Removal of Hydrogen Peroxide Residuals and By-Product Bromate from Advanced Oxidation Processes by Granular Activated Carbon
Abstract
1. Introduction
2. Materials and Methods
2.1. GAC
2.2. Water and Chemical Reagents
2.3. Batch Experiments
2.4. Analytical Methods
2.4.1. Functional Groups Measurement
2.4.2. Other Analysis and Measurements
3. Results and Discussion
3.1. BrO3− and H2O2 Removal by Three GACs with Different Usage Times
3.2. Surface Functional Groups of Three GACs with Different Usage Times
3.3. Effect of H2O2 on BrO3− Removal by Virgin GAC
3.4. The Mechanism of H2O2 Impact on BrO3− Removal by Virgin GAC
3.4.1. BrO3− Removal by Adsorption or Reduction?
3.4.2. Modification of GAC Surface Functional Groups by H2O2
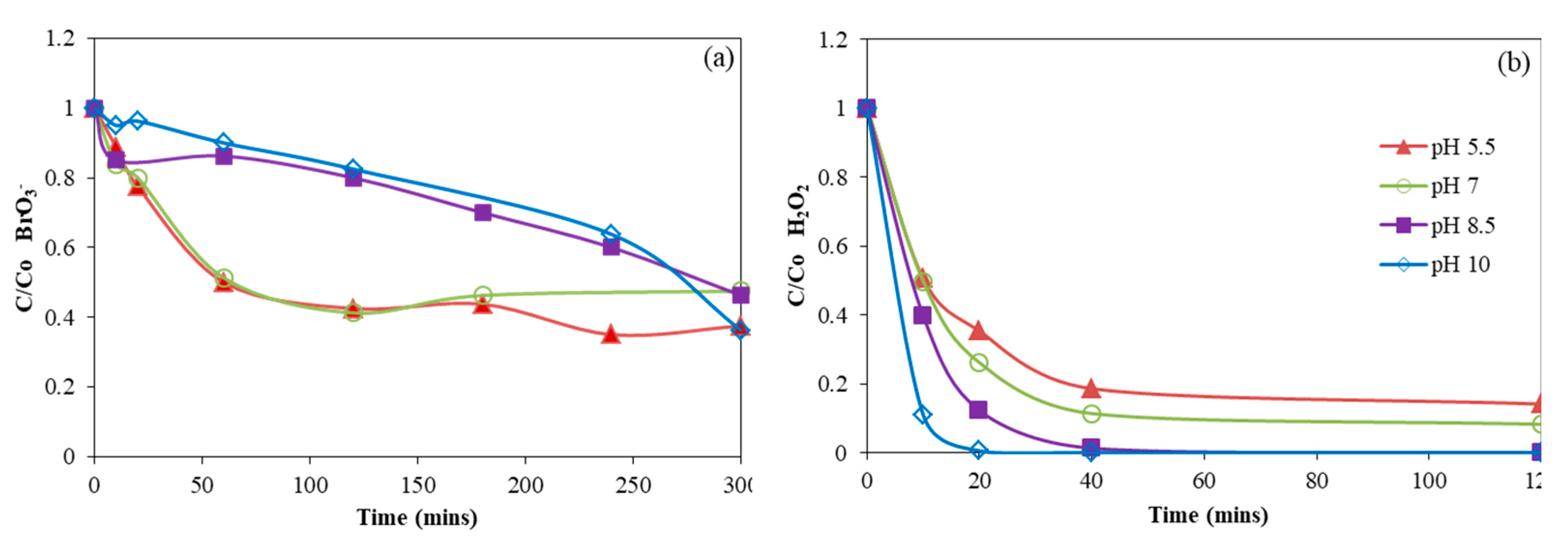
3.5. Effect of pH on BrO3− and H2O2 Removal
4. Conclusions
Author Contributions
Funding
Institutional Review Board Statement
Informed Consent Statement
Acknowledgments
Conflicts of Interest
References
- Lekkerkerker, K.; Scheideler, J.; Maeng, S.K.; Ried, A.; Verberk, J.Q.J.C.; Knol, A.H.; Amy, G.; Van Dijk, J.C. Advanced oxidation and artificial recharge: A synergistic hybrid system for removal of organic micropollutants. Water Sci. Technol. Water Supply 2009, 9, 643–651. [Google Scholar] [CrossRef]
- Oller, I.; Malato, S.; Sánchez-Pérez, J.A. Combination of Advanced Oxidation Processes and biological treatments for wastewater decontamination—A review. Sci. Total Environ. 2011, 409, 4141–4166. [Google Scholar] [CrossRef] [PubMed]
- Sgroi, M.; Snyder, S.A.; Roccaro, P. Comparison of AOPs at pilot scale: Energy costs for micro-pollutants oxidation, disinfection by-products formation and pathogens inactivation. Chemosphere 2021, 273, 128527. [Google Scholar] [CrossRef]
- Guan, C.; Jiang, J.; Pang, S.; Zhou, Y.; Gao, Y.; Li, J.; Wang, Z. Formation and control of bromate in sulfate radical-based oxidation processes for the treatment of waters containing bromide: A critical review. Water Res. 2020, 176, 115725. [Google Scholar] [CrossRef] [PubMed]
- Farzaneh, H.; Loganathan, K.; Saththasivam, J.; McKay, G. Ozone and ozone/hydrogen peroxide treatment to remove gemfibrozil and ibuprofen from treated sewage effluent: Factors influencing bromate formation. Emerg. Contam. 2020, 6, 225–234. [Google Scholar] [CrossRef]
- Ahmad, M.K.; Zubair, H.; Mahmood, R. DNA damage and DNA-protein cross-linking induced in rat intestine by the water disinfection by-product potassium bromate. Chemosphere 2013, 91, 1221–1224. [Google Scholar] [CrossRef]
- WHO. Guidelines for Drinking-Water Quality; World Health Organization: Geneva, Switzerland, 1993. [Google Scholar]
- US Environmental Protection Agency. Guidelines for Carcinogen Risk Assessment; US Environmental Protection Agency: Washington, DC, USA, 2005. [Google Scholar]
- EU. Councial Directive 98/83/EC of 3 November 1998 on the Quality of Water Intended for Human Consumption. Off. J. Eur. Communities 1998, 5, L330. Available online: https://eur-lex.europa.eu/legal-content/EN/ALL/?uri=CELEX:31998L0083 (accessed on 6 September 2021).
- Yu, J.; Wang, Y.; Wang, Q.; Wang, Z.; Zhang, D.; Yang, M. Implications of bromate depression from H2O2 addition during ozonation of different bromide-bearing source waters. Chemosphere 2020, 252, 126596. [Google Scholar] [CrossRef]
- Bourgin, M.; Borowska, E.; Helbing, J.; Hollender, J.; Kaiser, H.P.; Kienle, C.; McArdell, C.S.; Simon, E.; von Gunten, U. Effect of operational and water quality parameters on conventional ozonation and the advanced oxidation process O3/H2O2: Kinetics of micropollutant abatement, transformation product and bromate formation in a surface water. Water Res. 2017, 122, 234–245. [Google Scholar] [CrossRef] [PubMed]
- Wang, F.; van Halem, D.; Liu, G.; Lekkerkerker-Teunissen, K.; van der Hoek, J.P. Effect of residual H2O2 from advanced oxidation processes on subsequent biological water treatment: A laboratory batch study. Chemosphere 2017, 185, 637–646. [Google Scholar] [CrossRef]
- Wang, F.; van Halem, D.; Ding, L.; Bai, Y.; Lekkerkerker-Teunissen, K.; van der Hoek, J.P. Effective removal of bromate in nitrate-reducing anoxic zones during managed aquifer recharge for drinking water treatment. Water Res. 2018, 130, 88–97. [Google Scholar] [CrossRef]
- Jahan, B.N.; Li, L.; Pagilla, K.R. Fate and reduction of bromate formed in advanced water treatment ozonation systems: A critical review. Chemosphere 2021, 266, 128964. [Google Scholar] [CrossRef] [PubMed]
- Kruithof, J.C.; Kamp, P.C.; Martijn, B.J. UV/H2O2 treatment: A practical solution for organic contaminant control and primary disinfection. Ozone Sci. Eng. 2007, 29, 273–280. [Google Scholar] [CrossRef]
- Wen, G.; Wang, S.; Wang, T.; Feng, Y.; Chen, Z.; Lin, W.; Huang, T.; Ma, J. Inhibition of bromate formation in the O3/PMS process by adding low dosage of carbon materials: Efficiency and mechanism. Chem. Eng. J. 2020, 402, 126207. [Google Scholar] [CrossRef]
- Zhang, Y.Q.; Wu, Q.P.; Zhang, J.M.; Yang, X.H. Removal of bromide and bromate from drinking water using granular activated carbon. J. Water Health 2015, 13, 73–78. [Google Scholar] [CrossRef]
- Xu, J.; Gao, N.; Zhao, D.; An, N.; Li, L.; Xiao, J. Bromate reduction and reaction-enhanced perchlorate adsorption by FeCl3-impregnated granular activated carbon. Water Res. 2019, 149, 149–158. [Google Scholar] [CrossRef]
- Cai, J.; Zhang, Y.P. Enhanced Reduction of Bromate from Water by AC/S-nZVI: Performance and Mechanism. J. Environ. Eng. 2020, 146, 04020107. [Google Scholar] [CrossRef]
- Kirisits, M.J.; Snoeyink, V.L.; Kruithof, J.C. The reduction of bromate by granular activated carbon. Water Res. 2000, 34, 4250–4260. [Google Scholar] [CrossRef]
- Huang, W.J.; Chen, L.Y. Assessing the effectiveness of ozonation followed by GAC filtration in removing bromate and assimilable organic carbon. Environ. Technol. 2004, 25, 403–412. [Google Scholar] [CrossRef]
- Bury, N.A.; Mumford, K.A.; Stevens, G.W. The electro-Fenton regeneration of Granular Activated Carbons: Degradation of organic contaminants and the relationship to the carbon surface. J. Hazard. Mater. 2021, 416, 125792. [Google Scholar] [CrossRef] [PubMed]
- Palliyarayil, A.; Saini, H.; Vinayakumar, K.; Selvarajan, P.; Vinu, A.; Kumar, N.S.; Sil, S. Advances in porous material research towards the management of air pollution. Emerg. Mater. 2021, 4, 607–643. [Google Scholar] [CrossRef]
- Tang, L.; Ma, X.Y.; Wang, Y.; Zhang, S.; Zheng, K.; Wang, X.C.; Lin, Y. Removal of trace organic pollutants (pharmaceuticals and pesticides) and reduction of biological effects from secondary effluent by typical granular activated carbon. Sci. Total Environ. 2020, 749, 141611. [Google Scholar] [CrossRef]
- Mariana, M.; Abdul Khalil, H.P.S.; Mistar, E.M.; Yahya, E.B.; Alfatah, T.; Danish, M.; Amayreh, M. Recent advances in activated carbon modification techniques for enhanced heavy metal adsorption. J. Water Process Eng. 2021, 43, 102221. [Google Scholar] [CrossRef]
- Jaramillo, J.; Álvarez, P.M.; Gómez-Serrano, V. Oxidation of activated carbon by dry and wet methods surface chemistry and textural modifications. Fuel Process. Technol. 2010, 91, 1768–1775. [Google Scholar] [CrossRef]
- Park, S.-J.; Kim, B.-J. Influence of oxygen plasma treatment on hydrogen chloride removal of activated carbon fibers. J. Colloid Interface Sci. 2004, 275, 590–595. [Google Scholar] [CrossRef]
- Kim, D.W.; Wee, J.H.; Yang, C.M.; Yang, K.S. Efficient removals of Hg and Cd in aqueous solution through NaOH-modified activated carbon fiber. Chem. Eng. J. 2020, 392, 123768. [Google Scholar] [CrossRef]
- Bohli, T.; Ouederni, A. Improvement of oxygen-containing functional groups on olive stones activated carbon by ozone and nitric acid for heavy metals removal from aqueous phase. Environ. Sci. Pollut. Res. 2016, 23, 15852–15861. [Google Scholar] [CrossRef] [PubMed]
- Butler, R.; Godley, A.; Lytton, L.; Cartmell, E. Bromate environmental contamination: Review of impact and possible treatment. Crit. Rev. Environ. Sci. Technol. 2005, 35, 193–217. [Google Scholar] [CrossRef]
- Kirisits, M.J.; Snoeyink, V.L. Reduction of bromate in a BAC filter. J. Am. Water Work. Assoc. 1999, 91, 74–84. [Google Scholar] [CrossRef]
- Lekkerkerker-Teunissen, K.; Chekol, E.T.; Maeng, S.K.; Ghebremichael, K.; Houtman, C.J.; Verliefde, A.R.D.; Verberk, J.Q.J.C.; Amy, G.L.; van Dijk, J.C. Pharmaceutical removal during managed aquifer recharge with pretreatment by advanced oxidation. Water Sci. Technol. Water Supply 2012, 12, 755–767. [Google Scholar] [CrossRef]
- Yang, S.; Li, L.; Xiao, T.; Zheng, D.; Zhang, Y. Role of surface chemistry in modified ACF (activated carbon fiber)-catalyzed peroxymonosulfate oxidation. Appl. Surf. Sci. 2016, 383, 142–150. [Google Scholar] [CrossRef]
- Huang, W.J.; Peng, H.S.; Peng, M.Y.; Chen, L.Y. Removal of bromate and assimilable organic carbon from drinking water using granular activated carbon. Water Sci. Technol. 2004, 50, 73–80. [Google Scholar] [CrossRef]
- Huang, W.J.; Chen, C.Y.; Peng, M.Y. Adsorption/reduction of bromate from drinking water using GAC: Effects on carbon characteristics and long-term pilot study. Water SA 2004, 30, 369–375. [Google Scholar] [CrossRef][Green Version]
- Siddiqui, M.; Zhai, W.Y.; Amy, G.; Mysore, C. Bromate ion removal by activated carbon. Water Res. 1996, 30, 1651–1660. [Google Scholar] [CrossRef]
- Li, J.; Zamyadi, A.; Hofmann, R. Effect of granular activated carbon type and age on quenching H2O2 residuals after UV/H2O2 drinking water treatment. J. Water Supply Res. Technol. AQUA 2016, 65, 28–36. [Google Scholar] [CrossRef]
- Kurniawan, T.A.; Lo, W.-h. Removal of refractory compounds from stabilized landfill leachate using an integrated H2O2 oxidation and granular activated carbon (GAC) adsorption treatment. Water Res. 2009, 43, 4079–4091. [Google Scholar] [CrossRef]
- Han, X.; Wishart, E.; Zheng, Y. A comparison of three methods to regenerate activated carbon saturated by diesel fuels. Can. J. Chem. Eng. 2014, 92, 884–891. [Google Scholar] [CrossRef]
- Liu, Z.; Zhang, Y.G.; Han, B.; Tan, Z.C.; Li, Q.H. Adsorption of cobalt (III) by HCl and H2O2 modified activated carbon. Int. J. Environ. Pollut. 2018, 63, 192–205. [Google Scholar] [CrossRef]
- Rey, A.; Zazo, J.A.; Casas, J.A.; Bahamonde, A.; Rodriguez, J.J. Influence of the structural and surface characteristics of activated carbon on the catalytic decomposition of hydrogen peroxide. Appl. Catal. A Gen. 2011, 402, 146–155. [Google Scholar] [CrossRef]
- von Gunten, U. Ozonation of drinking water: Part II. Disinfection and by-product formation in presence of bromide, iodide or chlorine. Water Res. 2003, 37, 1469–1487. [Google Scholar] [CrossRef]
- Gu, L.; Wang, D.; Deng, R.; Liu, H.; Ai, H. Effect of surface modification of activated carbon on its adsorption capacity for bromate. Desalin. Water Treat. 2013, 51, 2592–2601. [Google Scholar] [CrossRef]
- Zhang, D.F.; Lu, W.; Wang, P.P.; Yang, L.L.; Li, C.X.; Zeng, X.D. Effect of wet oxidized modification on oxygen-containing functional groups of activated carbon fibers. Meitan Xuebao 2008, 33, 439–443. [Google Scholar]
- Yan, H.; Du, X.; Li, P.; Yu, S.; Tang, Y. Adsorption of bromate from aqueous solutions by modified granular activated carbon: Batch and column tests. Ozone Sci. Eng. 2015, 37, 357–370. [Google Scholar] [CrossRef]
- Huang, W.J.; Cheng, Y.L. Effect of characteristics of activated carbon on removal of bromate. Sep. Purif. Technol. 2008, 59, 101–107. [Google Scholar] [CrossRef]








Publisher’s Note: MDPI stays neutral with regard to jurisdictional claims in published maps and institutional affiliations. |
© 2021 by the authors. Licensee MDPI, Basel, Switzerland. This article is an open access article distributed under the terms and conditions of the Creative Commons Attribution (CC BY) license (https://creativecommons.org/licenses/by/4.0/).
Share and Cite
Wang, F.; Zhang, L.; Wei, L.; van der Hoek, J.P. Removal of Hydrogen Peroxide Residuals and By-Product Bromate from Advanced Oxidation Processes by Granular Activated Carbon. Water 2021, 13, 2460. https://doi.org/10.3390/w13182460
Wang F, Zhang L, Wei L, van der Hoek JP. Removal of Hydrogen Peroxide Residuals and By-Product Bromate from Advanced Oxidation Processes by Granular Activated Carbon. Water. 2021; 13(18):2460. https://doi.org/10.3390/w13182460
Chicago/Turabian StyleWang, Feifei, Lu Zhang, Liangfu Wei, and Jan Peter van der Hoek. 2021. "Removal of Hydrogen Peroxide Residuals and By-Product Bromate from Advanced Oxidation Processes by Granular Activated Carbon" Water 13, no. 18: 2460. https://doi.org/10.3390/w13182460
APA StyleWang, F., Zhang, L., Wei, L., & van der Hoek, J. P. (2021). Removal of Hydrogen Peroxide Residuals and By-Product Bromate from Advanced Oxidation Processes by Granular Activated Carbon. Water, 13(18), 2460. https://doi.org/10.3390/w13182460

