Using MODIS-NDVI Time Series to Quantify the Vegetation Responses to River Hydro-Geomorphology in the Wandering River Floodplain in an Arid Region
Abstract
:1. Introduction
2. Materials and Methods
2.1. Study Area
2.2. Datasets
2.3. Lateral Zonal Distributions of the Study Area
2.4. MODIS-NDVI Data Preprocessing
3. Results
3.1. Floodplain Hydro-Geomorphological Dynamics
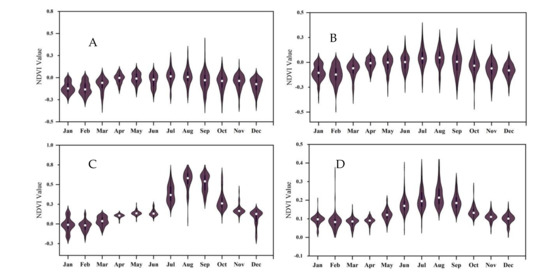
3.2. Dynamics of Floodplain Vegetation
4. Discussion
4.1. Vegetation Responses to Hydro-Geomorphology
4.2. Remote-Sensing Application
5. Conclusions
Author Contributions
Funding
Institutional Review Board Statement
Informed Consent Statement
Data Availability Statement
Acknowledgments
Conflicts of Interest
References
- Tockner, K.; Stanford, J.A. Riverine flood plains: Present state and future trends. Environ. Conserv. 2002, 29, 308–330. [Google Scholar] [CrossRef] [Green Version]
- Capon, S.J. Plant community responses to wetting and drying in a large arid floodplain. River Res. Appl. 2003, 19, 509–520. [Google Scholar] [CrossRef]
- Capon, S.J. Flood variability and spatial variation in plant community composition and structure on a large and floodplain. J. Arid. Environ. 2005, 60, 283–302. [Google Scholar] [CrossRef]
- Corenblit, D.; Tabacchi, E.; Steiger, J.; Gurnell, A.M. Reciprocal interactions and adjustments between fluvial landforms and vegetation dynamics in river corridors: A review of complementary approaches. Earth Sci. Rev. 2007, 84, 56–86. [Google Scholar] [CrossRef]
- Thomas, R.F.; Kingsford, R.T.; Lu, Y.; Cox, S.J.; Sims, N.C.; Hunter, S.J. Mapping inundation in the heterogeneous floodplain wetlands of the Macquarie Marshes, using Landsat Thematic Mapper. J. Hydrol. 2015, 524, 194–213. [Google Scholar] [CrossRef]
- Srivastava, A.; Saco, P.M.; Rodriguez, J.F.; Kumari, N.; Chun, K.P.; Yetemen, O. The role of landscape morphology on soil moisture variability in semi-arid ecosystems. Hydrol. Process. 2021, 35, e13990. [Google Scholar] [CrossRef]
- Broich, M.; Tulbure, M.G.; Verbesselt, J.; Xin, Q.; Wearne, J. Quantifying Australia’s dryland vegetation response to flooding and drought at sub-continental scale. Remote Sens. Environ. 2018, 212, 60–78. [Google Scholar] [CrossRef]
- Hupp, C.R. Vegetation Pattern on Channel Features in the Passage-Creek Gorge, Virginia. Castanea 1983, 48, 62–72. [Google Scholar] [CrossRef]
- Gurnell, A.M. Plants as river system engineers. Earth Surf. Process. Landf. 2014, 39, 4–25. [Google Scholar] [CrossRef]
- Murray Darling Basin Authority. Basin-Wide Environmental Watering Strategy; Murray Darling Basin Authority: Canberra, Australia, 2014.
- Shafroth, P.B.; Patten, S.D.T. Riparian vegetation response to altered disturbance and stress regimes. Ecol. Appl. 2002, 12, 107–123. [Google Scholar] [CrossRef]
- Hupp, C.R. Upstream variation in bottomland vegetation patterns, northwestern virginia. Bull. Torrey Bot. Club 1986, 113, 421–430. [Google Scholar] [CrossRef]
- Osterkamp, W.R. Processes of fluvial island formation, with examples from Plum Creek, Colorado and Snake River, Idaho. Wetlands 1998, 184, 530–545. [Google Scholar] [CrossRef]
- Dixon, M.D. Effects of flow pattern on riparian seedling recruitment on sandbars in the wisconsin river, Wisconsin, USA. Wetlands 2003, 231, 125–139. [Google Scholar] [CrossRef]
- Baartman, J.E.M.; Temme, A.J.A.M.; Saco, P.M. The effect of landform variation on vegetation patterning and related sediment dynamics. Earth Surf. Process. Landf. 2018, 43, 2121–2135. [Google Scholar] [CrossRef] [Green Version]
- Ding, J.; Johnson, E.A.; Martin, Y.E. Linking soil moisture variation and abundance of plants to geomorphic processes: A generalized model for erosion-uplifting landscapes. J. Geophys. Res. Biogeosci. 2018, 123, 960–975. [Google Scholar] [CrossRef]
- Ablat, X.; Liu, G.; Liu, Q.; Huang, C. Application of Landsat derived indices and hydrological alteration matrices to quantify the response of floodplain wetlands to river hydrology in arid regions based on different dam operation strategies. Sci. Total Environ. 2019, 688, 1389–1404. [Google Scholar] [CrossRef]
- Dari, J.; Morbidelli, R.; Saltalippi, C.; Massari, C.; Brocca, L. Spatial-temporal variability of soil moisture: Addressing the monitoring at the catchment scale. J. Hydrol. 2019, 570, 436–444. [Google Scholar] [CrossRef]
- Kumari, N.; Saco, P.M.; Rodriguez, J.F.; Johnstone, S.A.; Srivastava, A.; Chun, K.P.; Yetemen, O. The grass is not always greener on the other side: Seasonal reversal of vegetation greenness in aspect-driven semiarid ecosystems. Geophys. Res. Lett. 2020, 47, e2020GL088918. [Google Scholar] [CrossRef]
- Pringle, C.M.; Freeman M., C.; Freeman, B.J. Regional effects of hydrologic alterations on riverine macrobiota in the new world: Tropical-Temperate comparisons. Bioscience 2000, 50, 807–823. [Google Scholar] [CrossRef] [Green Version]
- Gurnell, A.M.; Grabowski, R.C. Vegetation–hydrogeomorphology interactions in a low-energy, human-impacted river. River Res. Appl. 2016, 32, 202–215. [Google Scholar] [CrossRef]
- Diehl, R.M.; Wilcox, A.C.; Stella, J.C. Evaluation of the integrated riparian ecosystem response to future flow regimes on semiarid rivers in Colorado, USA. J. Environ. Manag. 2020, 271, 111037. [Google Scholar] [CrossRef]
- Nagler, P.L.; Barreto-Muoz, A.; Borujeni, S.C.; Jarchow, C.J.; Gómez-Sapiens, M.M.; Nouri, H.; Herrmann, S.M.; Didan, K. Ecohydrological responses to surface flow across borders: Two decades of changes in vegetation greenness and water use in the riparian corridor of the colorado river delta. Hydrol. Process. 2020, 34, 4851–4883. [Google Scholar] [CrossRef]
- White, H.A.; Scott, J.K.; Didham, R.K. Evidence of range shifts in riparian plant assemblages in response to multidecadal streamflow declines. Front. Ecol. Evol. 2021, 9, 357. [Google Scholar] [CrossRef]
- Henshaw, A.J.; Gurnell, A.M.; Bertoldi, W.; Drake, N.A. An assessment of the degree to which landsat TM data can support the assessment of fluvial dynamics, as revealed by changes in vegetation extent and channel position, along a large river. Geomorphology 2013, 202, 74–85. [Google Scholar] [CrossRef]
- Mohammadi, A.; Costelloe, J.F.; Ryu, D. Application of time series of remotely sensed normalized difference water, vegetation and moisture indices in characterizing flood dynamics of large-scale arid zone floodplains. Remote. Sens. Environ. 2017, 190, 70–82. [Google Scholar] [CrossRef]
- Am, A.; Jpj, A.; Mwd, B. Riparian vegetation as an indicator of stream channel presence and connectivity in arid environments—Sciencedirect. J. Arid. Environ. 2020, 178, 104167. [Google Scholar] [CrossRef]
- Mertes, L.A.K. Remote sensing of riverine landscapes. Freshw. Biol. 2002, 47, 799–816. [Google Scholar] [CrossRef]
- Wulder, M.A.; Loveland, T.R.; Roy, D.P.; Crawford, C.J.; Masek, J.G.; Woodcock, C.E.; Allen, R.G.; Anderson, M.C.; Belward, A.S.; Cohen, W.B.; et al. Current status of landsat program, science, and applications. Remote. Sens. Environ. 2019, 225, 127–147. [Google Scholar] [CrossRef]
- Justice, C.O.; Vermote, E.; Townshend, J.R.G.; DeFries, R.; Roy, D.P.; Hall, D.K.; Salomonson, V.V.; Privette, J.L.; Riggs, G.; Strahler, A.; et al. The Moderate Resolution Im- aging Spectroradiometer (MODIS): Land remote sensing for global change research. IEEE Trans. Geosci. Remote Sens. 1998, 36, 1228–1249. [Google Scholar] [CrossRef] [Green Version]
- Ak, A.; Hm, B.; Zbcd, E. Spring vegetation green-up dynamics in central europe based on 20-year long modis ndvi data. Agric. For. Meteorol. 2020, 287, 107969. [Google Scholar] [CrossRef]
- Xiong, X.; Angal, A.; Chang, T.; Chiang, K.; Wu, A. Modis and viirs calibration and characterization in support of producing long-term high-quality data products. Remote Sens. 2020, 12, 3167. [Google Scholar] [CrossRef]
- Xiong, X.; Butler, J.J. Modis and viirs calibration history and future outlook. Remote Sens. 2020, 12, 2523. [Google Scholar] [CrossRef]
- Tucker, C.J. Red and photographic infrared linear combinations for monitoring vegetation. Remote Sens. Environ. 1979, 8, 127–150. [Google Scholar] [CrossRef] [Green Version]
- Rouse, J.W.; Haas, R.H.; Schell, J.A.; Deering, D.W.; Harlan, J.C. Monitoring the Vernal Advancement and Retrogradation (Greenwave Effect) of Natural Vegetation; NASA GSFC: Greenbelt, MD, USA, 1974; pp. 1–137. [Google Scholar]
- Huete, A.; Didan, K.; Miura, T.; Rodriguez, E.P.; Gao, X.; Ferreira, L.G. Overview of the radiometric and biophysical performance of the MODIS vegetation indices. Remote Sens. Environ. 2002, 83, 195–213. [Google Scholar] [CrossRef]
- Sims, N.C.; Colloff, M.J. Remote sensing of vegetation responses to flooding of a semi-arid floodplain: Implications for monitoring ecological effects of environmental flows. Ecol. Indic. 2012, 18, 387–391. [Google Scholar] [CrossRef]
- Landmann, T.; Schramm, M.; Colditz, R.R.; Dietz, A.; Dech, S. Wide area wetland mapping in semi-arid Africa using 250-m MODIS metrics and topographic variables. Remote Sens. 2010, 2, 1751–1766. [Google Scholar] [CrossRef] [Green Version]
- Zanoni, L.; Gurnell, A.; Drake, N. Island dynamics in a braided river from analysis of historical maps and air photographs. River Res. Appl. 2008, 24, 1141–1159. [Google Scholar] [CrossRef]
- Flood, N.; Danaher, T.; Gill, T.; Gillingham, S. An operational scheme for deriving standardised surface reflectance from Landsat TM/ETM+ and SPOT HRG imagery for Eastern Australia. Remote Sens. 2013, 5, 83–109. [Google Scholar] [CrossRef] [Green Version]
- Boothroyd, R.J.J.; Nones, M.; Guerrero, M. Deriving planform morphology and vegetation coverage from remote sensing to support river management applications. Front. Environ. Sci. 2021, 9, 146. [Google Scholar] [CrossRef]
- Martín-Ortega, P.; García-Montero, L.G.; Sibelet, N. Temporal patterns in illumination conditions and its effect on vegetation indices using Landsat on Google Earth Engine. Remote Sens. 2020, 12, 211. [Google Scholar] [CrossRef] [Green Version]
- Epting, J.; Verbyla, D.; Sorbel, B. Evaluation of remotely sensed indices for assessing burn severity in interior Alaska using Landsat TM and ETM+. Remote Sens. Environ. 2005, 96, 328–339. [Google Scholar] [CrossRef]
- Thapa, R.; Thoms, M.C.; Parsons, M.; Reid, M. Adaptive cycles of floodplain vegetation response to flooding and drying. Earth Surf. Dyn. 2016, 4, 175–191. [Google Scholar] [CrossRef] [Green Version]
- Ren, D.; Xu, X.; Hao, Y.; Huang, G. Modeling and assessing field irrigation water use in a canal system of Hetao, upper Yellow River basin: Application to maize, sunflower and watermelon. J. Hydrol. 2016, 532, 122–139. [Google Scholar] [CrossRef]
- Su, T.; Wang, S.; Mei, Y.; Shao, W. Comparison of channel geometry changes in inner Mongolian reach of the Yellow River before and after joint operation of large up- stream reservoirs. J. Geogr. Sci. 2015, 25, 930–942. [Google Scholar] [CrossRef] [Green Version]
- Luo, D.; Mao, W.; Sun, H. Risk assessment and analysis of ice disaster in Ning-Meng reach of Yellow River based on a two-phased intelligent model under grey information environment. Nat. Hazards 2017, 88, 591–610. [Google Scholar] [CrossRef]
- Tang, G.; Zhu, Y.; Wu, G.; Li, J.; Li, Z.-L.; Sun, J. Modelling and analysis of hydrody- namics and water quality for rivers in the northern cold region of China. Int. J. Environ. Res. Public Health 2016, 13, 408. [Google Scholar] [CrossRef] [Green Version]
- Vermote, E.; Wolfe, R.E. MOD09GA MODIS/Terra Surface Reflectance Daily L2G Global 1 km and 500 m SIN Grid V006; NASA EOSDIS Land Processes DAAC: Washington, DC, USA, 2015. [Google Scholar]
- Richter, B.D.; Baumgartner, J.V.; Powell, J.; Braun, D.P. A method for assessing hydrologic alteration within ecosystems. Conserv. Biol. 1996, 10, 1163–1174. [Google Scholar] [CrossRef] [Green Version]
- Marchetti, Z.Y.; Minotti, P.G.; Ramonell, C.G.; Schivo, F.; Kandus, P. NDVI patterns as indicator of morphodynamic activity in the middle Paraná River floodplain. Geomorphology 2016, 253, 146–158. [Google Scholar] [CrossRef]
- Leopold, L.B.; Maddock, T. The Hydraulic Geometry of Stream Channels and Some Physiographic Implications; US Government Printing Office: Washington, DC, USA, 1953.
- Nones, M.; Di Silvio, G. Modeling of river width variations based on hydrological, morphological, and biological dynamics. J. Hydraul. Eng. 2016, 142, 04016012. [Google Scholar] [CrossRef]
- Bizzi, S.; Demarchi, L.; Grabowski, R.C.; Weissteiner, C.J.; Van de Bund, W. The use of remote sensing to characterise hydromorphological properties of European rivers. Aquat. Sci. 2016, 78, 57–70. [Google Scholar] [CrossRef] [Green Version]
- Cunningham, S.; White, M.; Griffioen, P.; Newell, G.; Mac Nally, R. Mapping Floodplain Vegetation Tyoes across the Murray-Darling Basin Using Remote Sensing; Murray Darling Basin Authority: Canberra, Australia, 2013.
- Marchetti, Z.Y.; Latrubesse, E.M.; Pereira, M.S.; Ramonell, C.G. Vegetation and its relationship with geomorphologic units in the Parana River floodplain, Argentina. J. S. Am. Earth Sci. 2013, 46, 122–136. [Google Scholar] [CrossRef]










| Remote Sensing Images | Spatial Resolution | Data | Water Level/m | Discharge/m3/s |
|---|---|---|---|---|
| Landsat OLI | 30 m | 2014.08.14 | 1051.34 | 1020 |
| Landsat OLI | 30 m | 2014.04.24 | 1050.45 | 253 |
| Landsat OLI | 30 m | 2015.03.10 | 1049.31 | 142 |
| Belts | NDVI Ranges | ||||||||
|---|---|---|---|---|---|---|---|---|---|
| <0 | 0–0.09 | 0.1–0.19 | 0.2–0.29 | 0.3–0.39 | 0.4–0.49 | 0.5–0.59 | >0.6 | >0 | |
| Continuously inundated area | 1071 | 377 | 34 | 6 | 2 | 0 | 0 | 0 | 419 |
| Frequently inundated area | 1011 | 390 | 79 | 11 | 1 | 0 | 0 | 0 | 481 |
| Regularly inundated area | 330 | 216 | 512 | 143 | 70 | 74 | 88 | 59 | 1162 |
| Extremely rare inundated area | 3 | 794 | 547 | 127 | 21 | 0 | 0 | 0 | 1489 |
Publisher’s Note: MDPI stays neutral with regard to jurisdictional claims in published maps and institutional affiliations. |
© 2021 by the authors. Licensee MDPI, Basel, Switzerland. This article is an open access article distributed under the terms and conditions of the Creative Commons Attribution (CC BY) license (https://creativecommons.org/licenses/by/4.0/).
Share and Cite
Ablat, X.; Liu, G.; Liu, Q.; Huang, C. Using MODIS-NDVI Time Series to Quantify the Vegetation Responses to River Hydro-Geomorphology in the Wandering River Floodplain in an Arid Region. Water 2021, 13, 2269. https://doi.org/10.3390/w13162269
Ablat X, Liu G, Liu Q, Huang C. Using MODIS-NDVI Time Series to Quantify the Vegetation Responses to River Hydro-Geomorphology in the Wandering River Floodplain in an Arid Region. Water. 2021; 13(16):2269. https://doi.org/10.3390/w13162269
Chicago/Turabian StyleAblat, Xarapat, Gaohuan Liu, Qingsheng Liu, and Chong Huang. 2021. "Using MODIS-NDVI Time Series to Quantify the Vegetation Responses to River Hydro-Geomorphology in the Wandering River Floodplain in an Arid Region" Water 13, no. 16: 2269. https://doi.org/10.3390/w13162269
APA StyleAblat, X., Liu, G., Liu, Q., & Huang, C. (2021). Using MODIS-NDVI Time Series to Quantify the Vegetation Responses to River Hydro-Geomorphology in the Wandering River Floodplain in an Arid Region. Water, 13(16), 2269. https://doi.org/10.3390/w13162269
