Comparison of Detecting and Quantitating SARS-CoV-2 in Wastewater Using Moderate-Speed Centrifuged Solids versus an Ultrafiltration Method
Abstract
:1. Introduction
2. Materials and Methods
2.1. Wastewater Samples
2.2. Ultrafiltration Method
2.3. Moderate-Speed Centrifuged Solids Method
2.4. RNA Extraction
2.5. RT-qPCR
2.6. Quality Control Processes
2.7. PMMoV Quantification
2.8. Statistical Analysis
3. Results
3.1. Optimization of the Weight of Moderate-Speed Centrifuged Wastewater Solids Used as Input and Effect of pH Adjustment
3.2. Effect of Increasing Nucleic Acid Elution Volume
3.3. Input Sample Units of Measure: Weight versus Volume
3.4. 229 E Virus Recovery Data
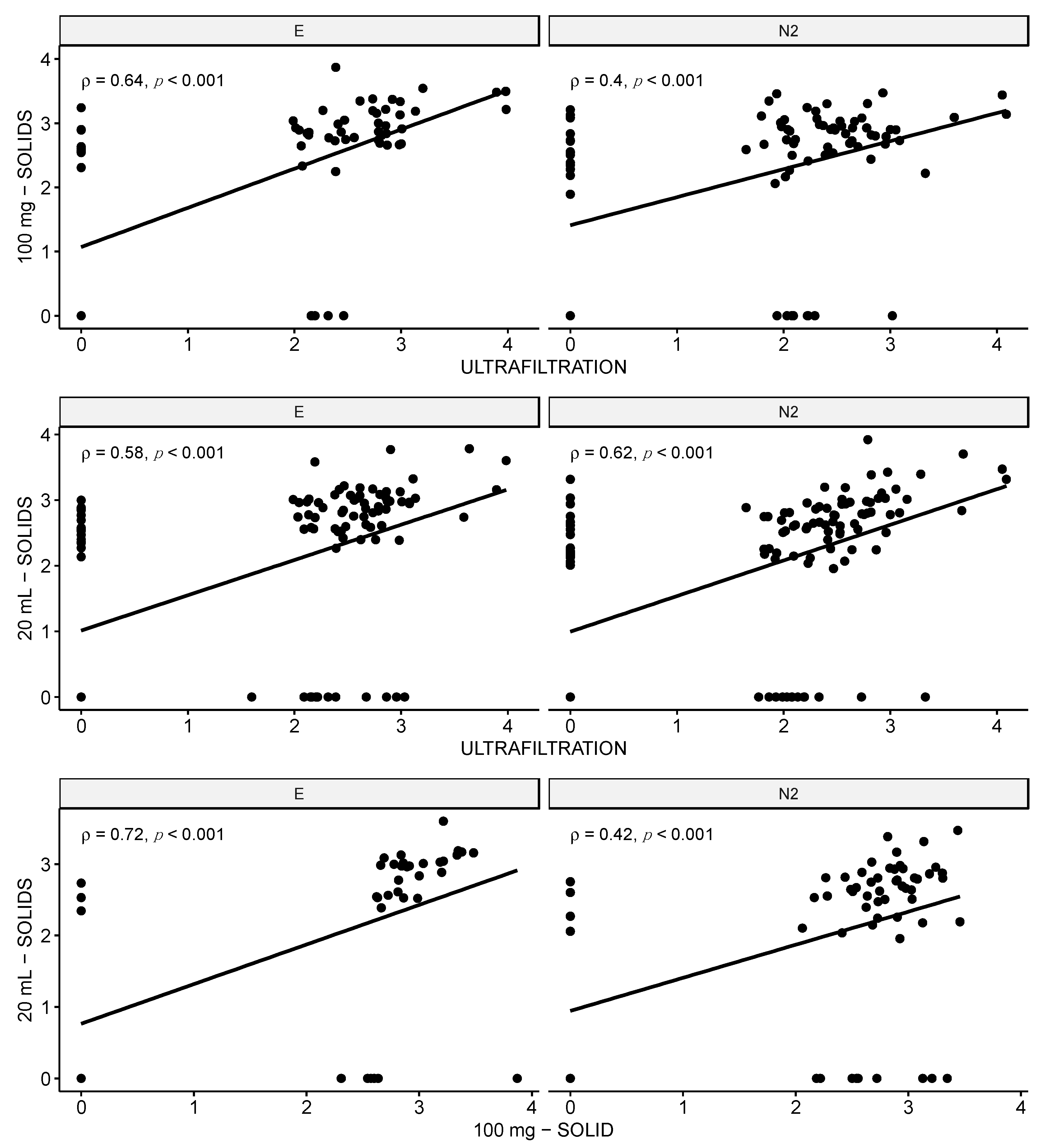
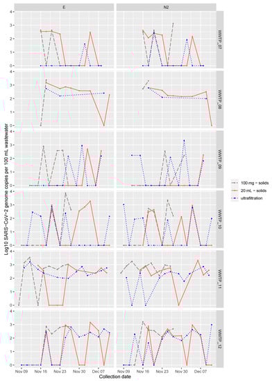
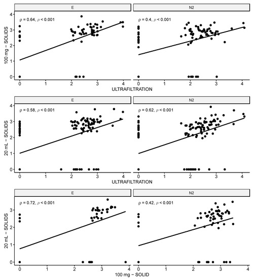
3.5. Evaluation of Wastewater Moderate-Speed Centrifuged Solids for Quantification of SARS-CoV-2 Levels
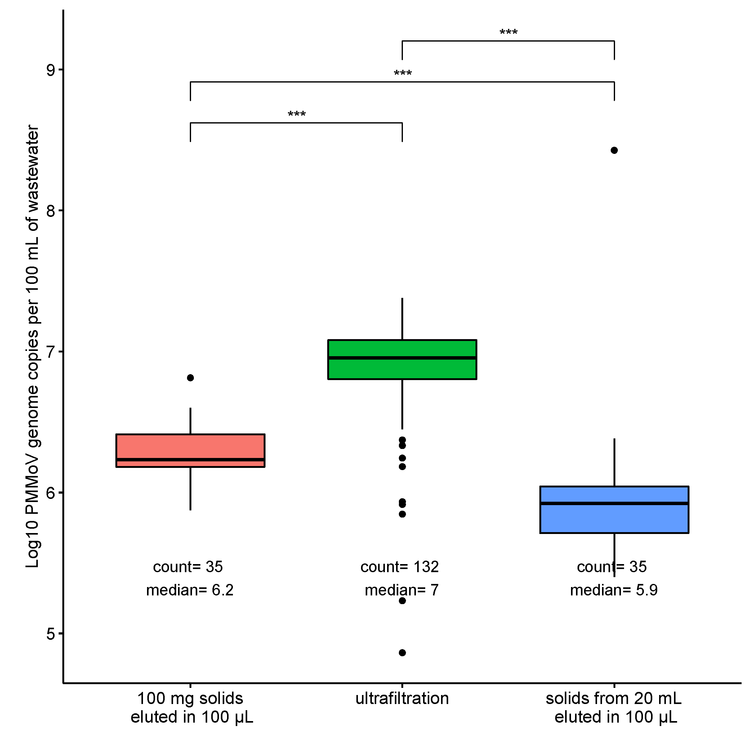
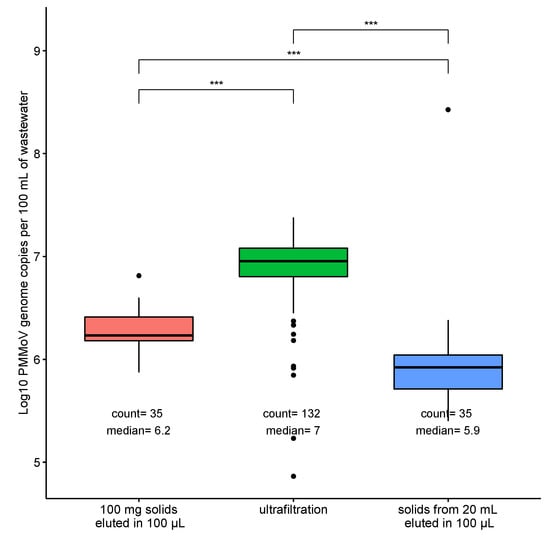
3.6. Comparison of PMMoV Levels
3.7. Cost and Turnaround Time Comparison between Moderate-Speed Centrifuged Solids-Based Method and Ultrafiltration
4. Discussion
5. Conclusions
Supplementary Materials
Author Contributions
Funding
Institutional Review Board Statement
Informed Consent Statement
Data Availability Statement
Acknowledgments
Conflicts of Interest
References
- Peccia, J.; Zulli, A.; Brackney, D.E.; Grubaugh, N.D.; Kaplan, E.H.; Casanovas-Massana, A.; Ko, A.I.; Malik, A.A.; Wang, D.; Wang, M.; et al. Measurement of SARS-CoV-2 RNA in Wastewater Tracks Community Infection Dynamics. Nat. Biotechnol. 2020, 38, 1164–1167. [Google Scholar] [CrossRef] [PubMed]
- D’Aoust, P.M.; Graber, T.E.; Mercier, E.; Montpetit, D.; Alexandrov, I.; Neault, N.; Baig, A.T.; Mayne, J.; Zhang, X.; Alain, T.; et al. Catching a Resurgence: Increase in SARS-CoV-2 Viral RNA Identified in Wastewater 48 h before COVID-19 Clinical Tests and 96 h before Hospitalizations. Sci. Total Environ. 2021, 770, 145319. [Google Scholar] [CrossRef] [PubMed]
- Naughton, C.; Roman, F.; Alvarado, A.; Tariqi, A.; Deeming, M.; Bibby, K.; Bivins, A.; Rose, J.; Medema, G.; Ahmed, W.; et al. COVID19 Poops Dashboard. Available online: https://www.covid19wbec.org/covidpoops19 (accessed on 27 July 2021).
- Manor, Y.; Shulman, L.M.; Kaliner, E.; Hindiyeh, M.; Ram, D.; Sofer, D.; Moran-Gilad, J.; Lev, B.; Grotto, I.; Gamzu, R.; et al. Intensified Environmental Surveillance Supporting the Response to Wild Poliovirus Type 1 Silent Circulation in Israel, 2013. Eurosurveillance 2014, 19, 20708. [Google Scholar] [CrossRef]
- Poyry, T.; Stenvik, M.; Hovi, T. Viruses in Sewage Waters during and after a Poliomyelitis Outbreak and Subsequent Nationwide Oral Poliovirus Vaccination Campaign in Finland. Appl. Environ. Microbiol. 1988, 54, 371–374. [Google Scholar] [CrossRef] [Green Version]
- Fumian, T.M.; Fioretti, J.M.; Lun, J.H.; dos Santos, I.A.L.; White, P.A.; Miagostovich, M.P. Detection of Norovirus Epidemic Genotypes in Raw Sewage Using next Generation Sequencing. Environ. Int. 2019, 123, 282–291. [Google Scholar] [CrossRef] [PubMed]
- Aw, T.G.; Gin, K.Y.H. Environmental Surveillance and Molecular Characterization of Human Enteric Viruses in Tropical Urban Wastewaters. J. Appl. Microbiol. 2010, 109, 716–730. [Google Scholar] [CrossRef]
- Schrader, C.; Schielke, A.; Ellerbroek, L.; Johne, R. PCR Inhibitors—Occurrence, Properties and Removal. J. Appl. Microbiol. 2012, 113, 1014–1026. [Google Scholar] [CrossRef]
- Sims, N.; Kasprzyk-Hordern, B. Future Perspectives of Wastewater-Based Epidemiology: Monitoring Infectious Disease Spread and Resistance to the Community Level. Environ. Int. 2020, 139, 105689. [Google Scholar] [CrossRef]
- Ahmed, W.; Bivins, A.; Bertsch, P.M.; Bibby, K.; Gyawali, P.; Sherchan, S.P.; Simpson, S.L.; Thomas, K.V.; Verhagen, R.; Kitajima, M.; et al. Intraday Variability of Indicator and Pathogenic Viruses in 1-h and 24-h Composite Wastewater Samples: Implications for Wastewater-Based Epidemiology. Environ. Res. 2021, 193, 110531. [Google Scholar] [CrossRef] [PubMed]
- Friedler, E.; Butler, D.; Alfiya, Y. Wastewater composition. In Source Separation and Decentralization for Wastewater Management; Larse, T., Udert, K., Lienert, J., Eds.; IWA Publishing: London, UK, 2013; ISBN 9781780401072. [Google Scholar]
- La Rosa, G.; Bonadonna, L.; Lucentini, L.; Kenmoe, S.; Suffredini, E. Coronavirus in Water Environments: Occurrence, Persistence and Concentration Methods—A Scoping Review. Water Res. 2020, 179, 115899. [Google Scholar] [CrossRef] [PubMed]
- Haramoto, E.; Katayama, H.; Ohgaki, S. Detection of Noroviruses in Tap Water in Japan by Means of a New Method for Concentrating Enteric Viruses in Large Volumes of Freshwater. Appl. Environ. Microbiol. 2004, 70, 2154–2160. [Google Scholar] [CrossRef] [Green Version]
- Qiu, Y.; Lee, B.E.; Ruecker, N.J.; Neumann, N.; Ashbolt, N.; Pang, X. A One-Step Centrifugal Ultrafiltration Method to Concentrate Enteric Viruses from Wastewater. J. Virol. Methods 2016, 237, 150–153. [Google Scholar] [CrossRef] [PubMed]
- Alygizakis, N.; Markou, A.N.; Rousis, N.I.; Galani, A.; Avgeris, M.; Adamopoulos, P.G.; Scorilas, A.; Lianidou, E.S.; Paraskevis, D.; Tsiodras, S.; et al. Analytical Methodologies for the Detection of SARS-CoV-2 in Wastewater: Protocols and Future Perspectives. TrAC Trends Anal. Chem. 2021, 134, 116125. [Google Scholar] [CrossRef]
- Ahmed, W.; Bertsch, P.M.; Bivins, A.; Bibby, K.; Farkas, K.; Gathercole, A.; Haramoto, E.; Gyawali, P.; Korajkic, A.; McMinn, B.R.; et al. Comparison of Virus Concentration Methods for the RT-QPCR-Based Recovery of Murine Hepatitis Virus, a Surrogate for SARS-CoV-2 from Untreated Wastewater. Sci. Total Environ. 2020, 739, 139960. [Google Scholar] [CrossRef] [PubMed]
- Kitamura, K.; Sadamasu, K.; Muramatsu, M.; Yoshida, H. Efficient Detection of SARS-CoV-2 RNA in the Solid Fraction of Wastewater. Sci. Total Environ. 2021, 763, 144587. [Google Scholar] [CrossRef]
- D’Aoust, P.M.; Mercier, E.; Montpetit, D.; Jia, J.-J.; Alexandrov, I.; Neault, N.; Baig, A.T.; Mayne, J.; Zhang, X.; Alain, T.; et al. Quantitative Analysis of SARS-CoV-2 RNA from Wastewater Solids in Communities with Low COVID-19 Incidence and Prevalence. Water Res. 2021, 188, 116560. [Google Scholar] [CrossRef] [PubMed]
- Pecson, B.M.; Darby, E.; Haas, C.N.; Amha, Y.M.; Bartolo, M.; Danielson, R.; Dearborn, Y.; di Giovanni, G.; Ferguson, C.; Fevig, S.; et al. Reproducibility and Sensitivity of 36 Methods to Quantify the SARS-CoV-2 Genetic Signal in Raw Wastewater: Findings from an Interlaboratory Methods Evaluation in the U.S. Environ. Sci. Water Res. Technol. 2021, 7, 504–520. [Google Scholar] [CrossRef]
- Chik, A.H.S.; Glier, M.B.; Servos, M.; Mangat, C.S.; Pang, X.-L.; Qiu, Y.; D’Aoust, P.M.; Burnet, J.-B.; Delatolla, R.; Dorner, S.; et al. Comparison of Approaches to Quantify SARS-CoV-2 in Wastewater Using RT-QPCR: Results and Implications from a Collaborative Inter-Laboratory Study in Canada. J. Environ. Sci. 2021, 107, 218–229. [Google Scholar] [CrossRef]
- Ye, Y.; Ellenberg, R.M.; Graham, K.E.; Wigginton, K.R. Survivability, Partitioning, and Recovery of Enveloped Viruses in Untreated Municipal Wastewater. Environ. Sci. Technol. 2016, 50, 5077–5085. [Google Scholar] [CrossRef]
- Peccia, J.; Zulli, A.; Brackney, D.E.; Grubaugh, N.D.; Kaplan, E.H.; Casanovas-Massana, A.; Ko, A.I.; Malik, A.A.; Wang, D.; Wang, M.; et al. SARS-CoV-2 RNA Concentrations in Primary Municipal Sewage Sludge as a Leading Indicator of COVID-19 Outbreak Dynamics. medRxiv 2020. [Google Scholar] [CrossRef]
- Graham, K.E.; Loeb, S.K.; Wolfe, M.K.; Catoe, D.; Sinnott-Armstrong, N.; Kim, S.; Yamahara, K.M.; Sassoubre, L.M.; Mendoza Grijalva, L.M.; Roldan-Hernandez, L.; et al. SARS-CoV-2 RNA in Wastewater Settled Solids Is Associated with COVID-19 Cases in a Large Urban Sewershed. Environ. Sci. Technol. 2021, 55, 488–498. [Google Scholar] [CrossRef]
- Kocamemi, B.A.; Kurt, H.; Sait, A.; Sarac, F.; Saatci, A.M.; Pakdemirli, B. SARS-CoV-2 Detection in Istanbul Wastewater Treatment Plant Sludges. medRxiv 2020. [Google Scholar] [CrossRef]
- Tomasino, M.P.; Semedo, M.; Vieira e Moreira, P.; Ferraz, E.; Rocha, A.; Carvalho, M.F.; Magalhães, C.; Mucha, A.P. SARS-CoV-2 RNA Detected in Urban Wastewater from Porto, Portugal: Method Optimization and Continuous 25-Week Monitoring. Sci. Total Environ. 2021, 792, 148467. [Google Scholar] [CrossRef]
- Balboa, S.; Mauricio-Iglesias, M.; Rodriguez, S.; Martínez-Lamas, L.; Vasallo, F.J.; Regueiro, B.; Lema, J.M. The Fate of SARS-COV-2 in WWTPS Points out the Sludge Line as a Suitable Spot for Detection of COVID-19. Sci. Total Environ. 2021, 772, 145268. [Google Scholar] [CrossRef] [PubMed]
- Markt, R.; Mayr, M.; Peer, E.; Wagner, A.O.; Lackner, N.; Insam, H. Detection and Stability of SARS-CoV-2 Fragments in Wastewater: Impact of Storage Temperature. medRxiv 2021. [Google Scholar] [CrossRef]
- Pabbaraju, K.; Wong, A.A.; Douesnard, M.; Ma, R.; Gill, K.; Dieu, P.; Fonseca, K.; Zelyas, N.; Tipples, G.A. Development and Validation of Reverse Transcriptase-PCR Assays for the Testing of SARS-CoV-2. Off. J. Assoc. Med. Microbiol. Infect. Dis. Can. 2021, 6, 16–22. [Google Scholar] [CrossRef]
- Lu, X.; Wang, L.; Sakthivel, S.K.; Whitaker, B.; Murray, J.; Kamili, S.; Lynch, B.; Malapati, L.; Burke, S.A.; Harcourt, J.; et al. US CDC Real-Time Reverse Transcription PCR Panel for Detection of Severe Acute Respiratory Syndrome Coronavirus 2. Emerg. Infect. Dis. 2020, 26, 8. [Google Scholar] [CrossRef] [PubMed]
- Vijgen, L.; Keyaerts, E.; Moës, E.; Maes, P.; Duson, G.; van Ranst, M. Development of One-Step, Real-Time, Quantitative Reverse Transcriptase PCR Assays for Absolute Quantitation of Human Coronaviruses OC43 and 229E. J. Clin. Microbiol. 2005, 43, 5452–5456. [Google Scholar] [CrossRef] [Green Version]
- Haugland, R.A.; Siefring, S.C.; Wymer, L.J.; Brenner, K.P.; Dufour, A.P. Comparison of Enterococcus Measurements in Freshwater at Two Recreational Beaches by Quantitative Polymerase Chain Reaction and Membrane Filter Culture Analysis. Water Res. 2005, 39, 559–568. [Google Scholar] [CrossRef]
- Zhang, T.; Breitbart, M.; Lee, W.H.; Run, J.Q.; Wei, C.L.; Soh, S.W.; Hibberd, M.L.; Liu, E.T.; Rohwer, F.; Ruan, Y. RNA Viral Community in Human Feces: Prevalence of Plant Pathogenic Viruses. PLoS Biol. 2006, 4, e3. [Google Scholar] [CrossRef] [Green Version]
- Pembury Smith, M.Q.R.; Ruxton, G.D. Effective Use of the McNemar Test. Behav. Ecol. Sociobiol. 2020, 74, 133. [Google Scholar] [CrossRef]
- Lachenbruch, P.A. On the Sample Size for Studies Based upon Mcnemar’s Test. Stat. Med. 1992, 11, 1521–1525. [Google Scholar] [CrossRef]
- Vuolo, M.; Uggen, C.; Lageson, S. Statistical Power in Experimental Audit Studies: Cautions and Calculations for Matched Tests With Nominal Outcomes. Sociol. Methods Res. 2015, 45, 260–303. [Google Scholar] [CrossRef]
- Lu, Y.; Bean, J.A. On the Sample Size for One-Sided Equivalence of Sensitivities Based upon McNemar’s Test. Stat. Med. 1995, 14, 1831–1839. [Google Scholar] [CrossRef] [PubMed]
- Wolfe, M.K.; Archana, A.; Catoe, D.; Coffman, M.M.; Dorevich, S.; Graham, K.E.; Kim, S.; Grijalva, L.M.; Roldan-Hernandez, L.; Silverman, A.I.; et al. Scaling of SARS-CoV-2 RNA in Settled Solids from Multiple Wastewater Treatment Plants to Compare Incidence Rates of Laboratory-Confirmed COVID-19 in Their Sewersheds. Environ. Sci. Technol. Lett. 2021, 8, 398–404. [Google Scholar] [CrossRef]
- Foladori, P.; Cutrupi, F.; Segata, N.; Manara, S.; Pinto, F.; Malpei, F.; Bruni, L.; la Rosa, G. SARS-CoV-2 from Faeces to Wastewater Treatment: What Do We Know? A Review. Sci. Total Environ. 2020, 743, 140444. [Google Scholar] [CrossRef] [PubMed]
- Gundy, P.M.; Gerba, C.P.; Pepper, I.L. Survival of Coronaviruses in Water and Wastewater. Food Environ. Virol. 2008, 1, 10. [Google Scholar] [CrossRef] [Green Version]




| Method a | Method b | Concordant Positive | Concordant Negative | Discordant a + b − | Discordant a − b + | n | p-Value 1 |
|---|---|---|---|---|---|---|---|
| 50 mg solids, pH not adjusted, 50µL elution | Ultrafiltration | 14 | 37 | 10 | 12 | 73 | 0.68 |
| 50 mg solids, pH 9.6–10, 50 µL elution | Ultrafiltration | 9 | 39 | 7 | 17 | 72 | 0.04 |
| 100 mg solids, pH not adjusted, 50 µL elution | Ultrafiltration | 15 | 28 | 14 | 11 | 68 | 0.55 |
| 100 mg solids, pH 9.6–10, 50 µL elution | Ultrafiltration | 13 | 37 | 7 | 13 | 70 | 0.19 |
| 100 mg solids, pH not adjusted 100 µL elution | Ultrafiltration | 57 | 13 | 17 | 9 | 96 | 0.12 |
| Solids from 20 mL, pH not adjusted 100 µL elution | 100 mg solid, pH not adjusted 100 µL elution | 45 | 6 | 4 | 10 | 65 | 0.12 |
| Solids from 20 mL, pH not adjusted 100 µL elution | Ultrafiltration | 74 | 26 | 23 | 16 | 139 | 0.26 |
| Method | Fraction of Samples with Negative or Delayed (≥34) Salmon DNA Ct Values | % | Chi-Square Statistic | p-Value |
|---|---|---|---|---|
| 50 mg solids, pH not adjusted, 50 µL elution | 32/73 | 43.8 | 43.77 | <0.001 |
| 50 mg solids, pH 9.5–10, 50 µL elution | 28/72 | 38.9 | 33.303 | <0.001 |
| 100 mg solids, pH not adjusted, 50 µL elution | 38/68 | 55.9 | 69.691 | <0.001 |
| 100 mg solids, pH 9.5–10, 50 µL elution | 26/70 | 37.1 | 29.468 | <0.001 |
| 100 mg solids, pH not adjusted, 100 µL elution | 10/96 | 10.4 | 0.0040 | 0.47 |
| Solids from 20 mL, pH not adjusted, 100 µL elution | 4/139 | 3.0 | 4.8815 | 0.014 |
| Ultrafiltration | 23/243 | 9.5 | - | - |
| Step | Ultrafiltration | Moderate-Speed Centrifuged Solids 1 |
|---|---|---|
| Costs per sample (CAD): | ||
| Virus extraction and plastic ware (pipette tips, microfuge tubes, etc.) | 5 | 4 |
| Virus concentration (Centricon™ filter) | 44 | 0 |
| RNA extraction reagents | 6 | 6 |
| RT-PCR and PCR reagents 2 | 35 | 35 |
| Total cost of consumables | 90 | 45 |
| Minimum turnaround time 3: | ||
| Separation of solids/liquid fractions | 15 min | 15 min |
| Virus extraction and concentration: pH adjustments and filtration through Centricon™ column | 1 h 50 min | Not applicable |
| RNA extraction | 1 h | 1 h |
| RT-PCR | 1 h 15 min | 1 h 15 min |
| Total minimum turnaround time | 4 h 20 min | 2 h 30 min |
| Research Group | Solids Type | Method for Separation of Solids 1 | PEG Addition | PCR Inhibition Test |
|---|---|---|---|---|
| Peccia et al. [1] | Primary sludge | None, sludge used directly for RNA extraction | No | Samples (n = 5) were spiked with a target RNA and tested undiluted and diluted (5× and 25×). No significant differences in Ct values were identified between diluting versus no diluting samples |
| Balboa et al. [26] | Primary sludge, biological sludge, thickened sludge, digested sludge | None, sludge used directly for PEG precipitation | Yes | Used RT-qPCR Allplex™ internal control. Inhibition was identified in 2 out of 50 samples |
| Kitamura et al. [17] | Raw influent solids | 1840× g for 30 min | No | Used PMMoV as indicator of RT-PCR inhibition. PMMoV levels were similar between WWTPs but were lower in solids compared to those in the supernatant/liquid fraction |
| D’Aoust et al. [2,18] | Influent post grit solids, primary clarified sludge | Gravity settled for 1h at 4 °C | Yes | Inhibition identified by comparing RT-qPCR and RT-ddPCR results and after testing diluted samples (2× and 5×) |
| Graham et al. [23] Wolfe et al. [37] | Primary settled solids | 24,000× g for 30 min at 4 °C | Yes | Identified at high frequency after testing undiluted and diluted (10× and 50×) samples. |
| Kocamemi et al. [24] | Primary sludge, waste activated sludge | 7471× g for 30 min at 4 °C | Yes | Did not report inhibition tests |
| Tomasino et al. [25] | Raw influent solids | 4700× g for 30 min at 4 °C | No | Did not report inhibition tests |
Publisher’s Note: MDPI stays neutral with regard to jurisdictional claims in published maps and institutional affiliations. |
© 2021 by the authors. Licensee MDPI, Basel, Switzerland. This article is an open access article distributed under the terms and conditions of the Creative Commons Attribution (CC BY) license (https://creativecommons.org/licenses/by/4.0/).
Share and Cite
Hasing, M.; Yu, J.; Qiu, Y.; Maal-Bared, R.; Bhavanam, S.; Lee, B.; Hrudey, S.; Pang, X. Comparison of Detecting and Quantitating SARS-CoV-2 in Wastewater Using Moderate-Speed Centrifuged Solids versus an Ultrafiltration Method. Water 2021, 13, 2166. https://doi.org/10.3390/w13162166
Hasing M, Yu J, Qiu Y, Maal-Bared R, Bhavanam S, Lee B, Hrudey S, Pang X. Comparison of Detecting and Quantitating SARS-CoV-2 in Wastewater Using Moderate-Speed Centrifuged Solids versus an Ultrafiltration Method. Water. 2021; 13(16):2166. https://doi.org/10.3390/w13162166
Chicago/Turabian StyleHasing, Maria, Jiaao Yu, Yuanyuan Qiu, Rasha Maal-Bared, Sudha Bhavanam, Bonita Lee, Steve Hrudey, and Xiaoli Pang. 2021. "Comparison of Detecting and Quantitating SARS-CoV-2 in Wastewater Using Moderate-Speed Centrifuged Solids versus an Ultrafiltration Method" Water 13, no. 16: 2166. https://doi.org/10.3390/w13162166
APA StyleHasing, M., Yu, J., Qiu, Y., Maal-Bared, R., Bhavanam, S., Lee, B., Hrudey, S., & Pang, X. (2021). Comparison of Detecting and Quantitating SARS-CoV-2 in Wastewater Using Moderate-Speed Centrifuged Solids versus an Ultrafiltration Method. Water, 13(16), 2166. https://doi.org/10.3390/w13162166

