5.6 m3 (1.5 m × 1.5 m × 2.5 m). A regular mannequin (1.7 m high) could be placed within (Figure 1). The water was aimed at the top of its head from a distance of 0.2 m.
Figure 1.
A schematic representation of the experimental shower stall showing the locations of sampling instruments and the air-extraction system (black hole).
2.4. Experimental Design
The number and mass of inhalable water droplets generated during showering were monitored for eight distinct showerheads using water-atomization technology, and four using continuous-flow technology. All of these showerheads differed in at least one of the following characteristics: flow rate, spray angle, nozzle diameter, number of nozzles, or water pressure. They were chosen in order to cover the diverse characteristics of showerheads either available or soon to be available on the market. Indeed, the design of water-efficient showerheads must make compromises between the characteristics needed to save water (a low water flow rate) and those that provide user satisfaction (the force of impact of water on the skin, body coverage, and rinsing efficiency for the removal of soap). Thus, poor spray distribution, intensity, and heat retention must be avoided in order to guarantee the quality of the showering experience [24]. If users are not satisfied, they may turn away from water-atomizing technology and return to continuous-flow showerheads. Water-atomization technology meets these expectations by using a water flow of between 2.2 and 5.5 L/min and a water pressure of 1.8 to 10.0 bars; and it provides the ability to adjust the spray angle and the number of nozzles and their diameter. The specifications of each showerhead used in the present study are indicated in Table 1.
Table 1.
Characteristics of the showerheads tested, ranked by water flow rate.
The aerosols were sampled with a GRIMM 1.109 real-time particle monitor (GRIMM Aerosol Technik GmbH & Co. KG, Ainring, Germany) placed 45 cm from the water-atomization showerheads and 65 cm from the continuous-flow showerheads. When a mannequin was placed below the showerhead, the distance between the mannequin’s nose and the showerhead was the same as that between the sampler and the showerhead. Five showering events were systematically performed for each experimental condition studied. The sampling instruments were switched on 5 min before each showering event. Each showering event ran for 10 min with a controlled hot water temperature of 40 °C to achieve a temperature on the mannequin’s torso of 37 °C. A 10-min delay was respected between showering events to allow the room temperature and relative humidity to return to baseline values. The air temperature and relative humidity were measured with a Testo type 174H.
2.5. Validation of Aerosol Monitoring
The GRIMM 1.109 can count particles ranging from 0.25 to 32.00 µm in environments with a relative humidity of up to 60%. Relative humidity of 90–100%, as can be observed in a shower stall after a few minutes of showering, could induce condensation on the optical system of such a monitor. To avoid such an effect, the aerosols were sampled through a tubing system and diluted by half with air from outdoors. To validate that such a modification did not affect the number of droplets detected, we compared the results obtained in this way with the GRIMM 1.109 to those obtained with two other sampling instruments—a Coriolis μ (Bertin Instruments) and an 8-stage Andersen Cascade Impactor—for one model of water-saving showerhead (2.2 L/min) using water spiked with 40 g/L of NaCl. The Coriolis μ is a cyclonic system capable of collecting particles of size 0.5 to 20 μm from large air volumes (300 L/min in the present study) and concentrating them in a liquid sample (10 mL of Milli-Q deionized water here). The 8-stage Andersen is a cascade impactor that collected particles depending on their size in 8 distinct stages on nylon filters of 47 mm diameter at a rate of 28 L/min, which were subsequently rinsed with 5 mL of Milli-Q deionized water. All samples were analyzed by ionic chromatography (ICS-5000 + DP, Thermo Fisher, Basel, Switzerland) for their Cl– ion content. The limit of detection of the method was 6 µg/L, and the limit of quantification was 20 µg/L. Considering the different collection efficiencies of these instruments, the results obtained (Coriolis 0.78 g/m3, Andersen: 1.14 g/m3, and GRIMM: 2.58 g/m3) can be considered as similar. Thus, this method of use for the GRIMM sampler in a wet environment was validated for further monitoring.
2.6. Experimental Data Analysis
The GRIMM 1.109 gives data in particles/L for 31 size channels (between 0.25 and 32 μm) and in μg/m3 for PM10, PM2.5, and PM1. As the penetration efficiency of particles in human lung depends on their aerodynamic diameter, those smaller than 10 μm in diameter are usually considered to be inhalable. Thus, we considered the PM10 in μg/m3 to compare the water volume that might be inhaled during showering under different showerheads. To determine the number of particles/L inhaled, we pooled the data provided by the instrument for the channels between 0.25 and 10.00 μm and called this range PM10 (particles/L). Based on current knowledge of the aerodynamic sizes of airborne bacteria [25], we considered particles with an aerodynamic diameter of between 1 and 10 μm as large enough to carry bacteria, and small enough to penetrate the airways. To calculate their number, we pooled the data provided by the instrument for the channels between 1 and 10 μm and called this range PM1–PM10 (particles/L).
Descriptive statistics (means with standard deviations (SD)) were used to describe the inhalable fractions (particles or mass) in the presence or absence of the mannequin. The non-parametric Wilcoxon Mann–Whitney U test was performed to compare outcomes between two independent groups (e.g., in the presence/absence of the mannequin). Multivariate regression analysis was used to determine the contribution of each showerhead characteristic—the water technology (water-atomizing or continuous-flow), the water flow rate, the nozzle diameter, the number of nozzles, the spray angle, and the water pressure—to the emission of inhalable water droplets. The real-time variations in the number and mass of inhalable particles PM10 or PM1–PM10 are illustrated with box plots. All analyses were carried out using STATA 14 software (StataCorp LLC., College Station, TX, USA).
3. Results
3.1. Model Prediction for the Effect of Evaporation on the Number of Inhalable Droplets
Considering the diversity of shower use cases and shower cabin characteristics (e.g., the shower duration, the distance between the showerhead and the user’s nose, air temperature and humidity, cabin size, and ventilation) the question arises as to how exposure to inhalable particles and droplets can be influenced. The computation predicted that a water-atomizing showerhead with a flow rate of 2.2 L/min generates 211.8 × 106 inhalable water droplets per second. This number increased with the distance traveled by droplets and doubled at the maximum distance considered of 2 m when the relative humidity (RH) was 90%. It increased further when the RH was below 90%. There was one extreme result of 909.6 × 106 inhalable water droplets per second for an RH of 40%. Nevertheless, in all cases considered, a large proportion of inhalable droplets were smaller than 1 µm (63% for an RH of 90% and 98% for an RH of 40%).
To better understand the effect of evaporation on the droplet size distribution, we provide an example in Figure 2 which illustrates that droplets smaller than 40 µm completely evaporated before they reach ground (2 m) at relative humidities of up to 90%. Droplets larger than 40 µm fell 2 m before complete evaporation. Thus, the evaporation effect has an important consequence on the number of inhalable droplets that might carry bacteria. Droplets each caring a bacterium whose size is initially too large to be inhaled might evaporate to an inhalable size, thus making the bacterium itself potentially inhalable.
Figure 2.
An example of the evolution of the droplet size distribution due to evaporation for relative humidity Φ = 0.9, air temperature T = 300 K, and water flow rate = 2.2 L/min. The blue curve illustrates the number of droplets of each size emitted by the showerhead, and the red curve shows the number of droplets of each size that the model predicted at a distance of 2 m from the showerhead. The red rectangle highlights the pronounced evaporation effect on water droplets with a starting diameter of 10 µm.
3.2. Distributions of Inhalable Droplets in the Shower Stall
The distribution of the aerodynamic size of the inhalable water droplets emitted by a water-atomizing showerhead in a stall of known volume predicted by the mathematical model was validated experimentally.
While the one-box model under a well-mixed assumption predicted an increase in the relative humidity of 47% and an increase in the air temperature of approximately 1 °C, we observed experimentally that the relative humidity rose by 32% and the air temperature rose by 1.2 °C. Thus, our model seems to have correctly predicted the global evolution of the air humidity and temperature inside the shower stall. The overvaluation of the relative humidity by the one-box model indicates an overall overvaluation of the source term. This could be explained by the choice of the droplet size distribution and/or the contribution of the splashing on the mannequin, which were neglected in the mathematical model. In spite of this exception, the model predicted the evaporation effect reasonably well, resulting in droplets of an inhalable size.
The experiments run with water-atomizing showerheads also demonstrated a reasonably homogenous distribution of inhalable droplets in the stall, at least to a vertical distance of 59 cm and a radial distance of 8 cm from the emission source (Figure A1). Differences in the distribution of the water droplets were noticed only at very close proximity to the showerhead (less than 5 cm; Figure A1).
3.3. Influences of Showerhead Characteristics on the Number of Inhalable Droplets
There are major differences between the water-atomizing and continuous-flow showerheads. Water-atomizing showers require a larger spray angle and higher water pressure than continuous-flow showers do to provide the same showering experience to users. Moreover, to reduce water flow, they must decrease the number of nozzles and increase the nozzle diameter. In light of this, we first confirmed that these differences were well represented by the models tested in the present study. We found a negative correlation between nozzle diameter and flow rate (Coef = −0.10) and a positive correlation between the number of nozzles and the flow rate (Coef = 17.40), as expected.
Next, we determined the contribution of each showerhead characteristic to the emission of inhalable water droplets (Table 2). An increase in the spray angle and a reduction in the flow rate were the shower characteristics that best explained increases in PM10 mass emission during a showering event. In contrast, a reduction in the flow rate and an increase in water pressure were the characteristics that best explained an increase in the number of inhalable droplets (PM10 (particles/L)). Interestingly, the number of nozzles seems to be a major contributor to increasing the emission of inhalable particles large enough to carry bacteria (PM1–PM10 (particles/L)).
Table 2.
Multivariable regression results (Coef; R2) illustrating the influences of major showerhead characteristics on the PM fractions generated during showering in the presence or absence of a mannequin.
The presence of a mannequin in the shower stall drastically modified the number and mass of the inhalable droplets emitted by both shower technologies, but in different ways. While the mass of inhalable droplets increased in the presence of the mannequin during showering events with a continuous-flow showerhead, it decreased when a water-atomizing showerhead was used. Similarly, the number of inhalable droplets increased when a continuous-flow showerhead was used in the presence of the mannequin, although no significant modification was observed when a water-atomization showerhead was used (Table 3).
Table 3.
Mass and number of inhalable particles emitted during a showering event in the presence or absence of a mannequin.
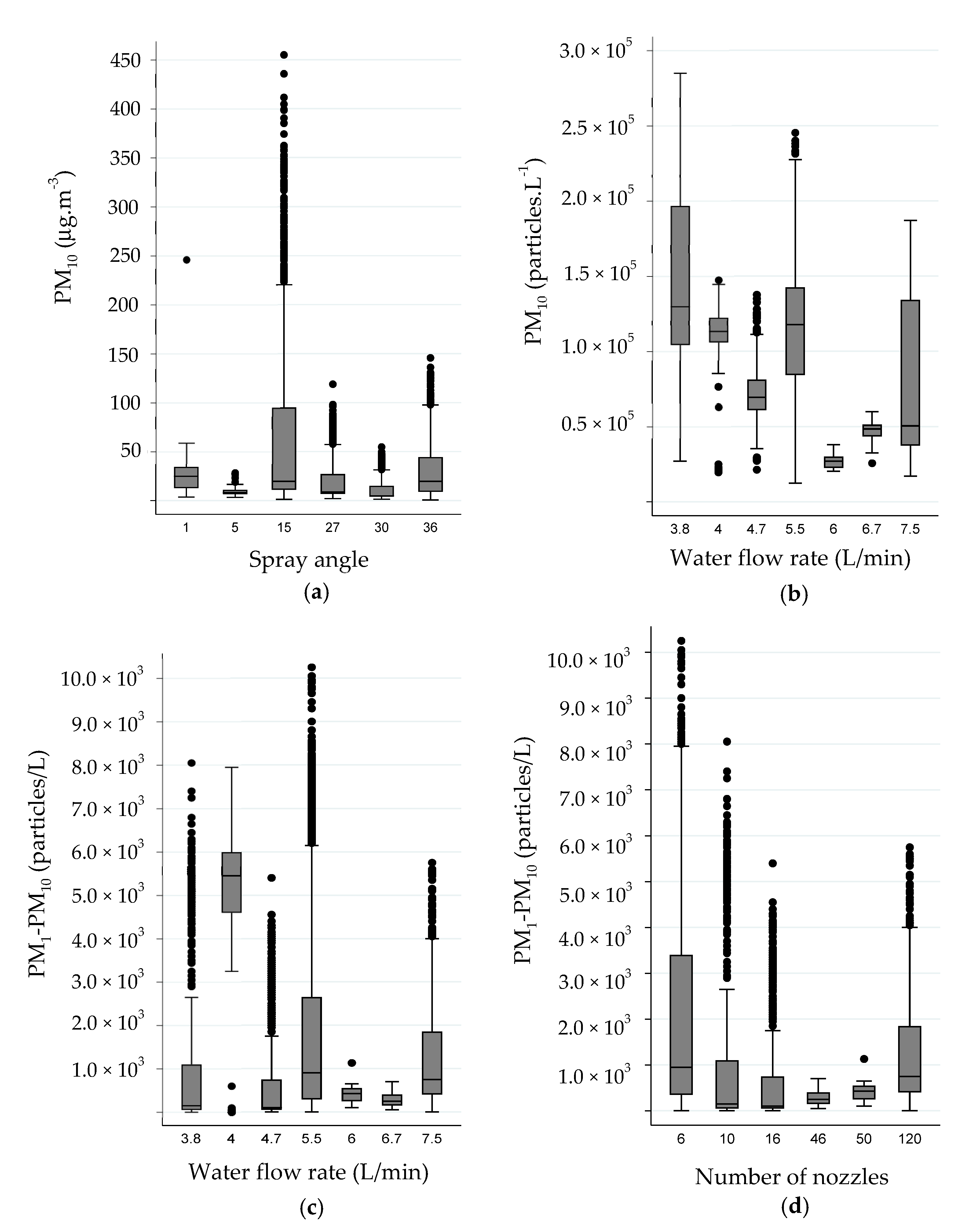
Nonetheless, even in the presence of the mannequin, the water-atomization showerheads still emitted, on average, more inhalable particles than the continuous-flow showerheads did, including those large enough to carry a bacterium. In the presence of the mannequin, the inhaled water mass was reasonably consistent among the water-atomization showers (Table 3, Figure 3); however, the number of inhalable particles—in particular those that may carry bacteria—varied depending on the flow rate and the number of nozzles (Figure 3). The water-atomization shower that emitted the fewest particles and lowest water mass in the presence of the mannequin was that with a flow rate of 4.7 L/min, 16 nozzles, and a spray angle of 30 degrees.
Figure 3.
Emission of inhalable particles or water mass in the presence of a mannequin with respect to the spray angle (a); the water flow rate (versus PM10) (b); the water flow rate (versus PM1–PM10) (c); and the number of nozzles (d). The showers using water-atomization technology were those with a water flow rate of 3.8 to 5.5 L/min, a number of nozzles between 6 and 16, and a spray angle of 27 to 36 degrees. The showers using continuous-flow technology were those with a water flow rate of 6.0 to 7.5 L/min, a number of nozzles between 46 and 120, and a spray angle of 1 to 15 degrees.
4. Discussion
Water-atomization showerheads are the most prevalent water-efficient showerheads on the market. To assess the risk of exposure during their usage, we applied the evaporation model to the most economical water-atomization showerhead to estimate the number of water droplets of inhalable size emitted by this showerhead. We predicted that this number increased by a factor of two or four depending on whether the RH was 90% or 40%, respectively. The evaporation model also predicted huge increases in the RH and temperature in the experimental shower stall, which was validated experimentally. These findings support the hypothesis that the RH in a shower stall with a water-atomization showerhead can rapidly reach a value of between 80% and 90%, which limits the evaporation rate of the droplets emitted, and therefore, the number of inhalable droplets that can reach the user’s nose. The fact that the relative humidity rapidly reached 90% when an eco-friendly showerhead was used in a shower stall of regular volume might have been due to the homogenous distribution of water droplets in the stall. The larger size of water droplets emitted by continuous-flow showerheads might avoid a similarly homogenous pattern over such a short time. Limiting the water droplet evaporation rate might not limit the emission of volatile components such as DBPs [3]. Only further studies on this particular aspect can shed light on which strategy will be the best to avoid chemical exposure to volatile contaminants while showering with eco-friendly showerheads.
The testing of different water-atomizing systems allowed us to identify those that emit the lowest numbers of inhalable droplets. Interestingly, showerheads employing water-atomization technology emitted less water mass in the presence of a mannequin than those employing continuous-flow technology did. This can be explained by the increase in the number of water droplets emitted by the continuous-flow showerheads due to the formation of secondary droplets via splashing on the mannequin, as previously suggested [19]. Interestingly, the water-atomization technology did not seem to generate a consistent number of secondary droplets by this mechanism. Nevertheless, only one of the water-atomization showerheads emitted a number of particles capable of carrying bacteria similar to that of the continuous-flow showerheads. These results are encouraging and call for a quantitative microbial risk assessment (QMRA) that integrates information regarding pathogen occurrence and infectivity, in addition to the exposure limits to determine the health implications of microbial hazards [26]. Following such a QMRA, the designers of eco-friendly showerheads must be made aware of any potential health risks. Thereby, they will be able to take into consideration the characteristics of showerheads that limit the risk of infection by pathogenic bacteria, in addition to those that correspond to ecological objectives and the user experience. Of note, for the continuous-flow showerheads, we obtained water mass emission rates similar to those found by Cowen et al. [20] (2.7–41.3 μg/m3) but lower than those found by Zhou et al. [19] (300 µg/m3–14,000 µg/m3). Indeed, we used a similar water temperature and a shower stall with a similar air exchange rate as that used in the Cowen et al. study (39 °C and 6/h, respectively).
5. Conclusions
The risks associated with use of water-atomization showerheads need to be investigated further, particularly with regard to possible exposure to infectious bacteria and volatile contaminants. The slight increase in inhalable water droplets associated with water-atomization technology suggests an increase in exposure during their use. Nevertheless, further research is needed to determine the impacts of this new water technology on the survival of pathogenic bacteria in the output water, and on the rate of bacterial release from biofilms in pipes. More data are needed regarding the occurrence and infectivity of such pathogens for a quantitative microbial risk assessment (QMRA).
Author Contributions
Conceptualization, H.N.-H.; methodology, H.N.-H., S.G. and G.S.; investigation, H.N.-H., S.G. and C.E.J.; writing—original draft preparation, H.N.-H. and C.E.J.; supervision, H.N.-H.; project administration, H.N.-H. and L.A.; funding acquisition, H.N.-H. and L.A. All authors have read and agreed to the published version of the manuscript.
Funding
This research was funded by Innosuisse (The Swiss Federal Confederation), grant number 26789_1_PFLS-LS.
Conflicts of Interest
The authors declare no conflict of interest. The funders had no role in the design of the study; in the collection, analyses, or interpretation of data; in the writing of the manuscript, or in the decision to publish the results.
Appendix A
Figure A1.
Distribution of inhalable water droplets in the shower volume: (a) during the radial movement of the sampler; (b) during the vertical movement of the sampler.
Figure A1.
Distribution of inhalable water droplets in the shower volume: (a) during the radial movement of the sampler; (b) during the vertical movement of the sampler.

References
- Wilkes, C.R.; Small, M.J.; Andelman, J.B.; Giardino, N.J.; Marshall, J. Inhalation exposure model for volatile chemicals from indoor uses of water. Atmos. Environ. 1992, 26, 2227–2236. [Google Scholar] [CrossRef]
- Hines, S.A.; Chappie, D.J.; Lordo, R.A.; Miller, B.D.; Janke, R.J.; Lindquist, H.A.; Fox, K.R.; Ernst, H.S.; Taft, S.C. Assessment of relative potential for Legionella species or surrogates inhalation exposure from common water uses. Water Res. 2014, 56, 203–213. [Google Scholar] [CrossRef]
- Tovar, S.S.T.; Susa, M.R. Cancer risk assessment from exposure to trihalomethanes in showers by inhalation. Environ. Res. 2021, 196, 110401. [Google Scholar] [CrossRef] [PubMed]
- Kumari, M.; Gupta, S.K. Age Dependent Adjustment Factor (ADAF) for the estimation of cancer risk through Trihalomethanes (THMs) for different age groups. Ecotoxicol. Environ. Saf. 2018, 148, 960–968. [Google Scholar] [CrossRef]
- Dobaradaran, S.; Shabankareh Fard, E.; Keshtkar, M.; Karbasdehi, V.N.; TekleRottering, A.; Abtahi, M.; Gholamnia, R.; Saeedi, R. Age-sex specific and cause-specific health risk and burden of disease induced by exposure to Trihalomethanes (THMs) and Haloacetic Acids (HAAs) from drinking water: An assessment in four urban communities of Bushehr province, Iran, 2017. Environ. Res. 2020, 182, 109062. [Google Scholar] [CrossRef] [PubMed]
- Anderson, W.B.; George Dixon, D.; Mayfield, C.I. Estimation of endotoxin inhalation from shower and humidifier exposure reveals potential risk to human health. J. Water Health 2007, 5, 553–572. [Google Scholar] [CrossRef] [PubMed]
- Feazel, L.M.; Baumgartner, L.K.; Peterson, K.L.; Frank, D.N.; Harris, J.K.; Pace, N.R. Opportunistic pathogens enriched in showerhead biofilms. Proc. Natl. Acad. Sci. USA 2009, 106, 16393–16399. [Google Scholar] [CrossRef] [PubMed] [Green Version]
- Perinel, S.; Forest, V.; Landraud, M.; Pourchez, J.; Girardot, F.; Riffard, S.; Stauffert, M.; Vergnon, J.-M.; Allegra, S. Deposition pattern of aerosolized Legionella using an ex vivo human-porcine respiratory model. Int. J. Hyg. Environ. Health 2018, 221, 252–259. [Google Scholar] [CrossRef] [Green Version]
- Proctor, C.R.; Reimann, M.; Vriens, B.; Hammes, F. Biofilms in shower hoses. Water Res. 2018, 131, 274–286. [Google Scholar] [CrossRef]
- CDC (Centers for Disease Control and Prevention). Legionellosis—United States, 2000–2009. MMWR Morb. Mortal Wkly. Rep. 2011, 60, 1083–1086. [Google Scholar]
- ECDC European Legionnaires’ Disease Surveillance Network. Available online: https://www.ecdc.europa.eu/en/about-us/partnerships-and-networks/disease-and-laboratory-networks/eldsnet (accessed on 22 September 2021).
- OFSP. Légionellose en Suisse: Rapport de Situation 2018. Available online: https://www.bag.admin.ch/bag/fr/home/krankheiten/krankheiten-im-ueberblick/legionellose.html (accessed on 22 September 2021).
- Santé Publique France. Bilan des cas de Légionellose Survenus en France en 2018. Available online: https://www.santepubliquefrance.fr/maladies-et-traumatismes/maladies-et-infections-respiratoires/legionellose/articles/bilan-des-cas-de-legionellose-survenus-en-france-en-2018 (accessed on 22 September 2021).
- Wong, L.T.; Mui, K.W.; Zhou, Y. Impact evaluation of low flow showerheads for Hong Kong residents. Water 2016, 8, 305. [Google Scholar] [CrossRef] [Green Version]
- Binks, A.N.; Kenway, S.J.; Lant, P.A.; Head, B.W. Understanding Australian household water-related energy use and identifying physical and human characteristics of major end uses. J. Clean Prod. 2016, 135, 892–906. [Google Scholar] [CrossRef] [Green Version]
- Dieu-Hang, T.; Grafton, R.Q.; Martínez-Espiñeira, R.; Garcia-Valiñas, M. Household adoption of energy and water-efficient appliances: An analysis of attitudes, labelling and complementary green behaviours in selected OECD countries. J. Environ. Manag. 2017, 197, 140–150. [Google Scholar] [CrossRef] [PubMed]
- Davis, M.J.; Janke, R.; Taxon, T.N. Assessing inhalation exposures associated with contamination events in water distribution systems. PLoS ONE 2016, 11, e0168051. [Google Scholar] [CrossRef] [PubMed]
- Panão, M.R.O.; Delgado, J.M.D. Toward the design of low flow-rate multijet impingement spray atomizers. Exp. Therm. Fluid Sci. 2014, 58, 170–179. [Google Scholar] [CrossRef]
- Zhou, Y.; Benson, J.M.; Irvin, C.; Irshad, H.; Cheng, Y.-S. Particle size distribution and inhalation dose of shower water under selected operating conditions. Inhal. Toxicol. 2007, 19, 333–342. [Google Scholar] [CrossRef] [PubMed] [Green Version]
- Cowen, K.A.; Ollison, W.M. Continuous monitoring of particle emissions during showering. J. Air Waste Manag. Assoc. 2006, 56, 1662–1668. [Google Scholar] [CrossRef] [Green Version]
- Fuchs, N.A. Evaporation and Droplet Growth in Gaseous Media; Elsevier Ltd.: London, UK, 1959. [Google Scholar] [CrossRef]
- Xie, X.; Li, Y.; Chwang, A.T.; Ho, P.L.; Seto, W.H. How far droplets can move in indoor environments--revisiting the Wells evaporation-falling curve. Indoor Air. 2007, 17, 211–225. [Google Scholar] [CrossRef]
- Reinke, P.H.; Keil, C.B. Well-mixed Box Model. In Mathematical Models for Estimating Occupational Exposure to Chemicals; Keil, C.B., Simmons, C.E., Anthony, T.R., Eds.; American Industrial Hygiene Association: Fairfax, VA, USA, 2009. [Google Scholar]
- Adeyeye, K.; She, K.; Meireles, I. Beyond the flow rate: The importance of thermal range, flow intensity, and distribution for water-efficient showers. Environ. Sci. Pollut. Res. Int. 2020, 27, 4640–4660. [Google Scholar] [CrossRef] [Green Version]
- Allegra, S.; Leclerc, L.; Massard, P.A.; Girardot, F.; Riffard, S.; Pourchez, J. Characterization of aerosols containing Legionella generated upon nebulization. Sci. Rep. 2016, 6, 33998. [Google Scholar] [CrossRef]
- Hamilton, K.A.; Haas, C.N. Critical review of mathematical approaches for quantitative microbial risk assessment (QMRA) of Legionella in engineered water systems: Research gaps and a new framework. Environ. Sci. Water Res. Technol. 2016, 2, 599–613. [Google Scholar] [CrossRef]
Publisher’s Note: MDPI stays neutral with regard to jurisdictional claims in published maps and institutional affiliations. |
© 2021 by the authors. Licensee MDPI, Basel, Switzerland. This article is an open access article distributed under the terms and conditions of the Creative Commons Attribution (CC BY) license (https://creativecommons.org/licenses/by/4.0/).














