Experimental Study of the Effect of Controlled Drainage on Soil Water and Nitrogen Balance
Abstract
:1. Introduction
2. Materials and Methods
2.1. Site Description
2.2. Experimental Design
2.3. Measurements and Sampling
2.3.1. Soil Water
2.3.2. Nitrogen
Soil Nitrogen
Plant Nitrogen
Drainage Nitrogen
Other Nitrogen
2.4. Chemical Methods
3. Results
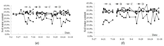
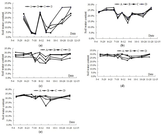
3.1. Soil Moisture in the Field
3.2. Soil Moisture in the Pits
3.3. Soil Water Balance after Single Rainfall in the Field
3.4. Soil Nitrogen Balance Calculation in the Entire Growth Period
3.5. Soil Nitrogen Balance after a Single Rainfall in the Field
4. Discussion
4.1. Effect of Controlled Drainage on the Soil Moisture
4.2. Nitrogen Stability
4.3. The Effect of Boundary Condition on the Water and Nitrogen Balance under Controlled Drainage
5. Conclusions
Author Contributions
Funding
Acknowledgments
Conflicts of Interest
References
- Luo, W.; Jia, Z.; Fang, S.; Wang, N.; Liu, J.; Wang, L.; Tian, S.; Zhang, Y. Outflow reduction and salt and nitrogen dynamics at controlled drainage in the YinNan Irrigation District, China. Agric. Water Manag. 2008, 95, 809–816. [Google Scholar] [CrossRef]
 - Madramootoo, C.A.; Dodds, G.T.; Papadopoulos, A. Agronomic and environmental benefits of water table management. J. Irrig. Drain. Eng. 1993, 119, 1052–1064. [Google Scholar] [CrossRef]
 - Osmond, D.L.; Gilliam, J.W.; Evans, R.O. Riparian Buffers and Controlled Drainage to Reduce Agricultural Non-Point Source Pollution; North Carolina Agricultural Research Service Technical Bulletin 318; North Carolina State University: Raleigh, NC, USA, 2002. [Google Scholar]
 - Evans, R.O. Controlled versus conventional drainage-effects on water quality. In Proceedings of the Management of Irrigation and Drainage Systems, Park City, UT, USA, 21–23 July 1993; ASAE: St. Joseph, MI, USA, 1993; pp. 511–518. [Google Scholar]
 - Liu, W.; Youssef, M.A.; Birgand, F.P.; Chescheir, G.M.; Tian, S.; Maxwell, B.M. Processes and mechanisms controlling nitrate dynamics in an artificially drained field: Insights from high-frequency water quality measurements. Agric. Water Manag. 2020, 232, 106032. [Google Scholar] [CrossRef]
 - Lalonde, V.; Madramootoo, C.A.; Trenholm, L.; Broughton, R.S. Effects of controlled drainage on nitrate concentrations in subsurface drain discharge. Agric. Water. Manag. 1996, 29, 187–199. [Google Scholar] [CrossRef]
 - Yu, Y.; Xu, J.; Zhang, P.; Meng, Y.; Xiong, Y. Controlled Irrigation and Drainage Reduce Rainfall Runoff and Nitrogen Loss in Paddy Fields. Int. J. Environ. Res. Public Health 2021, 18, 3348. [Google Scholar] [CrossRef]
 - Wesstrom, I.; Messing, I.; Linner, H.; Lindstrom, J. Controlled drainage-effects on drain outflow and water quality. Agric. Water Manag. 2001, 47, 85–100. [Google Scholar] [CrossRef]
 - Wesstrom, I.; Ekbohm, G.; Linner, H.; Messing, I. The effects of controlled drainage on subsurface outflow from level agricultural fields. Hydrol. Process. 2003, 17, 1525–1538. [Google Scholar] [CrossRef]
 - Yin, G.; Zhang, Z.; Guo, X.; Shao, G. Effect of drainage controlling devices on nitrogen losses in surface runoff farmland. J. Hydraul. Eng. 2006, 37, 926–931. (In Chinese) [Google Scholar]
 - Liu, J.; Luo, W.; Jia, Z.; Fang, S.; Wang, N. Feasibility study of adopting controlled drainage in Yinnan irrigation district based on salt and water balance. Trans. CSAE 2005, 21, 43–46. (In Chinese) [Google Scholar]
 - Chi, B.; Shi, H.; Xu, D.; Jiao, P. Distribution and variation of water and salt in soil profile under controlling subsurface drainage. Trans. Chin. Soc. Agric. Eng. (Trans. CSAE) 2021, 37, 148–158, (In Chinese with English abstract). [Google Scholar] [CrossRef]
 - Fodaa, E.M.; Sobeihb, M.M.; Salamc, G.A.; Ellayn, A.F.; Atta, Y.M. Long-term effects of using controlled drainage on: Crop yields and soil salinity in Egypt. Water Sci. 2020, 34, 143–154. [Google Scholar] [CrossRef]
 - Tolomio, M.; Borin, M. Controlled drainage and crop production in a long-term experiment in North-Eastern Italy. Agric. Water Manag. 2019, 222, 21–29. [Google Scholar] [CrossRef]
 - Cui, Y.; Cui, L.F. Research on the spatio-temporal distribution characteristics of temperature and precipitation variation in Hubei Province in the past 50 years. J. Huanggang Norm. Univ. 2020, 40, 80–86. [Google Scholar]
 - Yuan, N.; Huang, J.; Xie, H.; Huang, Z. Experimental study of nitrogen leaching pattern in controlled pipe-drainage cotton field. Trans. CSAE 2010, 26, 8–13, (In Chinese with English abstract). [Google Scholar]
 - Sun, Y.L.; Fan, W.Y.; Shi, P.J.; Wang, Z.; Sun, S. The regional difference of the influence of climate change and management factors on cotton yield in Hubei province. Geogr. Res. 2021, 40, 1064–1077. [Google Scholar]
 - Salo, T.; Turtola, E. Nitrogen balance as an indicator of nitrogen leaching in Finland. Agric. Ecosyst. Environ. 2006, 113, 98–107. [Google Scholar] [CrossRef]
 - Skaggs, W.; Fausey, N.R.; Evans, R.O. Drainage water management. J. Soil Water Conserv. 2012, 67, 167A–172A. [Google Scholar] [CrossRef] [Green Version]
 - Yuan, N.; Xie, H.; Liu, F.; Huang, Z. Effect of Controlled Drainage on Soil Moisture Under Different Boundary Conditions. In Proceedings of the International Conference on Environmental Protection and Human Health, Wuhan, Hubei, China, 13–14 December 2014. [Google Scholar]
 - Yin, G.; Zhang, Z.; Guo, X.; Shao, G. Experimental study on effect of controlled drainage from ground surface on concentration and discharge of nitrogen. J. Hohai Univ. 2006, 34, 21–24. [Google Scholar]
 - Yuan, N.; Huang, J.; Huang, Z. Effect of Controlled Pipe Drainage on the Outflow and Nitrogen Leaching in Sihu District, China. In Proceedings of the 11th ICID International Drainage Workshop on Agricultural Drainage Needs and Future Priorities, Cairo, Egypt, 23–27 September 2012. [Google Scholar]
 - Gunn, K.M.; Fausey, N.R.; Shang, Y.; Vinayak, S.S.; Ehsan, G.; Wahla, M.D.; Larry, C.B. Subsurface drainage volume reduction with drainage water management: Case studies in Ohio, USA. Agric. Water Manag. 2015, 149, 131–142. [Google Scholar] [CrossRef]
 - Li, S.; Wu, M.; Jia, Z.; Luo, W.; Fei, L.; Li, J. Influence of different controlled drainage strategies on the water and salt environment of ditch wetland: A model-based study. Soil Tillage Res. 2021, 208, 104894. [Google Scholar] [CrossRef]
 - Blicher-Mathiesen, G.; Andersen, H.E.; Larsen, S.E. Nitrogen field balances and suction cup-measured N leaching in Danish catchments. Agric. Ecosyst. Environ. 2014, 196, 69–75. [Google Scholar] [CrossRef]
 - Compton, J.E.; Pearlstein, S.L.; Erban, L.; Coulombe, R.A.; Hatteberg, B.; Henning, A.; Brooks, J.R.; Selker, J.E. Nitrogen inputs best predict farm field nitrate leaching in the Willamette Valley, Oregon. Nutr. Cycl. Agroecosyst. 2021, 120, 223–242. [Google Scholar] [CrossRef] [PubMed]
 - Kumazawa, K. Nitrogen fertilization and nitrate pollution in groundwater in Japan: Present status and measures for sustainable agriculture. Nutr. Cycl. Agroecosyst. 2002, 63, 129–137. [Google Scholar] [CrossRef]
 - Garnier, M.; Recanatesi, F.; Ripa, M.N.; Antonio, L. Agricultural nitrate monitoring in a lake basin in Central Italy:a further step ahead towards an integrated nutrient management aimed at controlling water pollution. Env. Monit Assess 2010, 170, 273–286. [Google Scholar] [CrossRef]
 - Kou, C.; Luo, X.; Ju, X. Effects of optimal nitrogen fertilization on N balance and nitrate-N accumulation in greenhouse tomato fields. J. Plant Nutr. Fertil. 2021, 27, 837–848. [Google Scholar]
 - Skaggs, R.W.; Youseef, M.A. Effects of Drainage Water Management on Nitrogen Losses to Surface Waters. In Proceedings of the 16th National Nonpoint Source Monitoring Workshop, Columbus, OH, USA, 14–18 September 2008. [Google Scholar]
 - Youssef, M.A.; Liu, Y.; Chescheir, G.M.; Skaggs, R.W.; Negm, L.M. DRAINMOD modeling framework for simulating controlled drainage effect on lateral seepage from artificially drained fields. Agric. Water Manag. 2021, 254, 106944. [Google Scholar] [CrossRef]
 








| Plot | Controlled Water Table/cm | Replicate | |||
|---|---|---|---|---|---|
| Seedling Stage (20 May to 3 July)  | Bud Stage (4 July to 20 July)  | Flowering and Boll Setting Stage (21 July to 28 August)  | Boll Opening Stage (29 August to 20 November)  | ||
| A | 30 | 40 | 40 | 30 | 0 | 
| B | 50 | 60 | 60 | 50 | 0 | 
| C | 80 | 80 | 80 | 80 | 0 | 
| D | free drainage (100) | free drainage (100) | free drainage (100) | free drainage (100) | 0 | 
| Treatment | Controlled Water Table/cm | Replicate | |||
|---|---|---|---|---|---|
| Seedling Stage (20 May to 3 July)  | Bud Stage (4 July to 20 July)  | Flowering and Boll Setting Stage (21 July to 28 August)  | Boll Opening Stage (29 August to 20 November)  | ||
| 1 | 30 | 40 | 40 | 30 | 6 | 
| 2 | 50 | 60 | 60 | 50 | 6 | 
| 3 | 80 | 80 | 80 | 80 | 5 | 
| 4 | free drainage (100) | free drainage (100) | free drainage (100) | free drainage (100) | 3 | 
| Year | Sampling Date | 
|---|---|
| 2008 | 10 May, 23 June, 4 July, 10 July, 15 July, 26 July, 5 August, 18 August, 27 August, 4 September, 18 September and 19 November | 
| 2009 | 15 May, 12 June, 9 July, 23 July, 8 August, 29 August, 14 September, 24 October, 23 November | 
| 2010 | 10 May, 20 May, 30 May and 5 June, 10 June, 14 June, 20 June, 22 June, 26 June, 30 June, 6 July, 16 July, 23 July, 27 July, 30 July, 5 August, 10 August, 15 August, 20 August, 25 August, 30 August, 15 September, 18 September, 25 September, 30 September, 5 October, 15 October, 19 October, 26 October, 1 November, 5 November, 10 November | 
| Index | Nitrate | Ammonium | Soil Water Moisture | Ammonia Volatilization | Plant Dry Matter | Plant Total Nitrogen | 
|---|---|---|---|---|---|---|
| Methods | Digested ultraviolet spectrophotometry | Nessler’s reagent colorimetry | Oven drying | Ventilation method | Fixing drying | H2SO4-H2O2 boil and Nye’s colorimetry | 
| Treatments | Layers | Soil Gravimetric Water Content | Change in the Period | Soil Bulk Density (g/m3) | Increase in Moisture Storage in the Period (mm) | |
|---|---|---|---|---|---|---|
| 6 July | 16 July | |||||
| 30 cm | Surface to 20 cm | 25.35% | 28.17% | 2.82% | 1.4 | 8 | 
| 20–40 cm | 22.75% | 29.21% | 6.46% | 1.4 | 20 | |
| 40–60 cm | 26.35% | 32.05% | 5.70% | 1.49 | 17 | |
| 60–80 cm | 26.50% | 32.25% | 5.75% | 1.49 | 17 | |
| 80–100 cm | 27.57% | 31.08% | 3.51% | 1.43 | 11 | |
| total | 73 | |||||
| 50 cm | Surface to 20 cm | 37.27% | 26.12% | −11.15% | 1.4 | −33 | 
| 20–40 cm | 14.43% | 26.88% | 12.45% | 1.4 | 38 | |
| 40–60 cm | 18.59% | 29.77% | 11.18% | 1.49 | 34 | |
| 60–80 cm | 28.84% | 32.05% | 3.21% | 1.49 | 10 | |
| 80–100 cm | 27.01% | 32.07% | 5.06% | 1.43 | 15 | |
| total | 64 | |||||
| 80 cm | Surface to 20 cm | 21.47% | 27.81% | 6.34% | 1.4 | 19 | 
| 20–40 cm | 28.08% | 27.21% | −0.87% | 1.4 | −3 | |
| 40–60 cm | 32.23% | 28.25% | −3.98% | 1.49 | −12 | |
| 60–80 cm | 32.38% | 28.06% | −4.31% | 1.49 | −13 | |
| 80–100 cm | 32.73% | 29.23% | −3.50% | 1.43 | −11 | |
| total | −20 | |||||
| 100 cm | Surface to 20 cm | 28.80% | 25.39% | −3.41% | 1.4 | −10 | 
| 20–40 cm | 29.05% | 27.41% | −1.64% | 1.4 | −5 | |
| 40–60 cm | 29.51% | 27.89% | −1.62% | 1.49 | −5 | |
| 60–80 cm | 30.55% | 28.22% | −2.33% | 1.49 | −7 | |
| 80–100 cm | 28.81% | 27.71% | −1.10% | 1.43 | −3 | |
| total | −30 | |||||
| Fields | NF | NR | ND | ΔNC | ΔNS | (NO-NL) | 
|---|---|---|---|---|---|---|
| D | 196.88 | 3.21 | 1.69 | 76.40 | 151.82 | −26.44 | 
| C | 154.00 | 3.21 | 1.69 | 72.84 | 228.87 | −142.81 | 
| B | 154.00 | 3.21 | 1.69 | 62.55 | 190.14 | −93.79 | 
| A | 218.82 | 3.21 | 1.69 | 78.23 | 273.94 | −128.45 | 
| E | 266.33 | 3.21 | 1.69 | 96.80 | 172.46 | 1.96 | 
| Drainage Process | Plots | NR or ND | ΔNS | Nitrogen Loss with Surface and Subsurface Drainage | (NO-NL) | 
|---|---|---|---|---|---|
| D723 | D | 0.48 | 43.18 | 0.29 | −42.99 | 
| C | 0.48 | 35.30 | 0.31 | −35.13 | |
| B | 0.48 | 43.46 | 0.23 | −43.21 | |
| A | 0.48 | 139.50 | 0.30 | −139.32 | |
| E | 0.48 | 8.13 | 0.79 | −8.44 | |
| D815 | D | 0.80 | −14.18 | 0.15 | 14.83 | 
| C | 0.80 | 16.95 | 0.11 | −16.25 | |
| B | 0.80 | −21.26 | 0.03 | 22.03 | |
| A | 0.80 | 23.28 | 0.10 | −22.57 | |
| E | 0.80 | 27.72 | 0.16 | −27.08 | |
| D830 | D | 0.75 | −64.36 | 0.04 | 65.06 | 
| C | 0.75 | 8.04 | 0.23 | −7.52 | |
| B | 0.75 | −103.12 | 0.22 | 103.64 | |
| A | 0.75 | −44.30 | 0.22 | 44.83 | |
| E | 0.75 | −55.18 | 0.33 | 55.60 | 
| Soil Layer/cm | Ratio F | ||
|---|---|---|---|
| Water Level | |||
| 30 cm | 50 cm | 100 cm | |
| surface | 0.70 | 0.81 | 0.88 | 
| 20 cm | 0.40 | 0.48 | 0.70 | 
| 40 cm | 0.36 | 0.41 | 0.63 | 
| 80 cm | 0.26 | 0.22 | 0.47 | 
Publisher’s Note: MDPI stays neutral with regard to jurisdictional claims in published maps and institutional affiliations.  | 
© 2021 by the authors. Licensee MDPI, Basel, Switzerland. This article is an open access article distributed under the terms and conditions of the Creative Commons Attribution (CC BY) license (https://creativecommons.org/licenses/by/4.0/).
Share and Cite
Yuan, N.; Xiong, Y.; Li, Y.; Xu, B.; Liu, F. Experimental Study of the Effect of Controlled Drainage on Soil Water and Nitrogen Balance. Water 2021, 13, 2241. https://doi.org/10.3390/w13162241
Yuan N, Xiong Y, Li Y, Xu B, Liu F. Experimental Study of the Effect of Controlled Drainage on Soil Water and Nitrogen Balance. Water. 2021; 13(16):2241. https://doi.org/10.3390/w13162241
Chicago/Turabian StyleYuan, Niannian, Yujiang Xiong, Yalong Li, Baokun Xu, and Fengli Liu. 2021. "Experimental Study of the Effect of Controlled Drainage on Soil Water and Nitrogen Balance" Water 13, no. 16: 2241. https://doi.org/10.3390/w13162241
APA StyleYuan, N., Xiong, Y., Li, Y., Xu, B., & Liu, F. (2021). Experimental Study of the Effect of Controlled Drainage on Soil Water and Nitrogen Balance. Water, 13(16), 2241. https://doi.org/10.3390/w13162241
        
                                                
