Bayesian Inversion of Soil Hydraulic Properties from Simplified Evaporation Experiments: Use of DREAM(ZS) Algorithm
Abstract
:Key points
- A Bayesian inverse modeling framework with DREAM(ZS) was used for simplified evaporation experiments.
- MO inversion was more sensitive to oscillations in evaporation than SO inversion.
- Inverse modeling performed better than the linear assumption when simulating stage 2 evaporation.
1. Introduction
2. Materials and Methods
2.1. Simplified Evaporation Method
2.2. Numerical Modeling and Inverse Method
2.2.1. Forward Modeling of Simplified Evaporation Experiments
2.2.2. Bayesian Inference with DREAM(ZS)
2.2.3. SO and MO Inverse Strategies
2.3. Synthetic Numerical Experiments
3. Results and Discussion
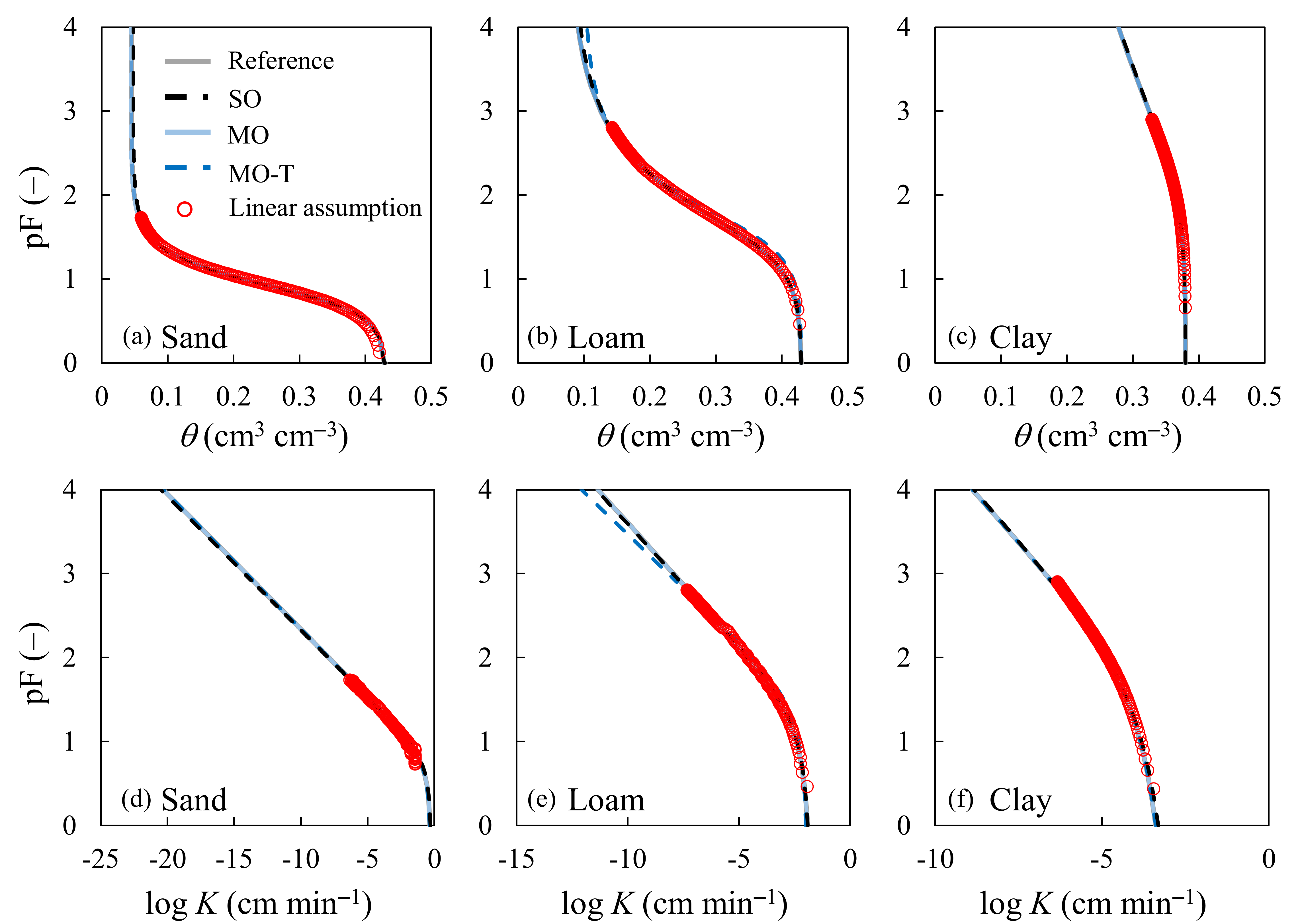
3.1. Comparison of the Results Found Using Different Methods
3.2. Impacts of Critical Pressure Head for Evaporation on MO Results
3.3. Sensitivity to Stochastic Oscillation in Evaporation and Observation Errors
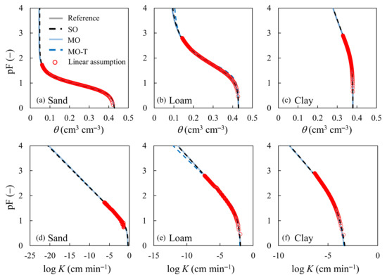
4. Application to Real Experiments
4.1. Soil Samples and HYPROP Experiments
4.2. Inversion Results
5. Conclusions
- (1)
- When the evaporation in stage 1 was steady and no observation errors were introduced, the MO inversion performed better than the SO inversion and linear assumption, which yielded the values of parameters that sufficiently fell into a small range around the accurate value.
- (2)
- The conducted MO inversion was less sensitive to observation errors; however, the conducted SO inversion was more robust when the oscillation existed in the potential evaporation rate.
- (3)
- For the experiment only including the stage 1 evaporation, the SO inversion and linear assumption yielded similar parameter values and both performed well regarding reproducing time-dependent pressure heads.
- (4)
- For the experiment including two evaporation stages, the soil hydraulic parameters derived from the linear assumption were quite different from that identified by the SO inversion, which misestimated the time-dependent pressure head for the stage 2 evaporation.
Supplementary Materials
Author Contributions
Funding
Acknowledgments
Conflicts of Interest
References
- Yeh, T.C.J.; Šimůnek, J. Stochastic fusion of information for characterizing and monitoring the vadose zone. Vadose Zone J. 2002, 1, 207–221. [Google Scholar] [CrossRef] [Green Version]
- Scharnagl, B.; Vrugt, J.A.; Vereecken, H.; Herbst, M. Inverse modelling of in situ soil water dynamics: Investigating the effect of different prior distributions of the soil hydraulic parameters. Hydrol. Earth Syst. Sci. 2011, 15, 3043–3059. [Google Scholar] [CrossRef] [Green Version]
- Wöhling, T.; Vrugt, J.A. Multiresponse multilayer vadose zone model calibration using Markov chain Monte Carlo simulation and field water retention data. Water Resour. Res. 2011, 47, 1097. [Google Scholar] [CrossRef] [Green Version]
- Zhuang, L.; Bezerra Coelho, C.R.; Hassanizadeh, S.M.; van Genuchten, M.T. Analysis of the hysteretic hydraulic properties of unsaturated soil. Vadose Zone J. 2017, 16, 1–9. [Google Scholar] [CrossRef]
- Dane, J.H.; Hopmans, J.W. Water retention and storage/laboratory. In Methods of soil analysis. Part 4: Physical Methods. SSSA Book Series: 5; Dane, J., Topp, G., Eds.; Wiley: Hoboken, NJ, USA, 2002; pp. 675–720. [Google Scholar]
- Hopmans, J.W.; Šimůnek, J.; Romano, N.; Durner, W. Simultaneous determination of water transmission and retention properties/inverse methods. In Methods of Soil Analysis. Part 4: Physical Methods. SSSA Book Series: 5; Dane, J., Topp, G., Eds.; Wiley: Hoboken, NJ, USA, 2002; pp. 675–720. [Google Scholar]
- Bouma, J.B.; Belmans, C.; Dekker, L.W.; Jeurissen, W.J.M. Assessing the suitability of soils with macropores for subsurface liquid waste disposal. J. Environ. Qual. 1983, 12, 305–311. [Google Scholar] [CrossRef]
- Schindler, U. Ein Schnellverfahren zur Messung der Wasserleitfähigkeit im teilgesättigten Boden an Stechzylinderproben. Arch. Acker-u. Pflanzenbau Bodenkd. 1980, 24, 1–7. [Google Scholar]
- Wendroth, O.; Ehlers, W.; Hopmans, J.W.; Kage, H.; Halbertsma, H.; Wosten, J.H.M. Reevaluation of the evaporation method for determining hydraulic functions in unsaturated. Soil. Sci. Soc. Am. J. 1993, 57, 1436–1443. [Google Scholar] [CrossRef]
- Mohrath, D.; Breckler, L.; Bertuzzi, P.; Gaudu, J.C.; Bourlet, M. Error analysis of an evaporation method for determining hydrodynamic properties in unsaturated soil. Soil. Sci. Soc. Am. J. 1997, 61, 725–735. [Google Scholar] [CrossRef]
- Peters, A.; Durner, W. Simplified evaporation method for determining soil hydraulic properties. J. Hydrol. 2008, 356, 147–162. [Google Scholar] [CrossRef]
- Peters, A.; Durner, W. Improved estimation of soil water retention characteristics from hydrostatic column experiments. Water Resour. Res. 2006, 42, 176. [Google Scholar] [CrossRef] [Green Version]
- Šimůnek, J.; Hopmans, J.W. Parameter optimization and nonlinear fitting. In Methods of Soil Analysis. Part 4: Physical Methods. SSSA Book Series: 5; Dane, J., Topp, G., Eds.; Wiley: Hoboken, NJ, USA, 2002. [Google Scholar]
- Roy, D.; Jia, X.H.; Steele, D.D.; Lin, D.Q. Development and comparison of soil water release curves for three soils in the Red River Valley. Soil. Sci. Soc. Am. J. 2018, 82, 568–577. [Google Scholar] [CrossRef]
- Lipovetsky, T.; Zhuang, L.W.; Teixeira, W.G.; Boyd, A.; May P., E.; Moriconi, L. HYPROP measurements of the unsaturated hydraulic properties of a carbonate rock sample. J. Hydrol. 2020, 591, 125706. [Google Scholar] [CrossRef]
- Schindler, U.; Durner, W.; Unold, G.V.; Mueller, L.; Wieland, R. The evaporation method: Extending the measurement range of soil hydraulic properties using the air-entry pressure of the ceramic cup. Z. Pflanzenernähr. Bodenk. 2010, 173, 563–572. [Google Scholar] [CrossRef]
- Schelle, H.; Heise, L.; Jänicke, K.; Durner, W. Water retention characteristics of soils over the whole moisture range: A comparison of laboratory methods. Eur. J. Soil. Sci. 2013, 64, 814–821. [Google Scholar] [CrossRef]
- Masaoka, N.; Kosugi, K. Improved evaporation method for the measurement of the hydraulic conductivity of unsaturated soil in the wet range. J. Hydrol. 2018, 563, 242–250. [Google Scholar] [CrossRef]
- Dettmann, U.; Bechtold, M.; Viohl, T.; Piayda, A.; Sokolowsky, L.; Tiemeyer, B. Evaporation experiments for the determination of hydraulic properties of peat and other organic soils: An evaluation of methods based on a large dataset. J. Hydrol. 2019, 575, 933–944. [Google Scholar] [CrossRef]
- Iden, S.C.; Blöcher, J.R.; Diamantopoulos, E.; Durner, W. Capillary, film, and vapor flow in transient bare soil evaporation (1): Identifiability analysis of hydraulic conductivity in the medium to dry moisture range. Water Resour. Res. 2021, 57, e2020WR028513. [Google Scholar] [CrossRef]
- Iden, S.C.; Blöcher, J.R.; Diamantopoulos, E.; Durner, W. Capillary, film, and vapor flow in transient bare soil evaporation (2): Experimental identification of hydraulic conductivity in the medium to dry moisture range. Water Resour. Res. 2021, 57, e2020WR028514. [Google Scholar] [CrossRef]
- Gao, H.B.; Zhang, J.J.; Liu, C.; Man, J.; Chen, C.; Wu, L.S.; Zeng, L.Z. Efficient Bayesian inverse modeling of water infiltration in layered soils. Vadose Zone J. 2019, 18, 1–13. [Google Scholar] [CrossRef] [Green Version]
- Beven, K.; Binley, A. The future of distributed models: Model calibration and uncertainty prediction. Hydrol. Process. 1992, 6, 279–298. [Google Scholar] [CrossRef]
- Abbaspour, K.C.; Johnson, C.A.; van Genuchten, M.T. Estimating uncertain flow and transport parameters using a sequential uncertainty fitting procedure. Vadose Zone J. 2004, 3, 1340–1352. [Google Scholar] [CrossRef]
- Blasone, R.; Vrugt, J.A.; Madsen, H.; Rosbjerg, D.; Robinson, B.A.; Zyvoloski, G.A. Generalized likelihood uncertainty estimation (GLUE) using adaptive Markov Chain Monte Carlo sampling. Adv. Water. Resour. 2008, 31, 630–648. [Google Scholar] [CrossRef] [Green Version]
- Lai, J.B.; Ren, L. Estimation of effective hydraulic parameters in heterogeneous soils at field scale. Geoderma 2016, 264, 28–41. [Google Scholar] [CrossRef]
- Shi, X.Q.; Ye, M.; Finsterle, S.; Wu, J.C. Comparing nonlinear regression and Markov Chain Monte Carlo Methods for assessment of prediction uncertainty in vadose zone modeling. Vadose Zone J. 2012, 11, vzj2011.0147. [Google Scholar] [CrossRef] [Green Version]
- Minasny, B.; Field, D.J. Estimating soil hydraulic properties and their uncertainty: The use of stochastic simulation in the inverse modelling of the evaporation method. Geoderma 2005, 126, 277–290. [Google Scholar] [CrossRef]
- Zhang, J.J.; Man, J.; Lin, G.; Wu, L.S.; Zeng, L.Z. Inverse modeling of hydrologic systems with Adaptive Multifidelity Markov Chain Monte Carlo simulations. Water Resour. Res. 2018, 54, 4867–4886. [Google Scholar] [CrossRef]
- Sambito, M.; Cristo, C.D.; Freni, G.; Leopardi, A. Optimal water quality sensor positioning in urban drainage systems for illicit intrusion identification. J. Hydroinform. 2019, 22. [Google Scholar] [CrossRef]
- Vrugt, J.A.; Gupta, H.V.; Bouten, W.; Sorooshian, S. A Shuffled Complex Evolution Metropolis algorithm for optimization and uncertainty assessment of hydrologic model parameters. Water Resour. Res. 2003, 39, 279. [Google Scholar] [CrossRef] [Green Version]
- Laloy, E.; Linde, N.; Jacques, D.; Mariethoz, G. Merging parallel tempering with sequential geostatistical resampling for improved posterior exploration of high-dimensional subsurface categorical fields. Adv. Water. Resour. 2016, 90, 57–69. [Google Scholar] [CrossRef]
- Vrugt, J.A.; Ter Braak, C.J.; Gupta, H.V.; Robinson, B.A. Equifinality of formal (DREAM) and informal (GLUE) Bayesian approaches in hydrologic modeling? Stoch. Environ. Res. Risk Assess. 2009, 23, 1011–1026. [Google Scholar] [CrossRef] [Green Version]
- Steenpass, C.; Vanderborght, J.; Herbst, M.; Šimůnek, J.; Vereecken, H. Estimating soil hydraulic properties from infrared measurements of soil surface temperatures and TDR data. Vadose Zone J. 2010, 9, 910–924. [Google Scholar] [CrossRef] [Green Version]
- Laloy, E.; Vrugt, J.A. High-dimensional posterior exploration of hydrologic models using multiple-try DREAM(ZS) and high-performance computing. Water Resour. Res. 2012, 48, 311. [Google Scholar] [CrossRef] [Green Version]
- Linde, N.; Vrugt, J.A. Distributed soil moisture from crosshole ground-penetrating radar travel times using stochastic inversion. Vadose Zone J. 2013, 12, 1–16. [Google Scholar] [CrossRef] [Green Version]
- Sadegh, M.; Vrugt, J.A. Approximate Bayesian Computation using Markov Chain Monte Carlo simulation: DREAM (ABC). Water Resour. Res. 2014, 50, 6767–6787. [Google Scholar] [CrossRef] [Green Version]
- Wright, A.J.; Walker, J.P.; Pauwels, V.R.N. Estimating rainfall time series and model parameter distributions using model data reduction and inversion techniques. Water Resour. Res. 2017, 53, 6407–6424. [Google Scholar] [CrossRef]
- Romano, N.; Santini, A. Determining soil hydraulic functions from evaporation experiments by a parameter estimation approach: Experimental verifications and numerical studies. Water Resour. Res. 1999, 35, 3343–3359. [Google Scholar] [CrossRef]
- Arias, N.; Virto, I.; Enrique, A.; Bescansa, P.; Walton, R.; Wendroth, O. Effect of stoniness on the hydraulic properties of a soil from an evaporation experiment using the Wind and inverse estimation methods. Water 2019, 11, 440. [Google Scholar] [CrossRef] [Green Version]
- Vrugt, J.A. Markov chain Monte Carlo simulation using the DREAM software package: Theory, concepts, and MATLAB implementation. Environ. Model. Softw. 2016, 75, 273–316. [Google Scholar] [CrossRef] [Green Version]
- Šimůnek, J.; van Genuchten, M.T.; Šejna, M. The HYDRUS-1D Software package for simulating the one-dimensional movement of water, heat, and multiple solutes in variably-saturated media. Univ. Calif.-Riverside Res. Rep. 2005, 3, 1–240. [Google Scholar]
- Peters, A.; Iden, S.C.; Durner, W. Revisiting the simplified evaporation method: Identification of hydraulic function considering vapor, film and corner flow. J. Hydrol. 2015, 527, 531–542. [Google Scholar] [CrossRef]
- Mualem, Y. A new model for predicting the hydraulic conductivity of unsaturated porous media. Water Resour. Res. 1976, 12, 513–521. [Google Scholar] [CrossRef] [Green Version]
- van Genuchten, M.T. A closed-form equation for predicting the hydraulic conductivity of unsaturated soils. Soil. Sci. Soc. Am. J. 1980, 44, 892–898. [Google Scholar] [CrossRef] [Green Version]
- Giudici, M.; Baratelli, F.; Cattaneo, L.; Comunian, A.; De Filippis, G.; Durante, C.; Giacobbo, F.; Inzoli, S.; Mele, M.; Vassena, C. A conceptual framework for discrete inverse problems in geophysics. arXiv preprint. arXiv:1901.07937v2.
- Jefferys, W.H. On the method of least squares. Astron. J. 1980, 85, 177–181. [Google Scholar] [CrossRef]
- Kavetski, D.; Kuczera, G.; Franks, S.W. Bayesian analysis of input uncertainty in hydrological modeling: 1. Theory. Water Resour. Res. 2006, 42, 1–10. [Google Scholar] [CrossRef]
- Metropolis, N.; Rosenbluth, A.W.; Rosenbluth, M.N.; Teller, A.H.; Teller, E. Equation of state calculations by fast computing machines. J. Chem. Phys. 1953, 21, 1087–1092. [Google Scholar] [CrossRef] [Green Version]
- Ritter, A.; Hupet, F.; Muñoz-Carpena, R.; Lambot, S.; Vanclooster, M. Using inverse methods for estimating soil hydraulic properties from field data as an alternative to direct methods. Agric. Water Manag. 2003, 59, 77–96. [Google Scholar] [CrossRef]
- McKay, M.D.; Beckman, R.J.; Conover, W.J. A comparison of three methods for selecting values of input variables in the analysis of output from a computer code. Technometrics 1979, 21, 239–245. [Google Scholar]
- Gelman, A.G.; Rubin, D.B. Inference from iterative simulation using multiple sequences. Stat. Sci. 1992, 7, 457–472. [Google Scholar] [CrossRef]
- Iden, S.C.; Blöcher, J.R.; Diamantopoulos, E.; Durner, W.; Peter, A. Numerical test of the laboratory evaporation method using coupled water, vapor and heat flow modelling. J. Hydrol. 2019, 570, 574–583. [Google Scholar] [CrossRef]
- Feddes, R.A.; Bresler, E.N. Field test of a modified numerical model for water uptake by root systems. Water Resour. Res. 1974, 10, 1199–1206. [Google Scholar] [CrossRef]
- Li, N.; Sun, Y.; Wan, L.; Ren, L. Estimating soil hydraulic parameters by inverse modeling with PEST. Vadose Zone J. 2017, 16, 1–18. [Google Scholar] [CrossRef]
- Pertassek, T.; Peters, A.; Durner, W. HYPROP-FIT Software User’s Manual. 2015. Available online: http://www.ums-muc.de/assets-ums/009V1.pdf (accessed on 17 September 2021).
- Schoups, G.; Vrugt, J.A. A formal likelihood function for parameter and predictive inference of hydrologic models with correlated, heteroscedastic, and non-Gaussian errors. Water Resour. Res. 2010, 46, W10531. [Google Scholar] [CrossRef] [Green Version]










| Soil Type | θS | θr | α | n | KS | l |
|---|---|---|---|---|---|---|
| (cm3 cm−3) | (cm3 cm−3) | (cm−1) | (-) | (cm min−1) | (-) | |
| Sand | 0.43 | 0.045 (0–0.1) † | 0.145 (0–0.2) | 2.68 (1–7) | 0.4950 (0–1) | 0.5 |
| Loam | 0.43 | 0.078 (0–0.1) | 0.036 (0–0.2) | 1.56 (1–7) | 0.0173 (0–1) | 0.5 |
| Clay | 0.38 | 0.068 (0–0.1) | 0.008 (0–0.2) | 1.09 (1–7) | 0.0033 (0–1) | 0.5 |
| Soil Type | Methods | θr | α | n | KS |
|---|---|---|---|---|---|
| (cm3 cm−3) | (cm−1) | (-) | (cm min−1) | ||
| Sand | True value | 0.045 | 0.145 | 2.68 | 0.495 |
| SO MAP | 0.048 | 0.146 | 2.71 | 0.551 | |
| MO MAP | 0.045 | 0.145 | 2.68 | 0.495 | |
| MO-T MAP | 0.044 | 0.144 | 2.68 | 0.475 | |
| Linear assumption | 0.044 | 0.144 | 2.60 | 0.355 | |
| Loam | True value | 0.078 | 0.036 | 1.56 | 0.0173 |
| SO MAP | 0.083 | 0.035 | 1.58 | 0.0171 | |
| MO MAP | 0.078 | 0.036 | 1.56 | 0.0173 | |
| MO-T MAP | 0.100 | 0.026 | 1.76 | 0.0117 | |
| Linear assumption | 0.086 | 0.035 | 1.58 | 0.0168 | |
| Clay | True value | 0.068 | 0.008 | 1.09 | 0.0033 |
| SO MAP | 0.008 | 0.009 | 1.07 | 0.0062 | |
| MO MAP | 0.068 | 0.008 | 1.09 | 0.0033 | |
| MO-T MAP | 0.068 | 0.008 | 1.09 | 0.0033 | |
| Linear assumption | 0.000 | 0.007 | 1.08 | 0.0042 |
| Soils | Methods | θr | α | n | KS | |
|---|---|---|---|---|---|---|
| (cm3 cm−3) | (cm−1) | (-) | (cm min−1) | |||
| Sample A | Prior range | 0–0.10 | 0–0.20 | 1–7 | 0–1 | |
| Inversion | MAP | 0.061 | 0.052 | 1.750 | 0.170 | |
| S.D. † | 0.003 | 0.002 | 0.021 | 0.021 | ||
| Linear assumption | 0.086 | 0.017 | 3.406 | 0.228 | ||
| Sample B | Prior range | 0–0.15 | 0–0.20 | 1–7 | 0–1 | |
| Inversion | MAP | 0.122 | 0.014 | 2.020 | 0.770 | |
| S.D. | 0.001 | 0.0003 | 0.003 | 0.181 | ||
| Linear assumption | 0.100 | 0.013 | 1.972 | 0.121 | ||
Publisher’s Note: MDPI stays neutral with regard to jurisdictional claims in published maps and institutional affiliations. |
© 2021 by the authors. Licensee MDPI, Basel, Switzerland. This article is an open access article distributed under the terms and conditions of the Creative Commons Attribution (CC BY) license (https://creativecommons.org/licenses/by/4.0/).
Share and Cite
Wang, X.; Wang, X.-s.; Li, N.; Wan, L. Bayesian Inversion of Soil Hydraulic Properties from Simplified Evaporation Experiments: Use of DREAM(ZS) Algorithm. Water 2021, 13, 2614. https://doi.org/10.3390/w13192614
Wang X, Wang X-s, Li N, Wan L. Bayesian Inversion of Soil Hydraulic Properties from Simplified Evaporation Experiments: Use of DREAM(ZS) Algorithm. Water. 2021; 13(19):2614. https://doi.org/10.3390/w13192614
Chicago/Turabian StyleWang, Xinghui, Xu-sheng Wang, Na Li, and Li Wan. 2021. "Bayesian Inversion of Soil Hydraulic Properties from Simplified Evaporation Experiments: Use of DREAM(ZS) Algorithm" Water 13, no. 19: 2614. https://doi.org/10.3390/w13192614
APA StyleWang, X., Wang, X.-s., Li, N., & Wan, L. (2021). Bayesian Inversion of Soil Hydraulic Properties from Simplified Evaporation Experiments: Use of DREAM(ZS) Algorithm. Water, 13(19), 2614. https://doi.org/10.3390/w13192614

