Next Article in Journal
Differences in the Ice Particle Shattering Impact on the CIP Measurements in the Stratiform Cloud Region and the Embedded Convection Region
Previous Article in Journal
Framework for Risk-Based Decision Support on Infiltration and Inflow to Wastewater Systems
 
 
Font Type:
Arial Georgia Verdana
Font Size:
Aa Aa Aa
Line Spacing:
Column Width:
Background:
Article

A Pressure Monitoring System for Water Distribution Networks Based on Arduino Microcontroller

Faculty of Engineering and Architecture, University of Enna “Kore”, Cittadella Universitaria, 94100 Enna, Italy
*
Author to whom correspondence should be addressed.
Water 2021, 13(17), 2321; https://doi.org/10.3390/w13172321
Submission received: 28 June 2021 / Revised: 21 August 2021 / Accepted: 22 August 2021 / Published: 25 August 2021
(This article belongs to the Section Urban Water Management)

Abstract

:
Efficient management of water distribution networks (WDNs) is currently a focal point, especially in countries where water scarcity conditions are more and more amplified by frequent drought periods. In these cases, in fact, pressure becomes the fundamental variable in managing the WDNs. Similarly, WDNs are often obsolete and affected by several points of water losses. Leakages are mainly affected by pressure; in fact, water utilities usually apply the technique of pressure management to reduce physical losses. It is clear how pressure plays a fundamental role in the management of WDNs and in water safety. Even though the technologies are quite mature, these systems are often expensive, especially if a capillarity monitoring system is required; thus, water managers apply the measurement of the flow rate and pressure at very few points. Today, the implementation of the Internet of things (IoT) can be considered a key strategy for monitoring water distribution systems. Once the sensors are installed, in fact, it is relatively easy to build a communication system able to collect and send data from the network. In the proposed study, a smart pressure monitoring system was developed using low-cost hardware and open-source software. The prototype system is composed of an Arduino microcontroller, a printed circuit board, and eight pressure transducers. The efficiency of the proposed tool was compared with a SCADA monitoring system. To investigate on the efficiency of the proposed measurement system, an experimental campaign was carried out at the Environmental Hydraulic Laboratory of the University of Enna (Italy), and hydrostatic as well as hydrodynamic tests were performed. The results showed the ability of the proposed pressure monitor tool to have control of the water pressure in a WDN with a simple, scalable, and economic system. The proposed system can be easily implemented in a real WDN by water utilities, thus improving the knowledge of pressure and increasing the efficiency level of the WDN management.

1. Introduction

Water distribution networks can be analysed through two main approaches: demand-driven or pressure-driven. The most significant part of hydraulic models, able to simulate the behaviour of water distribution networks (WDNs), is developed to account for customer demands as water withdrawal concentrated in nodes and assumes that these demands are known a priori in the model [1]. In this way, the water volume supplied to the user is independent of nodal heads in demand-driven analysis. In fact, in demand-driven simulation methods, the available discharge in demand nodes is always equal to the required discharge, and the network is assumed to be able to provide the required demand under any circumstances due to the assumed independence between flow and pressure in the node.
Nevertheless, it is known that the discharge outflow is proportional to head in the WDN, and demand-driven analysis is unable to fully account for the relationship between nodal outflows and pressure variations, leading to unrealistic solutions for the hydraulic analysis of WDNs, and the simulation model has to incorporate a nodal outflow discharge model (head-driven analysis) [1].
Over the past three decades, various relationships have been proposed to link the available discharge to the nodal pressure. These relationships are divided into two categories: discontinuous and continuous. Bhave [2] was one of the first to apply this concept and defined the minimum required nodal head value for normal working conditions, suggesting a relationship that falls in the discontinuous category. His relationship admits that full demand is available for heads with a higher than minimum required value, while no discharge is supplied below the minimum required head in each node.
On the other hand, continuous laws attempt to consider the link between pressure and outflow discharge for the entire variation domain continuously. Several authors (see, among others, [3,4,5]) have proposed a number of pressure/discharge relations in an attempt to represent the relationship between flow and pressure at a model node.
These formulations can take into account the pressure distribution in the water network. Despite this, unfortunately, these formulations are valid when the WDN operates in continuous supply and the users are directly connected with the WDNs. In many situations, especially in Mediterranean countries, water utilities have to operate under water scarcity conditions and have to manage the water volume supplied to the users through a discontinuous service (see [6,7]). When users experience water resource rationing due to water shortages, a common strategy adapted by users is to install private tanks to meet their own needs when the network operates under pressure conditions. Recently, [8,9] proposed a new model that takes into account the interposition of local storages supplying water to customers, showing the importance of the pressure measurement to correctly estimate the flow rates.
In WDNs characterised by the presence of several private tanks, in which the classic head/discharge relationships cannot be employed, specific models need to be developed to correctly simulate the operation of the WDN while accounting for reservoirs located between the hydraulic network and the users [10].
A mathematical model capable of reproducing the tank emptying/filling cycles has been developed by De Marchis et al. [11], which combines a tank continuity equation with a float valve emitter law, given by -4.6cm0cm
Q u p = 0 i f H < z r Q u p = C v * a v * 2 g ( H z r ) i f h < h m i n Q u p = C v * a v * · tan h m h m a x h h m a x h m i n tan h n h m a x h h m a x h m i n 2 g ( H z r ) i f h > h m i n Q u p = 0 i f h > h m a x
where Q u p are the discharge, and h is variable water depth. C v is the float valve emitter coefficient, a v is the valve discharge area, H is the hydraulic head over the distribution network, z r is the height of the floating valve, and g is the acceleration due to gravity. Both the float valve emitter coefficient and the discharge area are dependent on the floater position, that is, on the water level in the tank. This tank model, recently validated against experimental data, showed the role of the pressure in the supply estimation.
In order to further show the importance of the pressure estimation in WDNs, it can be observed how the water distribution systems are susceptible to water leaks. Leakages depend on the area and shape of the leaks, as well as on the pipe material, but they basically depend on pressure inside the pipe. Specifically, the higher the pressure, the larger the leak flow, and vice versa. Pressure management is, in fact, a common practice to reduce the leakage rate from the network and the rate of new failures which occur under high pressure conditions [12]. In this framework, several studies have been performed to obtain a correct estimation of the pressure in WDNs (see, among others, [13,14,15]).
Since the early 1980s, many researchers have realised that the nodal discharge cannot be considered constant and that it is necessary to apply a relationship between nodal head and nodal discharge.
Perhaps the most well-known mathematical formulation able to demonstrate the direct relation between flow rate and pressure is the classical Torricelli’s formula:
Q L = C L A L 2 g H
where Q L is the leak outflow; C L is the non dimensional discharge coefficient; A L is the orifice (leak) area; and H is the total head in the tank. The product C L A L was later defined as effective area A E .
The proportionality of the leak discharge to the square root of the pressure head inside the pipe has been questioned by many authors (see, among others, [16]). To interpret data coming from laboratory tests and field measurements, [17] suggested the use of the power law equation:
Q L = a I H b I
used by the International Water Association Water Loss Task Force (IWA), which includes the Torricelli’s equation if a I = C L A L 2 g and b I = 0.5 .
In any case, both formulations presented above clearly show the role of the water head H in outflow estimation.
In recent years, several efforts have been made to find an innovative as well as economic system that can continuously monitor pressure and flow in a water distribution network (see [18,19]). Specifically, the cited studies focused attention on the efficiency of a system based on an Arduino microcontroller, able to measure pressure and flow rate. The authors observed how the system could be considered efficient, easy to develop, easy to repair, cheap, and modular. Recently, [18] proposed an easy schematic method to obtain efficient measurement data from a single node. The authors divided the pressure monitoring system into four different layers—data collection level, communication level, cloud database and analysis level, and virtualisation level—and observed how Arduino microcontroller technologies can be used to cover all the layers and give the water utilities a novel economic approach for WDN monitoring.
Following these previous pioneering studies, this work proposes a new system of pressure and discharge monitoring in WDNs based on Arduino technology. The proposed system can be considered a simple and innovative view to measure the hydraulic variables in a very simple way, characterised by low costs of implementation. Basically, the use of recent technologies through microcontrollers can be the solution to a number of problems including fast and reliable pressure measurements. In the proposed research, experiments were performed to calibrate and validate the proposed measurement station, through hydrostatic as well as hydrodynamic tests. The results confirmed the ability of the prototype to correctly measure the pressure in WDNs. The new monitoring system is composed of eight pressure transducers, one Arduino microcontroller, and one printed circuit board. The choice to use an Arduino microcontroller was mainly guided by considering its affordability and its low price; furthermore, it can be considered the standard open-source electronic prototyping platform, enabling users to create interactive electronic objects. The system can be considered very cheap and easy to install. It is scalable by simply adding Arduino microcontrollers and connecting new pressure sensors. Furthermore, the data acquisition is obtained through a software written in C# language. The prototype system can be used both in laboratory environments, useful for researchers in the field of WDN, as well as in real water networks, allowing the water utilities to improve the pressure monitoring in real cases. Thanks to the proposed system, it is possible to analyse small districts of WDNs and analyse in detail the pressure variation in all the nodes. This will help the water utilities to improve the network management and gives an indication for the optimisation of the detection of water losses.
The study is structured as follows. Section 1 introduces the problem of the inefficiency of water distribution networks and presents studies related to the importance of the pressure measurements in order to have a correct discharge estimation. In Section 2, the laboratory experimental facility is described. Section 3 is dedicated to the presentation of the new pressure and discharge measurement system using an Arduino microprocessor. The results are described in Section 4. Finally, the conclusions are provided in Section 4.

2. Experimental Setup

In the following, the experimental apparatus is described. Basically, the water distribution network facility and the new pressure measurement system are described.

2.1. Water Distribution Network

The experimental campaign was carried out at the Environmental Hydraulic Laboratory of the University of Enna Kore (Italy) on a high-density polyethylene (HDPE 100 PN16) looped distribution network. The network has three loops, nine nodes, and eleven pipes, DN 63 mm. Each pipe is about 45 m long and is arranged in almost horizontal concentric circles, with bends having a radius of 2.0 m, thus ensuring that the form-resistance losses due to pipe bend can be neglected. The network is fed by three water tanks (they can store up to 6 mc overall). A schematic layout of the network is plotted in Figure 1.
Four pumps (P) supply the needed discharge from the recycling reservoir to the upstream air vessel (AV), which behaves as a constant head tank, keeping the pressure constant and equal to a prescribed value by varying the speed of the pumps (total water head ranging from 20 to 60 m). The system is monitored by 7 electromagnetic flow meters located in pipes 9-2, 2-4, 4-6, 8-7, 5-7, 4-3, and 3-1 of the network. Pressure cells and multi-jet water meters are distributed over the whole network at each node position. Demands are assumed to occur at the node position. Four hand operated sphere valves are installed in order to control the flow in each loop. All the nodes are equipped with pneumatic valves able to regulate the water flow discharging into a local tank. Furthermore, node 5 is equipped with a rooftop tank (placed at 17.5 m above the network level). The other nodes are equipped with a ground level tank. Water demand occurring at the tank nodes can be modelled, either considering that the tank is interposed between the user and the network or considering that the user is directly connected to the network. The tanks are connected to the water distribution network by means of high-density polyethylene (HDPE 100 PN16) pipe 30 m long, with a diameter of 1/2”. To evaluate the water volume discharged into the private tank, electromagnetic flow meters and multi-jet water meters are used. The electromagnetic flow meters have an accuracy of 0.1. The pressure is measured throughout piezoelectric transducers (plotted in Figure 2), working in the range of 0–6 bar.
The historical pressure measurement system is given by a supervisory control and data acquisition (SCADA). Therefore, the installed remote terminal unit offers an industrial solution combining performance, ease of implementation, and usability for all monitoring, process control, and remote management applications. The remote stations are configured through a user-friendly graphic interface. This step does not require any programming knowledge and uses clear language which makes configuration extremely simple.
The pipe discharge is measured through electromagnetic flow meters, plotted in Figure 2, developed for industries operating in water treatment and distribution. The measurement is obtained with the same SCADA system used for the pressure transducers. Details on the water distribution system can be found in De Marchis and Milici [20].

2.2. New Pressure Measurement System

The pressure measurement, as described in Section 2, is obtained through 8 pressure cells installed in all the network nodes. The pressure transducers are equipped with a graduated strain gauge, directly in contact with water, able to transform the water pressure into supply voltage. The supply voltage is then transformed into an electrical signal with a current range of 4–20 mA. Once a current is generated, this must be converted into pressure data.
To acquire pressure in WDNs, several acquisition cards were developed, different for communication type and acquisition method; in the proposed application, the small microcontroller, known as an Arduino, was used to convert the electrical signal into digital pressure data.
Arduino collects the information provided by the sensors and periodically sends data via the Sigfox network. To do this, it has been programmed in a very simple C# software using the Microsoft Visual Studio Integrated Development Environment (IDE), executed by Microsoft “NET Framework”. In addition, external open-source libraries were implemented. Specifically, the “HTML Agility Pack” library was used to manage the network communication between the Arduino board webserver and the C# software; the Apache Log4Net library was added to obtain user-friendly output data.
Currently, there are several industrial solutions able to collect pressure data in WDNs, based on supervisory control and data acquisition (SCADA). These solutions are customary in the monitoring of complex water distribution systems, and their implementation is clearly efficient but quite expensive. Furthermore, SCADA systems are usually managed through service contracts with water utilities.
An alternative solution to commercial SCADA systems can be found using “Open Source” hardware and software, developing an economic and easily malleable monitoring approach able to have high performance in term of acquisition data. These types of software and hardware, not being bound by any type of EULA (End-User License Agreement), allow the creation of highly competitive systems that can be used in a wide range of applications. In the present research, an economic, open source, and low cost technology is proposed, collecting data thanks to wireless access. The proposed monitoring system, based on an Arduino microcontroller, has the following advantages both for research activity and industrial applications:
  • Reduces costs for the purchase of monitoring data loggers for the various instruments;
  • Reduces the management costs of water services linked to subscription services for monitoring;
  • Makes managers independent from any external monitoring service;
  • Adapts the monitoring system to market needs;
  • Allows for the complete management of the water service remotely.
In Figure 3, the Arduino pinout scheme and the prototype printed circuit board used to connect the pressure cells with Arduino card are reported.
Following the recent study of [18], the monitoring system is based on the approach of Internet of things (IoT). In Figure 4, the architecture of the proposed IoT pressure acquisition is shown.
Basically, the first level is the measurement of the hydraulic variables (i.e., pressure or flow discharge). The pressure transducers and the electromagnetic flow meters, installed in the laboratory WDN, were connected to the Arduino acquisition card through an electrical cable. The specific characteristics of the used meters are reported in the previous section. The second level is dedicated to the data logging of the measured data. The collected data are converted and sent to the device connected to the Arduino, through a Wi-Fi connection. Finally, all the data can be monitored and downloaded through a webpage in real time. The visualisation level is also used to help the water utilities in the management of the network. It is, in fact, possible to calibrate the pressure cells or change the sampling rate of the data.
In order to validate and verify the goodness of the proposed system, several tests were performed in the Water Kore Lab located at the University of Enna Kore, comparing the pressure measured using the proposed Arduino technologies with the system that is already installed in the WDN Laboratory, based on a SCADA system, a typical tool used by the water utilities in industrial applications. In the following, the results of the experiments performed to validate the proposed system are reported and discussed.

3. Results

In order to verify the proposed monitoring system, different experimental tests, in both hydrostatic and hydrodynamic conditions, were carried out. The initial experimental attempt was thus conducted to calibrate the pressure cells. Once calibrated, further experiments were dedicated to validating the proposed monitoring system.
Each test was performed using the network configuration shown in Figure 5. The flow direction is represented by the blue arrows. Basically, the WDN is configured as a classical inline pipe of about 500 m. The sensors P1, P2, P3, and P4, highlighted in green, are monitored by the Arduino microcontroller, while P5, P6, P7, and P8, highlighted in red, are monitored by the SCADA system. The comparison between the data obtained with the two monitoring tools was used to validate the prototype model.

3.1. Calibration Procedure

The transducers used in the proposed research convert the water pressure into a voltage signal. Most of the pressure sensors on the market work with a supply of 10 to 30 V to guarantee the perfect calibration of the sensor. Subsequently, the supply voltage is read by the Arduino as a measured RAW value, an integer number of a 1024 unit, and is then restored to pressure values expressed in bars. The conversion between voltage and pressure is ruled by a linear law; when the pressure is zero bar, a 0.24 V electrical volt is measured. Coherently, when the pressure is equal to 6 bar (maximum values measurable with the equipped sensors), 0.75 V is registered by the microcontroller. The transducers are frequently subjected to a signal deviation, and thus they require a calibration procedure, ensuring the correct measurement of the water pressure. In order to calibrate the sensors, the hydrostatic experiments, reported in Table 1, were carried out. The experiments TC1-TC5 were repeated two times, before and after calibration, and the results are plotted in Figure 6a,b, respectively.
In Figure 6a, the averaged measured pressure, through the transducers, is plotted against the pressure imposed by the pump station. Clearly, in hydrostatic conditions, all the data should collapse with each other and with the dashed line, representing the perfect measurement. It can be shown that a huge deviation is registered, even though all the data are aligned in straight lines having the same slope. This result indicates that a calibration of the sensors is needed. The calibration was obtained through a very simple procedure described below. The measured pressure is converted through the following equation:
H [ i ] = r a w [ i ] / B A [ i ] / B w i t h i = 1 , 4
with H[i] being the water head in the i-th sensor; r a w [i] being the electrical signal measured with the pressure transducer; B being a constant equal to 16.45, specific to the proposed prototype model; and A[i] being the intercept coefficient of each sensor. The calibration procedure can be easily obtained with an optimisation procedure by changing the che intercept A[i] to thus fit the desired pressure. Basically, the following steps were used: the sensors, connected to the Arduino, were placed at atmospheric pressure. Then, the coefficient A[i] was modified to have an average zero value of pressure. It is worthwhile to observe that the sensor calibration can be obtained with a single value of pressure, usually the atmospheric pressure.
Successively, the test cases reported in Table 1 were exactly repeated. The results, reported in Figure 6b, clearly show the correctness of the procedure. All the pressures measured by the four sensors connected with the Arduino collapse each other and have a very good agreement with the dashed line, representing the ideal measurements.

3.2. Validation Procedure

Once calibrated, experiments in hydrostatic as well as hydrodynamic conditions were conducted. These experiments were used to validate the proposed prototype system.
In Table 2, some of the test cases are reported.
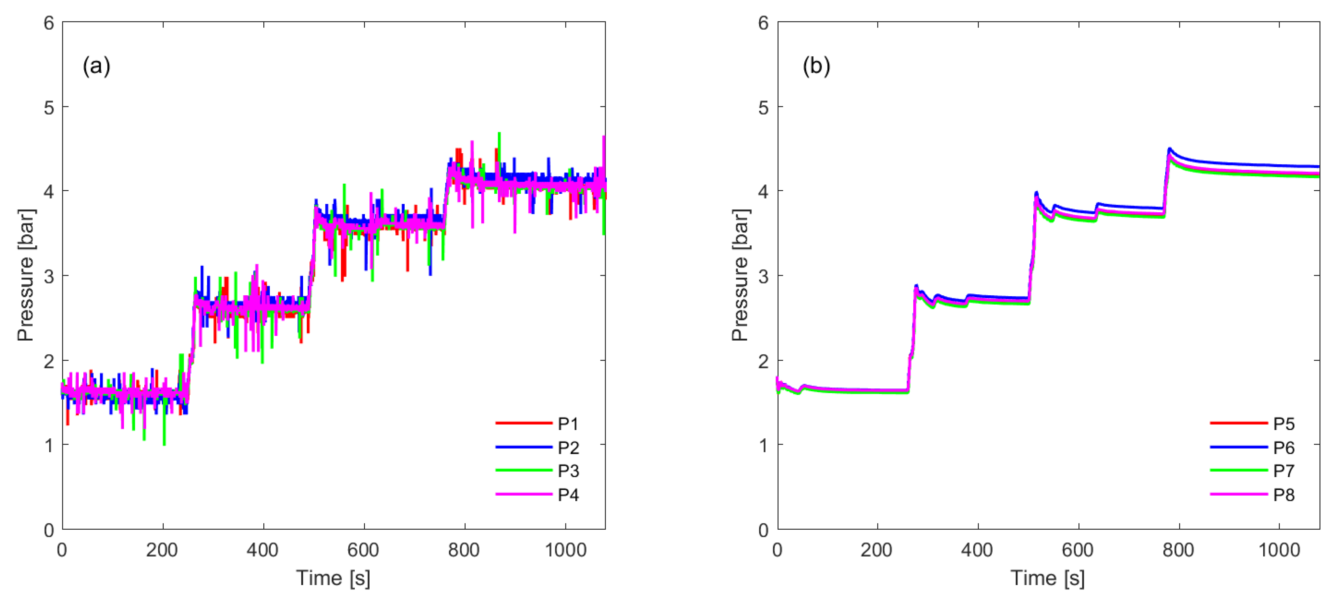
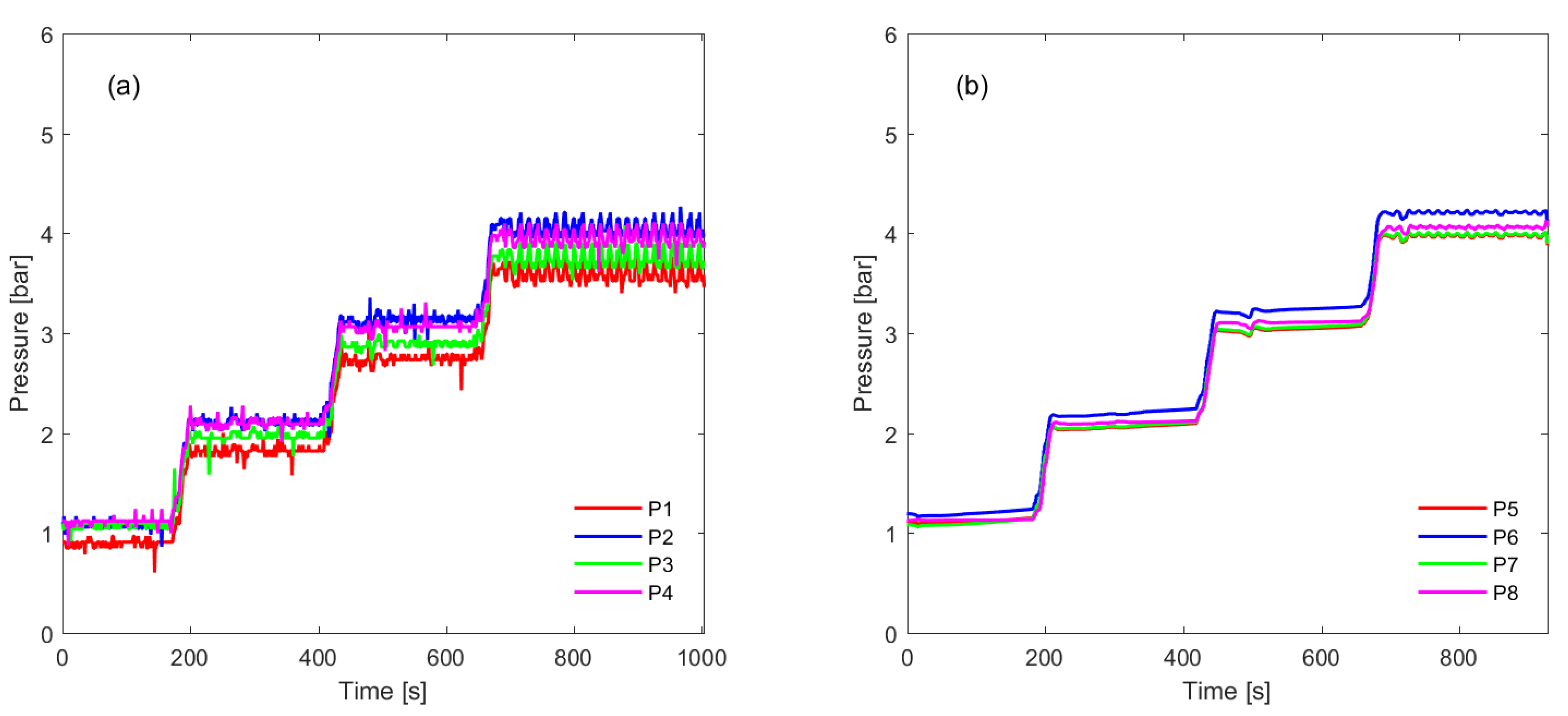
Figure 7a,b show the acquired data with the Arduino and SCADA during the first hydrostatic tests (TC4-TC7), respectively.
The comparison between the two measurements pointed out how the sensors P1, P2, P3, and P4, connected to the Arduino system, are characterised by a significantly higher data acquisition frequency than the sensors P5, P6, P7, and P8, connected to the SCADA. Thanks to the Arduino microprocessor, it was possible, in fact, to increase the number of data collected per second, thus improving the resolution of the acquisition and the quality of the measurement. The data oscillations reported in Figure 7a are given by the high frequency of data acquisition. The averaged value, not shown here, collapses with the data, reported in Figure 7b, acquired with the SCADA system. Moreover, the data show a good collapse between the four sensors connected with the Arduino microcontroller, independent of the water pressure. Figure 7b, on the other hand, shows a small deviation in the measurement increasing the water pressure. Specifically, focusing attention on the results collected with the sensors P5, P6, P7, and P8 at 1 bar, a good collapse is observed, whereas looking at a pressure of about 4.1 bar (test TC11), a deviation of about 3–5% is registered.
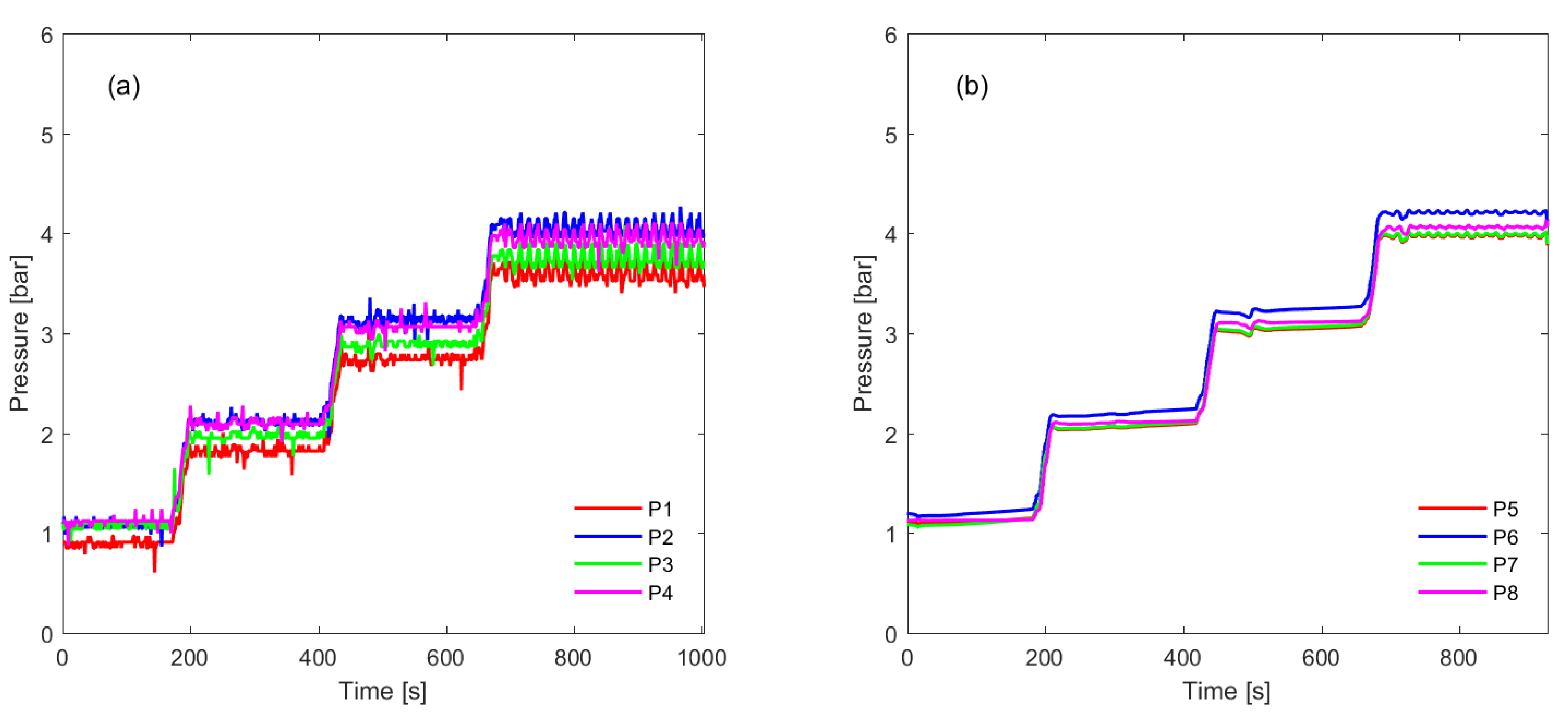
The two measurement systems, Arduino and SCADA, were also compared through hydrodynamic experiments. Four tests were carried out at values of flow rate and pressure increasing over time (see Table 2, cases TC12-TC15). The results are plotted in Figure 8. The test were performed considering an inline pipe of about 500 m. The flow direction is indicated in Figure 5 with a blue arrow.
Figure 8 compares the pressure values recorded, confirming that Arduino system has a much higher data acquisition frequency than SCADA. In order to further validate the proposed system, the experimental data were compared with the results of theoretical equations. In Figure 9, the comparison between the mathematical formulation data (dashed lines) and experimental (symbols) piezometric line is depicted.
The numerical piezometric line was obtained using the classical energy losses equation for circular pipes in turbulent flow condition, given by H m H v =r· Q 2 , where H m is the upstream water head, H v is the downstream water head, r is the pipe resistance per unit flow rate, and Q is the flow discharge. The experimental points reported in Figure 9 were collected at the same time with the two measurement systems (SCADA and Arduino) and are obtained as the average value of the data reported in Figure 8.
The plot confirms the above observation about the highest quality of measurement of the Arduino microcontroller. Figure 9 clearly shows perfect agreement between the experimental data and the numerical piezometric line. On the other hand, the red points show a slight misalignment with the straight line. This deviation increases with the pressure, consistent with the observation of Figure 7.
The results of the experimental campaigns clearly showed the ability of the proposed monitoring system to acquire hydrodynamic variable to manage WDNs. The efficiency of the Arduino board is further confirmed considering that it is a low cost system. An economic analysis of the Arduino system is reported in Pèrez-Padillo. The authors confirmed how the average cost of the measurement system is about EUR 100, a price lower (by up to 70%) than common industrial pressure monitoring systems existing on the market.
The proposed system can be considered an efficient solution able to study small districts of WDNs and analyse in detail the pressure variation in all the nodes. The pressure variation is a primary indicator of presence of water losses; thus, the proposed system can help water utilities in the management of small networks. Even though the prototyped measurement station can be considered an efficient and economic solution, some limitations were observed during the experimental campaign. The main problem is related to the fact that all the pressure transducers must be connected through a cable connection to the printed circuit board. This can be considered a bottleneck to a massive use in real urban water distribution networks. A modified version of the prototype is under development in order to use a wireless connection between the pressure cells and the Arduino microcontroller.

4. Conclusions

The proposed research is mainly focused on building a new pressure acquisition system based on open source hardware and software through Arduino microcontrollers. The system has been deeply analysed through experiments performed at the environmental hydraulic laboratory of the University of Enna Kore, where a small water distribution network is located. Hydrostatic as well as hydrodynamic experiments have been performed to calibrate and validate the pressure measurement system. The calibration procedure pointed out the ability of the proposed method to achieve a correct pressure estimation simply by adding a translation coefficient in the conversion between the supply voltage into water pressure. Once calibrated, the sensors do not shown any kind of deviation for a long time, thus ensuring a high level of stability. After the calibration procedure, the system has been validated through the comparison of the acquired data with an industrial measurement system, based on a SCADA system and through a comparison between the collected data and an analytical solution. In both cases, the prototype system has shown the ability to capture the pressure in WDNs well. Arduino microcontrollers can also be used for data acquisition from an electromagnetic flow meter in a completely similar manner to pressure transducers. From an IT point of view, creating a solution based on open source hardware and software can be exploited for implementation as a basis for creating various smart sensor applications related to the Internet of things.

Author Contributions

All the authors equally contributed to this work. All authors have read and agreed to the published version of the manuscript.

Funding

This study was funded by Feasibility Study called “BLUE DROP PROJECT” as part of the Maltese National Scheme “Research and Development Feasibility Studies 2014–2020”.

Institutional Review Board Statement

Not applicable.

Informed Consent Statement

Not applicable.

Data Availability Statement

Data available on request to the corresponding author.

Conflicts of Interest

The authors declare no conflict of interest.

References

  1. Tabesh, M.; Shirzad, A.; Arefkhani, V.; Mani, A. A comparative study between the modified and available demand driven based models for head driven analysis of water distribution networks. Urban Water J. 2014, 11, 221–230. [Google Scholar] [CrossRef]
  2. Bhave, P.R. Node flow analysis of water distribution systems. J. Transp. Eng. 1981, 107, 457–467. [Google Scholar] [CrossRef]
  3. Ackley, J.R.L.; Tanyimboh, T.T.; Tahar, B.; Templeman, A.B. Head-driven analysis of water distribution systems. In Water Industry, Water Software Systems: Theory and Applications; Ulanicki, B., Ed.; Research Studies Press Ltd.: Hertfordshire, UK, 2001; pp. 183–192. [Google Scholar]
  4. Tanyimboh, T.T.; Tabesh, M.; Burrows, R. Appraisal of source head methods for calculating reliability of water distribution networks. J. Water Res. Plan. Manag. 2001, 127, 206–213. [Google Scholar] [CrossRef]
  5. Tanyimboh, T.T.; Templeman, A.B. A new nodal outflow function for water distribution networks. In Proceedings of the 4th International Conference on Engineering Computation Technology (CD-ROM), Kraków, Poland, 6–9 June 2004. [Google Scholar]
  6. De Marchis, M.; Fontanazza, C.M.; Freni, G.; Loggia, G.L.; Napoli, E.; Notaro, V. A model of the filling process of an intermittent distribution network. Urban Water J. 2010, 7, 321–333. [Google Scholar] [CrossRef]
  7. Freni, G.; Marchis, M.D.; Napoli, E. Implementation of pressure reduction valves in a dynamic water distribution numerical model to control the inequality in water supply. J. Hydroinform. 2014, 16, 207–217. [Google Scholar] [CrossRef] [Green Version]
  8. De Marchis, M.; Milici, B.; Freni, G. Pressure-Discharge Law of Local Tanks Connected to a Water Distribution Network: Experimental and Mathematical Results. Water 2015, 7, 4701–4723. [Google Scholar] [CrossRef] [Green Version]
  9. De Marchis, M.; Freni, G.; Milici, B. Experimental analysis of pressure-discharge relationship in a private water supply tank. J. Hydroinform. 2018, 20, 608–621. [Google Scholar] [CrossRef] [Green Version]
  10. Giustolisi, O.; Berardi, L.; Laucelli, D. Modeling Local Water Storages Delivering Customer Demands in WDN Models. J. Hydraul. Eng. 2014, 140, 89–104. [Google Scholar] [CrossRef]
  11. De Marchis, M.; Fontanazza, C.M.; Freni, G.; Milici, B.; Puleo, V. Experimental investigation for local tank inflow model. Procedia Eng. 2014, 89, 655–663. [Google Scholar] [CrossRef] [Green Version]
  12. Thornton, J. Water Loss Control Manual; McGraw-Hill: New York, NY, USA, 2002. [Google Scholar]
  13. Brunone, B.; Ferrante, M. Pressure wave as a tool for leak detection in closed conduits. Urban Water J. 2004, 1, 145–155. [Google Scholar] [CrossRef]
  14. Ferrante, M. Experimental investigation of the effects of pipe material on the leak head-discharge relationship. J. Hydr. Eng. 2012, 138, 736–743. [Google Scholar] [CrossRef]
  15. Ferrante, M.; Meniconi, S.; Brunone, B. Local and global leak laws. Water Res. Manag. 2014, 28, 3761–3782. [Google Scholar] [CrossRef]
  16. Cassa, A.M.; VanZyl, J.E.; Laubscher, R. A numerical investigation into the effect of pressure on holes and cracks in water supply pipes. Urban Water J. 2010, 7, 109–120. [Google Scholar] [CrossRef]
  17. Thornton, J.; Lambert, A. Progress in practical prediction of pressure: Leakage, pressure: Burst frequency and pressure: Consumption relationships. In Proceedings of the IWA Leakage 2005 Conference, Halifax, NS, Canada, 12–14 September 2005. [Google Scholar]
  18. Pérez-Padillo, J.; García Morillo, J.; Ramirez-Faz, J.; Torres Roldán, M.; Montesinos, P. Design and implementation of a pressure monitoring system based on iot for water supply networks. Sensors 2020, 20, 4247. [Google Scholar] [CrossRef] [PubMed]
  19. Whittle1, A.J.; Girod, L.; Preis, A.; Allen, M.; Lim, H.B.; Iqbal, M.; Srirangarajan, S.; Fu, C.; Wong, K.J.; Goldsmith, D. Waterwise@sg: A testbed for continuous monitoring of the water distribution system in singapore. In Proceedings of the Water Distribution System Analysis 2010—WDSA, Tucson, AZ, USA, 12–15 September 2010. [Google Scholar]
  20. De Marchis, M.; MIlici, B. Leakage Estimation in Water Distribution Network: Effect of the Shape and Size Cracks. Water Res. Manag. 2019, 33, 2005–2019. [Google Scholar] [CrossRef]
Figure 1. Layout of the water distribution network located in the LIA Laboratory. (a): Schematic representation of the WDN; (b): representation of the real laboratory network.
Figure 1. Layout of the water distribution network located in the LIA Laboratory. (a): Schematic representation of the WDN; (b): representation of the real laboratory network.
Water 13 02321 g001
Figure 2. (Left): Pressure transducer installed in a node of the LIA water distribution network. (Right): Electromagnetic flow meter.
Figure 2. (Left): Pressure transducer installed in a node of the LIA water distribution network. (Right): Electromagnetic flow meter.
Water 13 02321 g002
Figure 3. (Left) Panel: (Top): Arduino Uno pinout scheme. (Bottom): Prototype printed circuit board. (Right) Panel: Laboratory Prototype.
Figure 3. (Left) Panel: (Top): Arduino Uno pinout scheme. (Bottom): Prototype printed circuit board. (Right) Panel: Laboratory Prototype.
Water 13 02321 g003
Figure 4. IoT pressure monitoring system.
Figure 4. IoT pressure monitoring system.
Water 13 02321 g004
Figure 5. Network configuration.
Figure 5. Network configuration.
Water 13 02321 g005
Figure 6. Calibration of the pressure transducers. (a) measured data before the calibration; (b) measured data after the calibration.
Figure 6. Calibration of the pressure transducers. (a) measured data before the calibration; (b) measured data after the calibration.
Water 13 02321 g006
Figure 7. Data acquired during hydrostatic tests. Panels: (a) Arduino, (b) SCADA.
Figure 7. Data acquired during hydrostatic tests. Panels: (a) Arduino, (b) SCADA.
Water 13 02321 g007
Figure 8. Data acquired during hydrodynamic tests. Panels: (a) Arduino, (b) SCADA.
Figure 8. Data acquired during hydrodynamic tests. Panels: (a) Arduino, (b) SCADA.
Water 13 02321 g008
Figure 9. Piezometric line. Red bullets: SCADA data; green bullets: Arduino data; dashed line: numerical piezometric line.
Figure 9. Piezometric line. Red bullets: SCADA data; green bullets: Arduino data; dashed line: numerical piezometric line.
Water 13 02321 g009
Table 1. Hydrostatic pressure experiment for the calibration of the pressure cells connected with Arduino system.
Table 1. Hydrostatic pressure experiment for the calibration of the pressure cells connected with Arduino system.
Test CaseMonitoring SystemType TestPump PressureAverage PressureAverage Flow
[bar][bar][m3/h]
TC1ARDUINOHydrostatics2.02.00.0
TC2ARDUINOHydrostatics2.52.50.0
TC3ARDUINOHydrostatics3.53.50.0
TC4ARDUINOHydrostatics4.04.00.0
TC5ARDUINOHydrostatics4.54.50.0
Table 2. Experimental campaign of pressure and flow rate measurements performed with Arduino.
Table 2. Experimental campaign of pressure and flow rate measurements performed with Arduino.
Test CaseMonitoring SystemType TestPump PressureAverage PressureAverage Flow
[bar][bar][m3/h]
TC4ARDUINOHydrostatics1.61.590.0
TC5ARDUINOHydrostatics2.62.610.0
TC6ARDUINOHydrostatics3.63.590.0
TC7ARDUINOHydrostatics4.14.080.0
TC8SCADAHydrostatics1.61.590.0
TC9SCADAHydrostatics2.62.610.0
TC10SCADAHydrostatics3.63.590.0
TC11SCADAHydrostatics4.14.080.0
TC12SCADA-ARDUINOHydrodynamics1.11.071.94
TC13SCADA-ARDUINOHydrodynamics2.12.042.57
TC14SCADA-ARDUINOHydrodynamics3.13.022.70
TC15SCADA-ARDUINOHydrodynamics4.03.943.28
Publisher’s Note: MDPI stays neutral with regard to jurisdictional claims in published maps and institutional affiliations.

Share and Cite

MDPI and ACS Style

Bruno, F.; De Marchis, M.; Milici, B.; Saccone, D.; Traina, F. A Pressure Monitoring System for Water Distribution Networks Based on Arduino Microcontroller. Water 2021, 13, 2321. https://doi.org/10.3390/w13172321

AMA Style

Bruno F, De Marchis M, Milici B, Saccone D, Traina F. A Pressure Monitoring System for Water Distribution Networks Based on Arduino Microcontroller. Water. 2021; 13(17):2321. https://doi.org/10.3390/w13172321

Chicago/Turabian Style

Bruno, Federica, Mauro De Marchis, Barbara Milici, Domenico Saccone, and Fabrizio Traina. 2021. "A Pressure Monitoring System for Water Distribution Networks Based on Arduino Microcontroller" Water 13, no. 17: 2321. https://doi.org/10.3390/w13172321

APA Style

Bruno, F., De Marchis, M., Milici, B., Saccone, D., & Traina, F. (2021). A Pressure Monitoring System for Water Distribution Networks Based on Arduino Microcontroller. Water, 13(17), 2321. https://doi.org/10.3390/w13172321

Note that from the first issue of 2016, this journal uses article numbers instead of page numbers. See further details here.

Article Metrics

Back to TopTop