Hydrodynamics and Free-Flow Characteristics of Piano Key Weirs with Different Plan Shapes
Abstract
:1. Introduction
- to gain new insights into PKW flow physics through studying water surface profiles and velocity fields in inlet keys and nappe aeration and interference in outlet keys;
- to estimate the discharge capacity of PKWs with different plan shapes and analyze their performance based on the findings and observations of the complex flow structure.
2. Effective Parameters
3. Experimental Method
4. Results and Discussion
4.1. Flow Behavior in Inlet Keys
4.2. Flow Behavior in Outlet Keys
4.3. Discharge Coefficient and Efficiency
5. Conclusions
- The water surface drop and recirculation zone, occurring in PKW inlet keys respectively due to the inflow contraction and the sharp-corner entrance, are more severe at higher values of Ho/P, B/w, and A/w. At higher Ho/P values and at larger distances from the weir crest, the passing flow is less affected by the PKW structure. However, by reducing the weir length and apex width, the weir structure effects on the passing flow retrieve;
- While the aeration regimes vary with the weir geometry, Ho/P = 0.1 can be considered as the general threshold for the aerated regime of the tested PKWs (sensitive to weir scale and crest shape). In addition, by increasing B/w and A/w, the flow aeration regimes extend to higher Ho/P values. By comparing the present study and previous studies [42], a PKW has better aeration conditions compared to a labyrinth weir;
- The parameter Bsub/B increases in lower A/w values. Although the standing wave is not formed in a triangular PKW, its Bint/B is larger than that of a rectangular one in low head conditions (Ho/P < 0.5). However, a reverse trend may happen in high head conditions (more pronounced in lower values of B/w). It was shown that the parameters Bsub/B and Bint/B have a decreasing and increasing trend with respect to B/w and Ho/P, respectively;
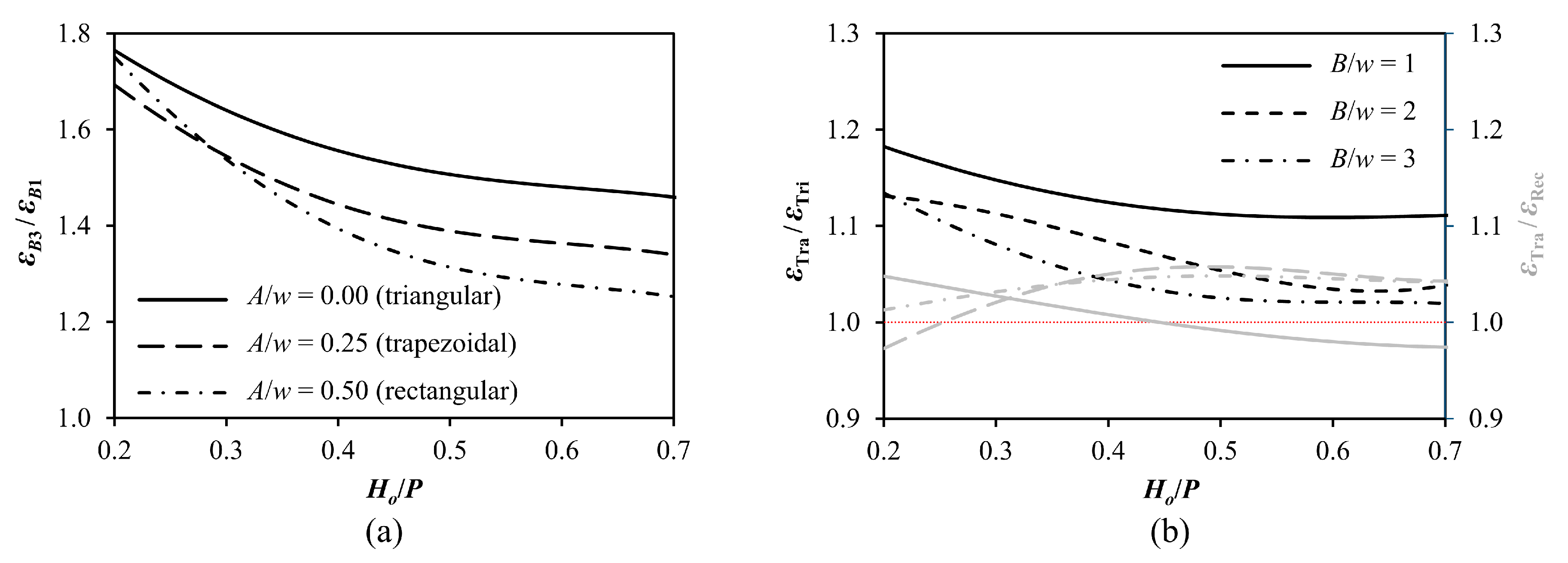
- Although the discharge coefficient has a certain decreasing trend with respect to Ho/P and B/w, it shows a dual trend with the plan shape. Compared to a triangular shape, the higher Cd of a trapezoidal PKW at Ho/P < 0.4 implies that Cd may have an increasing trend with respect to A/w in low head conditions (more data on Ho/P < 0.15 are needed to also include a rectangular shape in this conjecture and fully confirm it). However, it has a decreasing trend with the apex width ratio of Ho/P > 0.4. According to the obtained results, PKW efficiency gains monotonically diminish by increasing Ho/P. For example, by changing Ho/P = 0.2 to 0.7, the benefits of increasing the magnification ratio from B/w = 1 to 3 reduces to less than a third (around 25% gain in discharge capacity);
- While the rectangular plan shape is traditionally considered in PKW prototypes and scientific models, its efficiency is the most only for low-length PKWs (B/w = 1) under high head conditions (Ho/P > 0.5). By assuming that the cost of PKWs is proportional to their body volume, a trapezoidal shape can be selected as the optimal one. Compared to a rectangular shape, a trapezoidal PKW provides a higher discharge efficiency (~5%) with a smaller body volume (~7%) in the broad ranges of Ho/P > 0.25 and B/w ≥ 2, which correspond to the majority of worldwide prototypes. A detailed cost estimation on the different elements of PKWs is needed to confirm this result for a specific project.
Author Contributions
Funding
Institutional Review Board Statement
Informed Consent Statement
Data Availability Statement
Conflicts of Interest
Notations
| A | inlet key (or downstream) apex width |
| B | weir length in streamwise direction |
| Bb | footprint length |
| Bi | inlet key (or downstream) overhang length |
| Bint | interference length |
| Bo | outlet key (or upstream) overhang length |
| Bsub | local submergence length |
| Bwav | standing wave length |
| C | weir body volume |
| CC | correlation coefficient for velocity data measurements |
| Cd | discharge coefficient |
| D | outlet key (or upstream) apex width |
| d | flow depth |
| g | acceleration due to gravity |
| h | approach flow depth over the weir |
| Ho | total upstream head |
| L | total length of PKW |
| Lkey | length of a single key |
| N | number of keys |
| P | weir heigh |
| Q | weir discharge |
| q | unit discharge |
| R | Reynolds number |
| Rcrest | radius of rounded crest |
| Se | crest shape representative |
| SNR | signal-to-noise ratio |
| So | longitudinal bed slope |
| t | weir wall thickness |
| U | Velocity vector |
| u, v | time-averaged velocity in the respective x and y-direction |
| V | average cross-sectional velocity of approaching flow |
| W | weir (or channel) width |
| W | Weber number |
| w | cycle width |
| x, y, z | longitudinal, transverse, and vertical directions, respectively |
| α | sidewall angle |
| ε | discharge efficiency |
| μ | dynamic viscosity |
| ρ | fluid density |
| σ | surface tension |
| Θ | angle between velocity vectors and weir sidewall |
References
- Fowler, H.; Wilby, R. Detecting changes in seasonal precipitation extremes using regional climate model projections: Implications for managing fluvial flood risk. Water Resour. Res. 2010, 46, W03525. [Google Scholar] [CrossRef] [Green Version]
- Suprapto, M. Increase spillway capacity using Labyrinth Weir. Procedia Eng. 2013, 54, 440–446. [Google Scholar] [CrossRef] [Green Version]
- Schleiss, A.J. From labyrinth to piano key weirs: A historical review. In Labyrinth and Piano Key Weirs—PKW 2011; CRC press: Liège, Belgium, 2011; pp. 3–15. [Google Scholar]
- Petley, D. Edenville Dam: A Major Dam Vollapse in Michigan. Available online: https://blogs.agu.org/landslideblog/2020/05/20/edenville-dam-1/ (accessed on 20 May 2020).
- Crookston, B.; Tullis, B. Hydraulic design and analysis of labyrinth weirs. I: Discharge relationships. J. Irrig. Drain. Eng. 2013, 139, 363–370. [Google Scholar]
- Tiwari, H.; Sharma, N. Developments to improve hydraulic competence of spillways. Aquat. Procedia 2015, 4, 841–846. [Google Scholar] [CrossRef]
- Savage, B.M.; Brenchley, S. Fish passage using broad-crested labyrinth weirs for low-head dams. Int. J. River Basin Manag. 2013, 11, 277–286. [Google Scholar] [CrossRef]
- Azimi, A.H.; Hakim, S.S. Hydraulics of flow over rectangular labyrinth weirs. Irrig. Sci. 2019, 37, 183–193. [Google Scholar] [CrossRef]
- Sangsefidi, Y.; MacVicar, B.; Ghodsian, M.; Mehraein, M.; Torabi, M.; Savage, B.M. Evaluation of flow characteristics in labyrinth weirs using response surface methodology. Flow Meas. Instrum. 2019, 69, 101617. [Google Scholar] [CrossRef]
- Carollo, F.G.; Ferro, V.; Pampalone, V. Testing the outflow process over a triangular labyrinth weir. J. Irrig. Drain. Eng. 2017, 143, 06017007. [Google Scholar] [CrossRef]
- Bilhan, O.; Aydin, M.C.; Emiroglu, M.E.; Miller, C.J. Experimental and CFD analysis of circular labyrinth weirs. J. Irrig. Drain. Eng. 2018, 144, 04018007. [Google Scholar] [CrossRef]
- Tajari, M.; Dehghani, A.A.; Meftah Halaghi, M. Semi-analytical solution and numerical simulation of water surface profile along duckbill weir. ISH J. Hydraul. Eng. 2018, 27, 65–72. [Google Scholar] [CrossRef]
- Sangsefidi, Y.; Mehraein, M.; Ghodsian, M.; Motalebizadeh, M.R. Evaluation and analysis of flow over arced weirs using traditional and response surface methodologies. J. Hydraul. Eng. 2017, 143, 04017048. [Google Scholar] [CrossRef]
- Crookston, B.M.; Erpicum, S.; Tullis, B.P.; Laugier, F. Hydraulics of Labyrinth and Piano Key Weirs: 100 Years of Prototype Structures, Advancements, and Future Research Needs. J. Hydraul. Eng. 2019, 145, 02519004. [Google Scholar] [CrossRef]
- Lempérière, F.; Ouamane, A. The Piano Keys weir: A new cost-effective solution for spillways. Int. J. Hydropower Dams 2003, 10, 144–149. [Google Scholar]
- Anderson, R.; Tullis, B. Comparison of piano key and rectangular labyrinth weir hydraulics. J. Hydraul. Eng. 2012, 138, 358–361. [Google Scholar] [CrossRef]
- Anderson, R.; Tullis, B. Piano key weir hydraulics and labyrinth weir comparison. J. Irrig. Drain. Eng. 2013, 139, 246–253. [Google Scholar] [CrossRef]
- Laugier, F.; Vermeulen, J.; Blancher, B. Overview of design and construction of 11 piano key weirs spillways developed in France by EDF from 2003 to 2016. In Labyrinth and Piano Key Weirs III—PKW 2017; CRC Press: Qui Nhơn, Vietnam, 2017; pp. 37–51. [Google Scholar]
- Erpicum, S.; Laugier, F.; Boillat, J.-L.; Pirotton, M.; Reverchon, B.; Schleiss, A. Labyrinth and Piano Key Weirs—PKW 2011; CRC Press: Liège, Belgium, 2011. [Google Scholar]
- Erpicum, S.; Laugier, F.; Pfister, M.; Pirotton, M.; Cicero, G.-M.; Schleiss, A.J. Labyrinth and Piano Key Weirs II—PKW 2013; CRC Press: Paris, France, 2013. [Google Scholar]
- Erpicum, S.; Laugier, F.; Ho Ta Khanh, M.; Pfister, M. Labyrinth and Piano Key Weirs III—PKW 2017; CRC press: Qui Nhơn, Vietnam, 2017. [Google Scholar]
- Lempérière, F. New Labyrinth Weirs Triple the Spillways Discharge–Data for an Easy Design of PK Weir. 2013. Available online: http://www.hydrocoop.org/new-labyrinth-weirs-triple-the-spillways-discharge/ (accessed on 31 July 2021).
- Laugier, F.; Pralong, J.; Blancher, B. Influence of structural thickness of sidewalls on PKW spillway discharge capacity. In Labyrinth and Piano Key Weirs—PKW 2011; CRC press: Liège, Belgium, 2011; pp. 159–165. [Google Scholar]
- Leite Ribeiro, M.; Pfister, M.; Schleiss, A.J.; Boillat, J.-L. Hydraulic design of A-type piano key weirs. J. Hydraul. Res. 2012, 50, 400–408. [Google Scholar] [CrossRef] [Green Version]
- Kabiri-Samani, A.; Javaheri, A. Discharge coefficients for free and submerged flow over Piano Key weirs. J. Hydraul. Res. 2012, 50, 114–120. [Google Scholar] [CrossRef]
- Cicero, G.; Delisle, J. Effects of the crest shape on the discharge efficiency of a type A piano key weir. In Labyrinth and Piano Key Weirs II—PKW 2013; CRC Press: Paris, France, 2013; pp. 41–48. [Google Scholar]
- Machiels, O.; Pirotton, M.; Pierre, A.; Dewals, B.; Erpicum, S. Experimental parametric study and design of Piano Key Weirs. J. Hydraul. Res. 2014, 52, 326–335. [Google Scholar] [CrossRef]
- Safarzadeh, A.; Noroozi, B. 3D hydrodynamics of trapezoidal piano key spillways. Int. J. Civ. Eng. 2017, 15, 89–101. [Google Scholar] [CrossRef]
- Mehboudi, A.; Attari, J.; Hosseini, S. Experimental study of discharge coefficient for trapezoidal piano key weirs. Flow Meas. Instrum. 2016, 50, 65–72. [Google Scholar] [CrossRef]
- Cicero, G.; Delisle, J.; Lefebvre, V.; Vermeulen, J. Experimental and numerical study of the hydraulic performance of a trapezoidal Piano Key weir. In Labyrinth and Piano Key Weirs II—PKW 2013; CRC Press: Paris, France, 2013; pp. 265–272. [Google Scholar]
- Machiels, O.; Erpicum, S.; Dewals, B.J.; Archambeau, P.; Pirotton, M. Experimental observation of flow characteristics over a Piano Key Weir. J. Hydraul. Res. 2011, 49, 359–366. [Google Scholar] [CrossRef]
- Li, S.; Li, G.; Jiang, D. Physical and Numerical Modeling of the Hydraulic Characteristics of Type-A Piano Key Weirs. J. Hydraul. Eng. 2020, 146, 06020004. [Google Scholar] [CrossRef]
- Denys, F.; Basson, G.; Strasheim, J. Fluid structure interaction of piano key weirs. In Labyrinth and Piano Key Weirs III—PKW 2017; CRC Press: Qui Nhơn, Vietnam, 2017; pp. 119–126. [Google Scholar]
- Denys, F.J.M. Investigation into Flow-Induced Vibrations of Piano Key Weirs. Ph.D. Thesis, Stellenbosch University, Stellenbosch, South Africa, 2019. [Google Scholar]
- Lefebvre, V.; Vermeulen, J.; Blancher, B. Influence of geometrical parameters on PK-Weirs discharge with 3D numerical analysis. In Labyrinth and Piano Key Weirs II–PKW 2013; CRC press: Paris, France, 2013; pp. 49–56. [Google Scholar]
- Li, S.; Li, G.; Jiang, D.; Ning, J. Influence of auxiliary geometric parameters on discharge capacity of piano key weirs. Flow Meas. Instrum. 2020, 72, 101719. [Google Scholar] [CrossRef]
- Denys, F.J.; Basson, G.R. Unsteady Hydrodynamic Behavior at Piano Key Weirs. J. Hydraul. Eng. 2020, 146, 04020028. [Google Scholar] [CrossRef]
- Kumar, B.; Kadia, S.; Ahmad, Z. Sediment Movement over Type A Piano Key Weirs. J. Irrig. Drain. Eng. 2021, 147, 04021018. [Google Scholar] [CrossRef]
- Pralong, J.; Montarros, F.; Blancher, B.; Laugier, F. A sensitivity analysis of Piano Key Weirs geometrical parameters based on 3D numerical modeling. In Labyrinth and Piano Key Weirs—PKW 2011; CRC Press: Liège, Belgium, 2011; pp. 133–139. [Google Scholar]
- Machiels, O. Experimental Study of the Hydraulic Behavior of Piano Key Weirs. Ph.D. Thesis, University of Liège, Belgium, 2012. [Google Scholar]
- Crookston, B.; Tullis, B. Labyrinth weirs: Nappe interference and local submergence. J. Irrig. Drain. Eng. 2012, 138, 757–765. [Google Scholar] [CrossRef]
- Crookston, B.; Tullis, B. Hydraulic design and analysis of labyrinth weirs. II: Nappe aeration, instability, and vibration. J. Irrig. Drain. Eng. 2013, 139, 371–377. [Google Scholar] [CrossRef]
- Bilhan, O.; Emiroglu, M.E.; Miller, C.J.; Ulas, M. The evaluation of the effect of nappe breakers on the discharge capacity of trapezoidal labyrinth weirs by ELM and SVR approaches. Flow Meas. Instrum. 2018, 64, 71–82. [Google Scholar] [CrossRef]
- Mehboudi, A.; Attari, J.; Hosseini, S.A. Flow regimes over trapezoidal Piano Key Weirs. In Labyrinth and Piano Key Weirs III—PKW 2017; CRC Press: Qui Nhơn, Vietnam, 2017; pp. 65–73. [Google Scholar]
- Vermeulen, J.; Lassus, C.; Pinchard, T. Design of a piano key weir aeration network. In Labyrinth and Piano Key Weirs III—PKW 2017; CRC press: Qui Nhơn, Vietnam, 2017; pp. 127–133. [Google Scholar]
- Lombaard, J. Evaluation of the Influence of Aeration on the Discharge Capacity and Flow Induced Vibrations of Piano Key Weir Spillways. Master’s Thesis, Stellenbosch University, Stellenbosch, South Africa, 2020. [Google Scholar]
- Ettema, R. Hydraulic Modeling: Concepts and Practice; ASCE: Reston, VA, USA, 2013. [Google Scholar]
- Haghnazar, H.; Saneie, M. Impacts of pit distance and location on river sand mining management. Modeling Earth Syst. Environ. 2019, 5, 1463–1472. [Google Scholar] [CrossRef]
- Sangsefidi, Y.; Torabi, M.; Tavakol-Davani, H. Discussion on “Laboratory investigation of the discharge coefficient of flow in arced labyrinth weirs with triangular plans” by Monjezi et al. (2018). Flow Meas. Instrum. 2020, 72, 101709. [Google Scholar] [CrossRef]
- Pfister, M.; Battisacco, E.; De Cesare, G.; Schleiss, A.J. Scale effects related to the rating curve of cylindrically crested Piano Key weirs. In Labyrinth and Piano Key Weirs II—PKW 2013; CRC press: Paris, France, 2013; pp. 73–82. [Google Scholar]
- Erpicum, S.; Tullis, B.P.; Lodomez, M.; Archambeau, P.; Dewals, B.J.; Pirotton, M. Scale effects in physical piano key weirs models. J. Hydraul. Res. 2016, 54, 692–698. [Google Scholar] [CrossRef] [Green Version]
- Haghnazar, H.; Hashemzadeh Ansar, B.; Amini, R.; Saneie, M. Experimental study on appropriate location of river material mining pits regarding extraction and utilization. J Min. Environ. 2019, 10, 163–175. [Google Scholar]
- Falvey, H.T. Hydraulic Design of Labyrinth Weirs; ASCE: Reston, VA, USA, 2002. [Google Scholar]
- Debo, T.; Reese, A. Stormwater management programs. In Municipal Stormwater Management; CRC Press: Boca Raton, FL, USA, 2003. [Google Scholar]
- Wahl, T.L. Analyzing ADV data using WinADV. In Proceedings of the Joint Conference on Water Resource Engineering and Water Resources Planning and Management 2000, Minneapolis, MN, USA, 30 July–2 August 2000; pp. 1–10. [Google Scholar]
- Leite Ribeiro, M.; Pfister, M.; Schleiss, A.J. Overview of Piano Key weir prototypes and scientific model investigations. In Labyrinth and Piano Key Weirs II—PKW 2013; CRC press: Paris, France, 2013; pp. 273–281. [Google Scholar]
- Erpicum, S.; Archambeau, P.; Dewals, B.; Pirotton, M. Hydraulics of piano key weirs: A review. In Labyrinth and Piano Key Weirs III—PKW 2017; CRC Press: Qui Nhơn, Vietnam, 2017; pp. 27–36. [Google Scholar]















water surface profile in outlet key centerline;
water surface profile in inlet key centerline).
water surface profile in outlet key centerline;
water surface profile in inlet key centerline).






| Model | B/w | A/w | L (m) | α (°) | Inlet Keys | Outlet Keys | Head-Discharge Data | |||
|---|---|---|---|---|---|---|---|---|---|---|
| Water Surface Profiles | Velocity Data | Nappe Aeration | Interference Length | Standing Wave Characteristics | ||||||
| Base a | 2.05 | 0.50 | 3.750 | 0 | ■ | ■ | □ | □ | □ | ■ |
| Tri-B1 b | 1.00 | 0.00 | 1.613 | 26.6 | ■ | ■ | ■ | ■ | □ | ■ |
| Tra-B1 | 1.00 | 0.25 | 1.851 | 14.7 | ■ | □ | ■ | □ | □ | ■ |
| Rec-B1 | 1.00 | 0.50 | 2.178 | 0 | ■ | □ | ■ | ■ | □ | ■ |
| Tri-B2 | 2.00 | 0.00 | 3.023 | 14.0 | ■ | ■ | ■ | □ | □ | ■ |
| Tra-B2 | 2.00 | 0.25 | 3.327 | 7.3 | ■ | □ | ■ | □ | ■ | ■ |
| Rec-B2 | 2.00 | 0.50 | 3.678 | 0 | ■ | ■ | ■ | □ | ■ | ■ |
| Tri-B3 | 3.00 | 0.00 | 4.491 | 9.5 | ■ | □ | ■ | ■ | □ | ■ |
| Tra-B3 | 3.00 | 0.25 | 4.819 | 4.8 | ■ | □ | ■ | □ | ■ | ■ |
| Rec-B3 | 3.00 | 0.50 | 5.178 | 0 | ■ | □ | ■ | ■ | ■ | ■ |
| Model | Plane No. | Orientation | x/B | y/w | z/P | Node Numbers | Sketch |
|---|---|---|---|---|---|---|---|
| Base | P1 | Horizontal | 0.00–0.80 | 0.50–0.74 | 0.862 | 30 | ![]() |
| P2 | Horizontal | 0.00–0.80 | 0.50–0.74 | 0.954 | 30 | ||
| Tri-B1 | P1 | Horizontal | 0.18–0.44 | 0.67–0.86 | 0.750 | 56 | ![]() |
| Tri-B2 | P1 | Horizontal | 0.18–0.44 | 0.61–0.87 | 0.750 | 68 | ![]() |
| Rec-B2 | P1 | Horizontal | −0.05–0.65 | 0.55–0.70 | 0.750 | 120 | ![]() |
| P2 | Horizontal | 0.00–0.80 | 0.55–0.73 | 1.100 | 30 | ||
| P3 | Horizontal | 0.00–0.80 | 0.55–0.73 | 1.200 | 30 | ||
| P4 | Vertical | 0.15–0.45 | 0.294 | 0.55–0.85 | 128 | ||
| P5 | Vertical | 0.15–0.25 | 0.726 | 1.13–1.28 | 77 | ||
| P6 | Vertical | 0.000 | 0.78–0.94 | 1.13–1.33 | 81 |
| Model | B/w | A/w | Ho/P | a1 | a2 | a3 | a4 | R2 | Errorave (%) | Errormax (%) |
|---|---|---|---|---|---|---|---|---|---|---|
| Base | 2.05 | 0.50 | 0.10‒0.45 | −0.1648 | 1.6960 | −1.6280 | 0.7253 | 0.9994 | 0.3 | 0.8 |
| Tri-B1 | 1.00 | 0.00 | 0.35‒1.00 | −0.0213 | 0.4052 | −0.8165 | 0.8137 | 0.9975 | 0.5 | 1.3 |
| Tra-B1 | 1.00 | 0.25 | 0.35‒1.00 | −0.4118 | 1.2077 | −1.3452 | 0.9106 | 0.9991 | 0.2 | 0.8 |
| Rec-B1 | 1.00 | 0.50 | 0.20‒1.00 | −0.3388 | 0.8687 | −0.9368 | 0.7123 | 0.9982 | 0.6 | 1.8 |
| Tri-B2 | 2.00 | 0.00 | 0.15‒0.85 | −1.1316 | 1.9932 | −1.4044 | 0.7073 | 0.9936 | 1.3 | 2.3 |
| Tra-B2 | 2.00 | 0.25 | 0.15‒0.85 | −0.6128 | 1.4386 | −1.3158 | 0.7214 | 0.9966 | 0.8 | 1.8 |
| Rec-B2 | 2.00 | 0.50 | 0.15‒0.85 | −1.2809 | 2.5798 | −1.9019 | 0.7625 | 0.9998 | 0.3 | 0.9 |
| Tri-B3 | 3.00 | 0.00 | 0.15‒0.80 | −0.6919 | 1.5103 | −1.2862 | 0.6248 | 0.9996 | 0.4 | 1.4 |
| Tra-B3 | 3.00 | 0.25 | 0.15‒0.80 | −1.2469 | 2.5371 | −1.9093 | 0.7369 | 0.9993 | 0.7 | 2.0 |
| Rec-B3 | 3.00 | 0.50 | 0.15‒0.80 | −1.3602 | 2.7110 | −1.9634 | 0.7054 | 0.9989 | 0.9 | 1.7 |
| B/w | C × 103 (m3) | ||
|---|---|---|---|
| A/w = 0.00 | A/w = 0.25 | A/w = 0.50 | |
| 1 | 9.3 | 10.3 | 11.2 |
| 2 | 18.6 | 20.1 | 21.7 |
| 3 | 27.8 | 30.0 | 32.2 |
Publisher’s Note: MDPI stays neutral with regard to jurisdictional claims in published maps and institutional affiliations. |
© 2021 by the authors. Licensee MDPI, Basel, Switzerland. This article is an open access article distributed under the terms and conditions of the Creative Commons Attribution (CC BY) license (https://creativecommons.org/licenses/by/4.0/).
Share and Cite
Sangsefidi, Y.; Tavakol-Davani, H.; Ghodsian, M.; Mehraein, M.; Zarei, R. Hydrodynamics and Free-Flow Characteristics of Piano Key Weirs with Different Plan Shapes. Water 2021, 13, 2108. https://doi.org/10.3390/w13152108
Sangsefidi Y, Tavakol-Davani H, Ghodsian M, Mehraein M, Zarei R. Hydrodynamics and Free-Flow Characteristics of Piano Key Weirs with Different Plan Shapes. Water. 2021; 13(15):2108. https://doi.org/10.3390/w13152108
Chicago/Turabian StyleSangsefidi, Yousef, Hassan Tavakol-Davani, Masoud Ghodsian, Mojtaba Mehraein, and Reza Zarei. 2021. "Hydrodynamics and Free-Flow Characteristics of Piano Key Weirs with Different Plan Shapes" Water 13, no. 15: 2108. https://doi.org/10.3390/w13152108
APA StyleSangsefidi, Y., Tavakol-Davani, H., Ghodsian, M., Mehraein, M., & Zarei, R. (2021). Hydrodynamics and Free-Flow Characteristics of Piano Key Weirs with Different Plan Shapes. Water, 13(15), 2108. https://doi.org/10.3390/w13152108





