Evapotranspiration and Its Partitioning in Alpine Meadow of Three-River Source Region on the Qinghai-Tibetan Plateau
Abstract
1. Introduction
2. Materials and Methods
2.1. Study Site Description
2.2. Observation Method
2.3. Modeling
2.4. Model Evaluation
3. Results
3.1. Variation of LAI and Environmental Variables
3.2. Annual Variation of ET
3.3. Evapotranspiration Partitioning
3.4. Diurnal Variation of ET
4. Discussion
- E/ET in our research site was more sensitive to change in LAI. E/ET decreased rapidly with the increase of LAI (paragraph 1 in Section 4.1);
- Grassland ecosystems with lower LAI and/or vegetation coverage may lose more water through ET (paragraph 2 in Section 4.1).
- Net. radiation had little effect on ET partitioning, but had a great influence on ET, E, and T (paragraph 2 in Section 4.2).
- Soil water content at a 5 cm depth affected both ET and ET partitioning in this degraded meadow, especially for the E (paragraph 4 in Section 4.2).
- Vapor pressure deficit had little effect on both ET and ET partitioning (paragraph 5 in Section 4.2).
- Leaf area index is an important factor influencing ET partitioning (paragraph 6 in Section 4.2).
- The model results had good agreement with the ET observed by the eddy covariance system (paragraph 2 in Section 4.3).
4.1. Effects of Vegetation on Evapotranspiration Partitioning
4.2. Effects of Environmental Factors on Evapotranspiration Partitioning
4.3. Validation of the Shuttleworth–Wallace Model
5. Conclusions
Author Contributions
Funding
Data Availability Statement
Acknowledgments
Conflicts of Interest
References
- Garratt, J.R. Sensitivity of Climate Simulations to Land-Surface and Atmospheric Boundary-Layer Treatments-A Review. J. Clim. 1993, 6, 419–448. [Google Scholar] [CrossRef]
- Wang, K.; Dickinson, R.E. A review of global terrestrial evapotranspiration: Observation, modeling, climatology, and climatic variability. Rev. Geophys. 2012, 50, RG2005. [Google Scholar] [CrossRef]
- Trenberth, K.E.; Smith, L.; Qian, T.; Dai, A.; Fasullo, J. Estimates of the Global Water Budget and Its Annual Cycle Using Observational and Model Data. J. Hydrometeorol. 2007, 8, 758–769. [Google Scholar] [CrossRef]
- Wever, L.A.; Flanagan, L.B.; Carlson, P.J. Seasonal and interannual variation in evapotranspiration, energy balance and surface conductance in a northern temperate grassland. Agric. For. Meteorol. 2002, 112, 31–49. [Google Scholar] [CrossRef]
- Williams, D.; Cable, W.; Hultine, K.; Hoedjes, J.; Yepez, E.; Simonneaux, V.; Er-Raki, S.; Boulet, G.; de Bruin, H.; Chehbouni, A.; et al. Evapotranspiration components determined by stable isotope, sap flow and eddy covariance techniques. Agric. For. Meteorol. 2004, 125, 241–258. [Google Scholar] [CrossRef]
- Scott, R.L.; Huxman, T.E.; Cable, W.L.; Emmerich, W.E. Partitioning of evapotranspiration and its relation to carbon dioxide exchange in a Chihuahuan Desert shrubland. Hydrol. Process. 2006, 20, 3227–3243. [Google Scholar] [CrossRef]
- Cavanaugh, M.L.; Kurc, S.A.; Scott, R. Evapotranspiration partitioning in semiarid shrubland ecosystems: A two-site evaluation of soil moisture control on transpiration. Ecohydrology 2010, 4, 671–681. [Google Scholar] [CrossRef]
- Hu, Z.; Li, S.; Yu, G.; Sun, X.; Zhang, L.; Han, S.; Li, Y. Modeling evapotranspiration by combing a two-source model, a leaf stomatal model, and a light-use efficiency model. J. Hydrol. 2013, 501, 186–192. [Google Scholar] [CrossRef]
- Gu, S.; Tang, Y.H.; Cui, X.Y.; Du, M.Y.; Zhao, L.; Li, Y.N.; Xu, S.X.; Zhou, H.K.; Kato, T.; Qi, P.T.; et al. Characterizing evapotranspiration over a meadow ecosystem on the Qinghai-Tibetan Plateau. J. Geophys Res. Atmos. 2008, 113, D8. [Google Scholar] [CrossRef]
- Giambelluca, T.W.; Scholz, F.G.; Bucci, S.J.; Meinzer, F.; Goldstein, G.; Hoffmann, W.A.; Franco, A.; Buchert, M. Evapotranspiration and energy balance of Brazilian savannas with contrasting tree density. Agric. For. Meteorol. 2009, 149, 1365–1376. [Google Scholar] [CrossRef]
- Wang, B.; Jin, H.Y.; Li, Q.; Chen, D.D.; Zhao, L.; Tang, Y.H.; Kato, T.; Gu, S. Diurnal and seasonal variations in the net ecosystem CO2 exchange of a pasture in the three-river source region of the Qinghai−Tibetan Plateau. PLoS ONE 2017, 12, e0170963. [Google Scholar] [CrossRef][Green Version]
- Kool, D.; Agam, N.; Lazarovitch, N.; Heitman, J.L.; Sauer, T.J.; Ben-Gal, A. A review of approaches for evapotranspiration partitioning. Agric. For. Meteorol. 2014, 184, 56–70. [Google Scholar] [CrossRef]
- Shuttleworth, W.J.; Wallace, J.S. Evaporation from sparse crops-an energy combination theory. Q. J. R. Meteorol. Soc. 1985, 111, 839–855. [Google Scholar] [CrossRef]
- Brisson, N.; Itier, B.; L’Hotel, J.C.; Lorendeau, J.Y. Parameterisation of the Shuttleworth-Wallace model to estimate daily maximum transpiration for use in crop models. Ecol. Model. 1998, 107, 159–169. [Google Scholar] [CrossRef]
- Ortega-Farias, S.; Carrasco, M.; Olioso, A.; Acevedo, C.; Poblete-Echeverría, C. Latent heat flux over Cabernet Sauvignon vineyard using the Shuttleworth and Wallace model. Irrig. Sci. 2006, 25, 161–170. [Google Scholar] [CrossRef]
- Zhao, P.; Li, S.; Li, F.; Du, T.; Tong, L.; Kang, S. Comparison of dual crop coefficient method and Shuttleworth–Wallace model in evapotranspiration partitioning in a vineyard of northwest China. Agric. Water Manag. 2015, 160, 41–56. [Google Scholar] [CrossRef]
- Hu, Z.; Yu, G.; Zhou, Y.; Sun, X.; Li, Y.; Shi, P.; Wang, Y.; Song, X.; Zheng, Z.; Zhang, L.; et al. Partitioning of evapotranspiration and its controls in four grassland ecosystems: Application of a two-source model. Agric. For. Meteorol. 2009, 149, 1410–1420. [Google Scholar] [CrossRef]
- Gu, S.; Tang, Y.; Cui, X.; Kato, T.; Du, M.; Li, Y.; Zhao, X. Energy exchange between the atmosphere and a meadow ecosystem on the Qinghai–Tibetan Plateau. Agric. For. Meteorol. 2005, 129, 175–185. [Google Scholar] [CrossRef]
- You, Q.; Xue, X.; Peng, F.; Dong, S.; Gao, Y. Surface water and heat exchange comparison between alpine meadow and bare land in a permafrost region of the Tibetan Plateau. Agric. For. Meteorol. 2017, 232, 48–65. [Google Scholar] [CrossRef]
- Gu, S.; Tang, Y.H.; Du, M.Y.; Kato, T.; Li, Y.N.; Cui, X.Y.; Zhao, X.Q. Short-term variation of CO2 flux in relation to environmental controls in an alpine meadow on the Qinghai-Tibetan Plateau. J. Geophys Res. Atmos. 2003, 108, D21. [Google Scholar] [CrossRef]
- Yao, T.; Thompson, L.G.; Mosbrugger, V.; Zhang, F.; Ma, Y.; Luo, T.; Xu, B.; Yang, X.; Joswiak, D.R.; Wang, W.; et al. Third Pole Environment (TPE). Environ. Dev. 2012, 3, 52–64. [Google Scholar] [CrossRef]
- Zhang, G.; Zhang, Y.; Dong, J.; Xiao, X. Green-up dates in the Tibetan Plateau have continuously advanced from 1982 to 2011. Proc. Natl. Acad. Sci. USA 2013, 110, 4309–4314. [Google Scholar] [CrossRef]
- Guo, B.; Zhou, Y.; Zhu, J.; Liu, W.; Wang, F.; Wang, L.; Yan, F.; Wang, F.; Yang, G.; Luo, W.; et al. Spatial patterns of ecosystem vulnerability changes during 2001–2011 in the three-river source region of the Qinghai-Tibetan Plateau, China. J. Arid. Land 2015, 8, 23–35. [Google Scholar] [CrossRef]
- Qu, B.; Sillanpää, M.; Kang, S.; Yan, F.; Li, Z.; Zhang, H.; Li, C. Export of dissolved carbonaceous and nitrogenous substances in rivers of the “Water Tower of Asia”. J. Environ. Sci. 2018, 65, 53–61. [Google Scholar] [CrossRef] [PubMed]
- Zhang, X.; Liu, X.Q.; Zhang, L.F.; Chen, Z.G.; Zhao, L.; Li, Q.; Chen, D.D.; Gu, S. Comparison of energy partitioning between artificial pasture and degraded meadow in three-river source region on the Qinghai-Tibetan Plateau: A case study. Agric. For. Meteorol. 2019, 271, 251–263. [Google Scholar] [CrossRef]
- Chen, F.; Zhang, J.; Liu, J.; Cao, X.; Hou, J.; Zhu, L.; Xu, X.; Liu, X.; Wang, M.; Wu, D.; et al. Climate change, vegetation history, and landscape responses on the Tibetan Plateau during the Holocene: A comprehensive review. Quat. Sci. Rev. 2020, 243, 106444. [Google Scholar] [CrossRef]
- Liu, X.; Zhang, J.; Zhu, X.; Pan, Y.; Liu, Y.; Zhang, D.; Lin, Z. Spatiotemporal changes in vegetation coverage and its driving factors in the Three-River Headwaters Region during 2000–2011. J. Geogr. Sci. 2014, 24, 288–302. [Google Scholar] [CrossRef]
- Liu, J.; Xu, X.; Shao, Q. Grassland degradation in the “three-river headwaters” region, Qinghai province. J. Geogr. Sci. 2008, 18, 259–273. [Google Scholar] [CrossRef]
- Feng, J.; Wang, T.; Qi, S.; Xie, C. Land degradation in the source region of the Yellow River, northeast Qinghai-Xizang Plateau: Classification and evaluation. Environ. Earth Sci. 2004, 47, 459–466. [Google Scholar] [CrossRef]
- Zhang, Y.; Zhang, S.; Zhai, X.; Xia, J. Runoff variation and its response to climate change in the Three Rivers Source Region. J. Geogr. Sci. 2012, 22, 781–794. [Google Scholar] [CrossRef]
- Li, H.; Liu, G.; Fu, B. Estimation of regional evapotranspiration in alpine area and its response to land use change: A case study in Three-River Headwaters region of Qinghai-Tibet Plateau, China. Chin. Geogr. Sci. 2012, 22, 437–449. [Google Scholar] [CrossRef]
- Zhang, Y.; Zhang, S.; Xia, J.; Hua, D. Temporal and spatial variation of the main water balance components in the three rivers source region, China from 1960 to 2000. Environ. Earth Sci. 2012, 68, 973–983. [Google Scholar] [CrossRef]
- Zeng, C.; Zhang, F.; Wang, Q.; Chen, Y.; Joswiak, D.R. Impact of alpine meadow degradation on soil hydraulic properties over the Qinghai-Tibetan Plateau. J. Hydrol. 2013, 478, 148–156. [Google Scholar] [CrossRef]
- Falge, E.; Baldocchi, D.; Olson, R.; Anthoni, P.; Aubinet, M.; Bernhofer, C.; Burba, G.; Ceulemans, R.J.; Clement, R.; Dolman, A.; et al. Gap filling strategies for defensible annual sums of net ecosystem exchange. Agric. For. Meteorol. 2001, 107, 43–69. [Google Scholar] [CrossRef]
- Zhou, M.C.; Ishidaira, H.; Hapuarachchi, H.P.; Magome, J.; Kiem, A.S.; Takeuchi, K. Estimating potential evapotranspiration using Shuttleworth–Wallace model and NOAA-AVHRR NDVI data to feed a distributed hydrological model over the Mekong River basin. J. Hydrol. 2006, 327, 151–173. [Google Scholar] [CrossRef]
- Farahani, H.J.; Bausch, W.C. Performance of Evapotranspiration Models for Maize—Bare Soil to Closed Canopy. Trans. ASAE 1995, 38, 1049–1059. [Google Scholar] [CrossRef]
- Chen, H.; Huang, J.J.; McBean, E. Partitioning of daily evapotranspiration using a modified shuttleworth-wallace model, random Forest and support vector regression, for a cabbage farmland. Agric. Water Manag. 2020, 228, 105923. [Google Scholar] [CrossRef]
- García-Leoz, V.; Villegas, J.C.; Suescún, D.; Flórez, C.P.; Merino-Martín, L.; Betancur, T.; León, J.D. Land cover effects on water balance partitioning in the Colombian Andes: Improved water availability in early stages of natural vegetation recovery. Reg. Environ. Chang. 2018, 18, 1117–1129. [Google Scholar] [CrossRef]
- Hu, H.; Chen, L.; Liu, H.; Khan, M.Y.A.; Tie, Q.; Zhang, X.; Tian, F. Comparison of the Vegetation Effect on ET Partitioning Based on Eddy Covariance Method at Five Different Sites of Northern China. Remote Sens. 2018, 10, 1755. [Google Scholar] [CrossRef]
- Li, S.-G.; Lai, C.-T.; Lee, G.; Shimoda, S.; Yokoyama, T.; Higuchi, A.; Oikawa, T. Evapotranspiration from a wet temperate grassland and its sensitivity to microenvironmental variables. Hydrol. Process. 2004, 19, 517–532. [Google Scholar] [CrossRef]
- Marques, T.V.; Mendes, K.; Mutti, P.; Medeiros, S.; Silva, L.; Perez-Marin, A.M.; Campos, S.; Lúcio, P.S.; Lima, K.; dos Reis, J.S.; et al. Environmental and biophysical controls of evapotranspiration from Seasonally Dry Tropical Forests (Caatinga) in the Brazilian Semiarid. Agric. For. Meteorol. 2020, 287, 107957. [Google Scholar] [CrossRef]
- Lauenroth, W.K.; Bradford, J. Ecohydrology and the Partitioning AET between Transpiration and Evaporation in a Semiarid Steppe. Ecosystems 2006, 9, 756–767. [Google Scholar] [CrossRef]
- Zhu, G.; Su, Y.; Li, X.; Zhang, K.; Li, C. Estimating actual evapotranspiration from an alpine grassland on Qinghai-Tibetan plateau using a two-source model and parameter uncertainty analysis by Bayesian approach. J. Hydrol. 2013, 476, 42–51. [Google Scholar] [CrossRef]
- Li, S.G.; Eugster, W.; Asanuma, J.; Kotani, A.; Davaa, G.; Oyunbaatar, D.; Sugita, M. Energy partitioning and its biophysical controls above a grazing steppe in central Mongolia. Agric. For. Meteorol. 2006, 137, 89–106. [Google Scholar] [CrossRef]
- Wei, Z.; Yoshimura, K.; Wang, L.; Miralles, D.G.; Jasechko, S.; Lee, X. Revisiting the contribution of transpiration to global terrestrial evapotranspiration. Geophys. Res. Lett. 2017, 44, 2792–2801. [Google Scholar] [CrossRef]
- Chen, S.; Chen, J.; Lin, G.; Zhang, W.; Miao, H.; Wei, L.; Huang, J.; Han, X. Energy balance and partition in Inner Mongolia steppe ecosystems with different land use types. Agric. For. Meteorol. 2009, 149, 1800–1809. [Google Scholar] [CrossRef]
- Liu, H.Z.; Feng, J.W. Seasonal and interannual variations of evapotranspiration and energy exchange over different land surfaces in a semiarid area of China. J. Appl. Meteorol. Climatol. 2012, 51, 1875–1888. [Google Scholar]
- Graham, S.; Kochendorfer, J.; McMillan, A.; Duncan, M.J.; Srinivasan, M.; Hertzog, G. Effects of agricultural management on measurements, prediction, and partitioning of evapotranspiration in irrigated grasslands. Agric. Water Manag. 2016, 177, 340–347. [Google Scholar] [CrossRef]
- Scott, R.L.; Knowles, J.F.; Nelson, J.A.; Gentine, P.; Li, X.; Barron-Gafford, G.; Bryant, R.; Biederman, J.A. Water availability impacts on evapotranspiration partitioning. Agric. For. Meteorol. 2021, 297, 108251. [Google Scholar] [CrossRef]
- Pereira, A.B.; Nova, N.A.V.; Pires, L.F.; Angelocci, L.R.; Beruski, G.C. Estimation method of grass net radiation on the determination of potential evapotranspiration. Meteorol. Appl. 2012, 21, 369–375. [Google Scholar] [CrossRef]
- Yang, L.; Feng, Q.; Adamowski, J.F.; Yin, Z.; Wen, X.; Wu, M.; Jia, B.; Hao, Q. Spatio-temporal variation of reference evapotranspiration in northwest China based on CORDEX-EA. Atmos. Res. 2020, 238, 104868. [Google Scholar] [CrossRef]
- Rosenberg, N.J.; Blad, B.L.; Verma, S.B. Evaporation and Evapotranspiration, in Microclimate: The Biological Environment, 2nd ed.; Wiley-Intersci.: New York, NY, USA, 1983; pp. 209–287. [Google Scholar]
- Novák, V.; Hurtalova, T.; Matejka, F. Predicting the effects of soil water content and soil water potential on transpiration of maize. Agric. Water Manag. 2005, 76, 211–223. [Google Scholar] [CrossRef]
- Webb, E.K.; Pearman, G.I.; Leuning, R. Correction of flux measurements for density effects due to heat and water vapour transfer. Q. J. R. Meteorol. Soc. 1980, 106, 85–100. [Google Scholar] [CrossRef]
- Wilson, K.; Goldstein, A.; Falge, E.; Aubinet, M.; Baldocchi, D.; Berbigier, P.; Bernhofer, C.; Ceulemans, R.J.; Dolman, A.; Field, C.; et al. Energy balance closure at FLUXNET sites. Agric. For. Meteorol. 2002, 113, 223–243. [Google Scholar] [CrossRef]
- Gong, X.; Liu, H.; Sun, J.; Gao, Y.; Zhang, H. Comparison of Shuttleworth-Wallace model and dual crop coefficient method for estimating evapotranspiration of tomato cultivated in a solar greenhouse. Agric. Water Manag. 2019, 217, 141–153. [Google Scholar] [CrossRef]
- Wei, G.; Zhang, X.; Ye, M.; Yue, N.; Kan, F. Bayesian performance evaluation of evapotranspiration models based on eddy covariance systems in an arid region. Hydrol. Earth Syst. Sci. 2019, 23, 2877–2895. [Google Scholar] [CrossRef]










| Year | Growing Phase | Rn (MJ·m−2·d−1) | G (MJ·m−2·d−1) | Ta (°C) | Ts5cm (°C) | P (mm) | SWC5cm (m3·m−3) | D (kPa) |
|---|---|---|---|---|---|---|---|---|
| 2006 | 16 Sept.–31 Dec. | 4.43 | −0.38 | −3.8 | 1.1 | 56.3 | 0.15 | 0.44 |
| 2007 | Annual | 8.09 | 0.11 | 0.2 | 3.9 | 493.0 | 0.18 | 0.58 |
| Growing season | 12.24 | 0.47 | 7.1 | 10.2 | 439.7 | 0.24 | 0.67 | |
| Non-growing season | 5.09 | −0.15 | −4.8 | −0.7 | 53.3 | 0.13 | 0.51 | |
| 2008 | Annual | 8.03 | −0.05 | −0.6 | 3.1 | 480.4 | 0.17 | 0.51 |
| Growing season | 11.71 | 0.39 | 6.6 | 9.4 | 417.6 | 0.24 | 0.64 | |
| Non-growing season | 5.39 | −0.36 | −5.7 | −1.5 | 62.8 | 0.13 | 0.41 |
| Year | Growing Phase | ESW (mm) | TSW (mm) | ETSW (mm) |
|---|---|---|---|---|
| 2006 | 16 Sept.–31 Dec. | 51.1 | 24.2 | 75.3 |
| 2007 | Annual | 306.0 | 205.5 | 511.5 |
| Growing season | 217.6 | 192.3 | 409.9 | |
| Non-growing season | 88.4 | 13.2 | 101.6 | |
| 2008 | Annual | 281.7 | 218.1 | 499.8 |
| Growing season | 188.1 | 207.2 | 395.3 | |
| Non-growing season | 93.6 | 10.9 | 104.5 |
| Location | Study Period | E/ET (%) | T/ET (%) | ET/P (%) | Vegetation Type | Coverage (%) | Maximum LAI (m2·m−2) | References |
|---|---|---|---|---|---|---|---|---|
| 37°36′ N, 101°18′ E, 3250 m a.s.l | 2002–2004 | - | - | 56–61 | alpine meadow | >90 | 3 | [9] |
| 37°37′ N, 101°20′ E, 3160 m a.s.l. | 2003–2005 | 40–43 | 57–60 | - | alpine meadow | 70–80 | 4 | [17] |
| 37°40′ N, 101°20′ E, 3293 m a.s.l | 2003–2005 | 36–45 | 55–64 | - | alpine meadow | 70–80 | 2.8 | [17] |
| 30°51′ N, 91°05′ E, 4333 m a.s.l. | 2004–2005 | 56–60 | 40–44 | - | alpine meadow-steppe | 45–55 | 1.1 | [17] |
| 43°33′ N, 116°40′ E, 1252 m a.s.l. | 2003–2004 | 57–61 | 39–43 | - | temperate steppe | 60–70 | 1.5 | [17] |
| 42°02′48′′ N, 116°17′01′′ E, 1350 m a.s.l | 2005–2006 | - | - | 89 | typical steppe | - | 0.47 | [46] |
| 43°33′16′′ N, 116°40′17′′ E, 1250 m a.s.l | 2005–2006 | - | - | 107 | degraded steppe | - | 0.25 | [46] |
| 44°25′ N, 122°52′ E, 184 m a.s.l | 2003–2008 | - | - | 97–101 | degraded grassland | <70 | - | [47] |
| 31.9083° N, 110.8395° W, 1000 m a.s.l | summer 2008 | 63 | 37 | 104 | shrubland | 24 | 0.55 | [7] |
| 31.7438° N, 110.0522° W, 1375 m a.s.l | summer 2008 | 56 | 44 | 92 | shrubland | 27 | 0.66 | [7] |
| 43°40′26.61′′ S, 171°35′27.63′′ E, 309 m a.s.l | 2011–2012 | 25 | 75 | 78 | pasture | - | 5–6 | [48] |
| 31.737° N, 109.942° W, 1531 m a.s.l | 2005–2018 | - | 35–46 | 91 | grassland | - | 0.56–1.80 | [49] |
| 34°24′ N, 100°24′ E, 3963 m a.s.l | 2006–2008 | 48–53 | 47–52 | 93–95 | degraded alpine meadow | 55 | 1.20 | In this study |
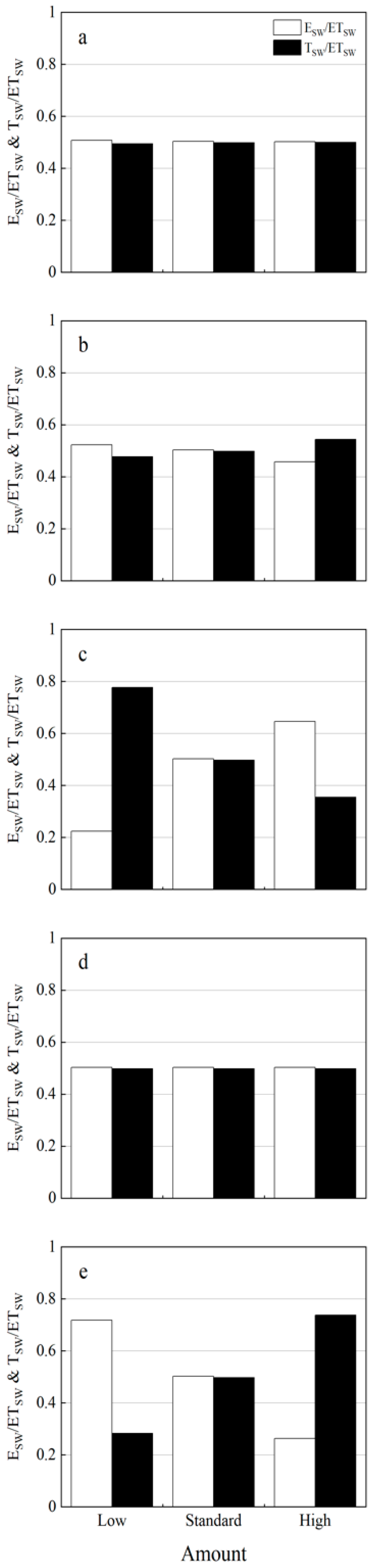
| Input Variables | Percentage of Variation | |||||
|---|---|---|---|---|---|---|
| −50% | +100% | |||||
| ETSW | ESW | TSW | ETSW | ESW | TSW | |
| Net radiation, Rn (MJ·m−2) | −66% | −66% | −67% | +133% | +132% | +133% |
| Air temperature, Ta (°C) | −13% | −9% | −16% | +22% | +11% | +33% |
| 5 cm soil water content, SWC5cm (m3·m−3) | −14% | −62% | +35% | +9% | +41% | −22% |
| Leaf area index, LAI (m2·m−2) | −3% | +38% | −45% | +4% | −46% | +54% |
| Vapor pressure deficit, D (kPa) | −<1% | −<1% | −<1% | +<1% | +<1% | +<1% |
| Year | Period | k | R2 | RMSE | MAE |
|---|---|---|---|---|---|
| 2006 | 16 September–31 December | 1.06 | 0.93 | 0.3 | 0.2 |
| 2007 | Annual | 1.05 | 0.92 | 0.5 | 0.4 |
| Growing season | 1.13 | 0.96 | 0.6 | 0.5 | |
| Non-growing season | 0.71 | 0.76 | 0.5 | 0.4 | |
| 2008 | Annual | 1.04 | 0.91 | 0.6 | 0.4 |
| Growing season | 1.12 | 0.96 | 0.6 | 0.5 | |
| Non-growing season | 0.72 | 0.74 | 0.5 | 0.4 |
Publisher’s Note: MDPI stays neutral with regard to jurisdictional claims in published maps and institutional affiliations. |
© 2021 by the authors. Licensee MDPI, Basel, Switzerland. This article is an open access article distributed under the terms and conditions of the Creative Commons Attribution (CC BY) license (https://creativecommons.org/licenses/by/4.0/).
Share and Cite
Zhang, L.; Chen, Z.; Zhang, X.; Zhao, L.; Li, Q.; Chen, D.; Tang, Y.; Gu, S. Evapotranspiration and Its Partitioning in Alpine Meadow of Three-River Source Region on the Qinghai-Tibetan Plateau. Water 2021, 13, 2061. https://doi.org/10.3390/w13152061
Zhang L, Chen Z, Zhang X, Zhao L, Li Q, Chen D, Tang Y, Gu S. Evapotranspiration and Its Partitioning in Alpine Meadow of Three-River Source Region on the Qinghai-Tibetan Plateau. Water. 2021; 13(15):2061. https://doi.org/10.3390/w13152061
Chicago/Turabian StyleZhang, Lifeng, Zhiguang Chen, Xiang Zhang, Liang Zhao, Qi Li, Dongdong Chen, Yanhong Tang, and Song Gu. 2021. "Evapotranspiration and Its Partitioning in Alpine Meadow of Three-River Source Region on the Qinghai-Tibetan Plateau" Water 13, no. 15: 2061. https://doi.org/10.3390/w13152061
APA StyleZhang, L., Chen, Z., Zhang, X., Zhao, L., Li, Q., Chen, D., Tang, Y., & Gu, S. (2021). Evapotranspiration and Its Partitioning in Alpine Meadow of Three-River Source Region on the Qinghai-Tibetan Plateau. Water, 13(15), 2061. https://doi.org/10.3390/w13152061

