Effects of the “Grain for Green” Program on Soil Water Dynamics in the Semi-Arid Grassland of Inner Mongolia, China
Abstract
:1. Introduction
2. Materials and Methods
2.1. Study Area
2.2. Experimental Design and Data Collection
2.3. Data Analysis
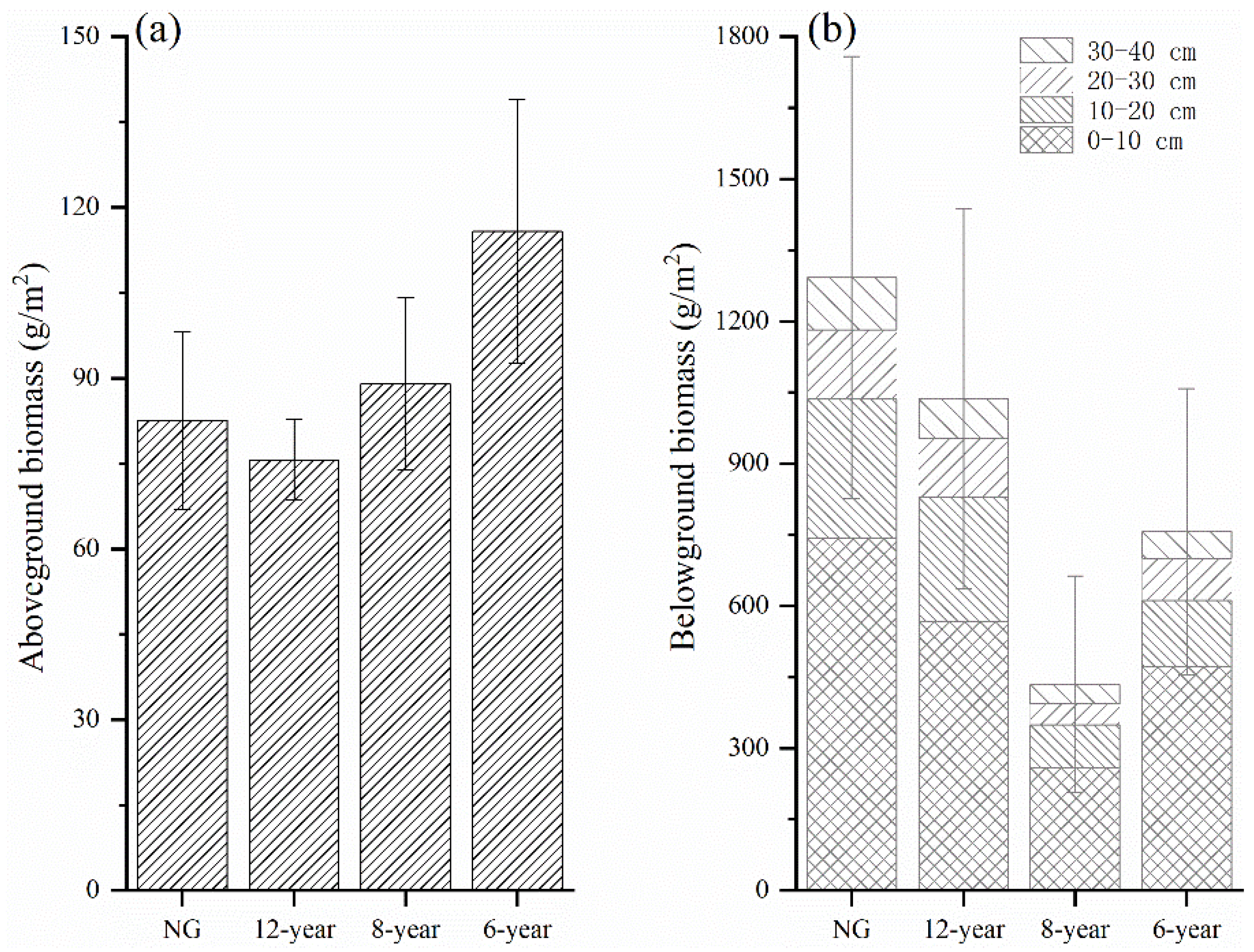
3. Results
3.1. Soil Water Dynamics
3.2. Infiltration Processes
3.3. Soil Water Storage
4. Discussion
5. Conclusions
Author Contributions
Funding
Institutional Review Board Statement
Informed Consent Statement
Data Availability Statement
Conflicts of Interest
References
- Song, X.; Peng, C.; Zhou, G.; Jiang, H.; Wang, W. Chinese Grain for Green Program led to highly increased soil organic carbon levels: A meta-analysis. Sci. Rep. 2014, 4, 4460. [Google Scholar] [CrossRef] [Green Version]
- Wang, B.; Gao, P.; Niu, X.; Sun, J. Policy-driven China’s Grain to Green Program: Implications for ecosystem services. Ecosyst. Serv. 2017, 27, 38–47. [Google Scholar] [CrossRef]
- Bryan, B.A.; Gao, L.; Ye, Y.; Sun, X.; Connor, J.D.; Crossman, N.D.; Stafford-Smith, M.; Wu, J.; He, C.; Yu, D.; et al. China’s response to a national land-system sustainability emergency. Nature 2018, 559, 193–204. [Google Scholar] [CrossRef]
- Zhang, S.; Yang, D.; Yang, Y.; Piao, S.; Yang, H.; Lei, H.; Fu, B. Excessive afforestation and soil drying on China’s Loess Plateau. J. Geophys. Res. Biogeosci. 2018, 123, 923–935. [Google Scholar] [CrossRef]
- Zhang, Z.-H.; Li, X.-Y.; Jiang, Z.-Y.; Peng, H.-Y.; Li, L.; Zhao, G.-Q. Changes in some soil properties induced by re-conversion of cropland into grassland in the semiarid steppe zone of Inner Mongolia, China. Plant Soil 2013, 373, 89–106. [Google Scholar] [CrossRef]
- Deng, L.; Liu, G.B.; Shangguan, Z.P. Land-use conversion and changing soil carbon stocks in China’s ‘Grain-for-Green’ Program: A synthesis. Glob. Chang. Biol. 2014, 20, 3544–3556. [Google Scholar] [CrossRef]
- Deng, L.; Liu, S.; Kim, D.G.; Peng, C.; Sweeney, S.; Shangguan, Z. Past and future carbon sequestration benefits of China’s Grain for Green Program. Glob. Environ. Chang. 2017, 47, 13–20. [Google Scholar] [CrossRef]
- Wang, H.; Sun, F.; Xia, J.; Liu, W. Impact of LUCC on streamflow based on the SWAT model over the Wei River basin on the Loess Plateau in China. Hydrol. Earth Syst. Sci. 2017, 21, 1929–1945. [Google Scholar] [CrossRef] [Green Version]
- Brown, A.E.; Podger, G.M.; Davidson, A.J.; Dowling, T.I.; Zhang, L. Predicting the impact of plantation forestry on water users at local and regional scales. For. Ecol. Manag. 2007, 251, 82–93. [Google Scholar] [CrossRef]
- Deng, L.; Yan, W.; Zhang, Y.; Shangguan, Z. Severe depletion of soil moisture following land-use changes for ecological restoration: Evidence from northern China. For. Ecol. Manag. 2016, 366, 1–10. [Google Scholar] [CrossRef]
- Jin, T.; Fu, B.; Liu, G.; Wang, Z. Hydrologic feasibility of artificial forestation in the semi-arid Loess Plateau of China. Hydrol. Earth Syst. Sci. Discuss. 2011, 8, 653–680. [Google Scholar]
- Liu, L.; Lukas, G.; Hauser, M.; Qin, D.; Li, S.; Seneviratne, S.I. Soil moisture dominates dryness stress on ecosystem production globally. Nat. Commun. 2020, 11, 1–9. [Google Scholar] [CrossRef]
- Magliano, P.N.; Whitworth-Hulse, J.I.; Baldi, G. Interception, throughfall and stemflow partition in drylands: Global synthesis and meta-analysis. J. Hydrol. 2019, 568, 638–645. [Google Scholar] [CrossRef]
- Whalley, W.R.; Binley, A.; Watts, C.W.; Shanahan, P.; Dodd, I.C.; Ober, E.S.; Ashton, R.W.; Webster, C.P.; White, R.P.; Hawkesford, M.J. Methods to estimate changes in soil water for phenotyping root activity in the field. Plant Soil 2017, 415, 407–422. [Google Scholar] [CrossRef] [PubMed] [Green Version]
- Vereecken, H.; Huisman, J.; Pachepsky, Y.; Montzka, C.; van der Kruk, J.; Bogena, H.; Weihermüller, L.; Herbst, M.; Martinez, G.; Vanderborght, J. On the spatio-temporal dynamics of soil moisture at the field scale. J. Hydrol. 2014, 516, 76–96. [Google Scholar] [CrossRef]
- Fischer, C.; Leimer, S.; Roscher, C.; Ravenek, J.; de Kroon, H.; Kreutziger, Y.; Baade, J.; Beßler, H.; Eisenhauer, N.; Weigelt, A.; et al. Plant species richness and functional groups have different effects on soil water content in a decade-long grassland experiment. J. Ecol. 2018, 107, 127–141. [Google Scholar] [CrossRef] [Green Version]
- Knapp, A.K.; Fay, P.A.; Blair, J.M.; Collins, S.L.; Smith, M.D.; Carlisle, J.D.; Harper, C.W.; Danner, B.T.; Lett, M.S.; McCarron, J.K. Rainfall variability, carbon cycling, and plant species diversity in a mesic grassland. Science 2002, 298, 2202–2205. [Google Scholar] [CrossRef] [Green Version]
- Vereecken, H.; Huisman, J.A.; Hendricks Franssen, H.J.; Brüggemann, N.; Bogena, H.R.; Kollet, S.; Javaux, M.; van der Kruk, J.; Vanderborght, J. Soil hydrology: Recent methodological advances, challenges, and perspectives. Water Resour. Res. 2015, 51, 2616–2633. [Google Scholar] [CrossRef]
- Farrick, K.K.; Branfireun, B.A. Soil water storage, rainfall and runoff relationships in a tropical dry forest catchment. Water Resour. Res. 2014, 50, 9236–9250. [Google Scholar] [CrossRef]
- Feng, X.; Fu, B.; Piao, S.; Wang, S.; Ciais, P.; Zeng, Z.; Lü, Y.; Zeng, Y.; Li, Y.; Jiang, X. Revegetation in China’s Loess Plateau is approaching sustainable water resource limits. Nat. Clim. Chang. 2016, 6, 1019–1022. [Google Scholar] [CrossRef]
- Li, X.-Y.; Zhang, S.-Y.; Peng, H.-Y.; Hu, X.; Ma, Y.-J. Soil water and temperature dynamics in shrub-encroached grasslands and climatic implications: Results from Inner Mongolia steppe ecosystem of north China. Agric. For. Meteorol. 2013, 171–172, 20–30. [Google Scholar] [CrossRef]
- An, W.; Li, Z.; Wang, S.; Wu, X.; Lu, Y.; Liu, G.; Fu, B. Exploring the effects of the “Grain for Green” program on the differences in soil water in the semi-arid Loess Plateau of China. Ecol. Eng. 2017, 107, 144–151. [Google Scholar] [CrossRef]
- Wang, H.; Yue, C.; Mao, Q.; Zhao, J.; Ciais, P.; Li, W.; Yu, Q.; Mu, X. Vegetation and species impacts on soil organic carbon sequestration following ecological restoration over the Loess Plateau, China. Geoderma 2020, 371, 114389. [Google Scholar] [CrossRef]
- Yu, X.; Huang, Y.; Li, E.; Li, X.; Guo, W. Effects of rainfall and vegetation to soil water input and output processes in the Mu Us Sandy Land, northwest China. Catena 2018, 161, 96–103. [Google Scholar] [CrossRef]
- Lawrence, D.; Vandecar, K. Effects of tropical deforestation on climate and agriculture. Nat. Clim. Chang. 2014, 5, 27–36. [Google Scholar] [CrossRef]
- Salter, P.J.; Williams, J.B. The influence of texture on the moisture characteristics of soils. Eur. J. Soil Sci. 2010, 16, 310–317. [Google Scholar] [CrossRef]
- Jiang, Z.-Y.; Wang, X.-D.; Zhang, S.-Y.; He, B.; Zhao, X.-L.; Kong, F.-L.; Feng, D.; Zeng, Y.-C. Response of soil water dynamics to rainfall on a collapsing gully slope: Based on continuous multi-depth measurements. Water 2020, 12, 2272. [Google Scholar] [CrossRef]
- Qiu, Y.; Fu, B.; Wang, J.; Chen, L. Soil moisture variation in relation to topography and land use in a hillslope catchment of the Loess Plateau, China. J. Hydrol. 2001, 240, 243–263. [Google Scholar] [CrossRef]
- Wang, S.; Fu, B.; Gao, G.; Liu, Y.; Zhou, J. Responses of soil moisture in different land cover types to rainfall events in a re-vegetation catchment area of the Loess Plateau, China. Catena 2013, 101, 122–128. [Google Scholar] [CrossRef]
- Li, X.-Y.; Hu, X.; Zhang, Z.-H.; Peng, H.-Y.; Zhang, S.-Y.; Li, G.-Y.; Li, L.; Ma, Y.-J. Shrub hydropedology: Preferential water availability to deep soil layer. Vadose Zone J. 2013, 12. [Google Scholar] [CrossRef] [Green Version]
- Rossi, M.J.; Ares, J.O.; Jobbágy, E.G.; Vivoni, E.R.; Vervoort, R.W.; Schreiner-Mcgraw, A.P.; Saco, P.M. Vegetation and terrain drivers of infiltration depth along a semiarid hillslope. Sci. Total Environ. 2018, 644, 1399–1408. [Google Scholar] [CrossRef]
- Jackson, R.B.; Sperry, J.S.; Dawson, T.E. Root water uptake and transport: Using physiological processes in global predictions. Trends Plant Sci. 2000, 5, 482–488. [Google Scholar] [CrossRef]
- Jian, S.; Zhao, C.; Fang, S.; Yu, K. Effects of different vegetation restoration on soil water storage and water balance in the Chinese Loess Plateau. Agric. For. Meteorol. 2015, 206, 85–96. [Google Scholar] [CrossRef]
- Tian, J.; Zhang, B.; He, C.; Han, Z.; Bogena, H.R.; Huisman, J.A. Dynamic response patterns of profile soil moisture wetting events under different land covers in the Mountainous area of the Heihe River Watershed, Northwest China. Agric. For. Meteorol. 2019, 271, 225–239. [Google Scholar] [CrossRef]
- Wang, S.; Fu, B.; Piao, S.; Lü, Y.; Ciais, P.; Feng, X.; Wang, Y. Reduced sediment transport in the Yellow River due to anthropogenic changes. Nat. Geosci. 2016, 9, 38–41. [Google Scholar] [CrossRef]
- Yang, L.; Wei, W.; Chen, L.; Chen, W.; Wang, J. Response of temporal variation of soil moisture to vegetation restoration in semi-arid Loess Plateau, China. Catena 2014, 115, 123–133. [Google Scholar] [CrossRef]
- Wang, Y.; Shao, M.; Zhu, Y.; Liu, Z. Impacts of land use and plant characteristics on dried soil layers in different climatic regions on the Loess Plateau of China. Agric. For. Meteorol. 2011, 151, 437–448. [Google Scholar] [CrossRef]
- Qiu, G.Y.; Xie, F.; Feng, Y.C.; Tian, F. Experimental studies on the effects of the “Conversion of Cropland to Grassland Program” on the water budget and evapotranspiration in a semi-arid steppe in Inner Mongolia, China. J. Hydrol. 2011, 411, 120–129. [Google Scholar] [CrossRef]
- Lv, M.; Ma, Z.; Li, M.; Zheng, Z. Quantitative analysis of terrestrial water storage changes under the grain for green program in the Yellow River Basin. J. Geophys. Res. Atmos. 2019, 124, 1336–1351. [Google Scholar] [CrossRef]
- Ye, L.; Fang, L.; Shi, Z.; Deng, L.; Tan, W. Spatio-temporal dynamics of soil moisture driven by ‘Grain for Green’ program on the Loess Plateau, China. Agric. Ecosyst. Environ. 2019, 269, 204–214. [Google Scholar] [CrossRef]
- Feng, X.; Li, J.; Cheng, W.; Fu, B.; Wang, Y.; Lü, Y. Evaluation of AMSR-E retrieval by detecting soil moisture decrease following massive dryland re-vegetation in the Loess Plateau, China. Remote Sens. Environ. 2017, 196, 253–264. [Google Scholar] [CrossRef]
- Guo, C.; Wang, L.; Han, F.; Ma, J.; He, F.; Liu, S.; Wang, F.; Zhang, Y.; Wei, L. Studies of soil physical property of different abandoned lands in the Minqin Oasis, downstream of the Shiyang river. Chin. Agric. Sci. Bull. 2014, 30, 72–76. [Google Scholar]
- Zhang, S.-Y.; Li, X.-Y. Soil moisture and temperature dynamics in typical alpine ecosystems: A continuous multi-depth measurements-based analysis from the Qinghai-Tibet Plateau, China. Hydrol. Res. 2018, 49, 194–209. [Google Scholar] [CrossRef]
- Yu, X.; Huang, Y.; Li, E.; Li, X.; Guo, W. Effects of vegetation types on soil water dynamics during vegetation restoration in the Mu Us Sandy Land, northwestern China. J. Arid Land 2017, 9, 188–199. [Google Scholar] [CrossRef]
- He, Z.; Zhao, W.; Liu, H.; Chang, X. The response of soil moisture to rainfall event size in subalpine grassland and meadows in a semi-arid mountain range: A case study in northwestern China’s Qilian Mountains. J. Hydrol. 2012, 420–421, 183–190. [Google Scholar] [CrossRef]
- Zhu, X.; He, Z.-B.; Du, J.; Chen, L.-F.; Lin, P.-F.; Li, J. Temporal variability in soil moisture after thinning in semi-arid Picea crassifolia plantations in northwestern China. For. Ecol. Manag. 2017, 401, 273–285. [Google Scholar] [CrossRef]
- Duniway, M.C.; Herrick, J.E.; Monger, H.C. The high water-holding capacity of petrocalcic horizons. Soil Sci. Soc. Am. J. 2007, 71, 812–819. [Google Scholar] [CrossRef] [Green Version]
- Bogner, C.; Borken, W.; Huwe, B. Impact of preferential flow on soil chemistry of a podzol. Geoderma 2012, 175–176, 37–46. [Google Scholar] [CrossRef]
- A, Y.; Wang, G.; Liu, T.; Shrestha, S.; Xue, B.; Tan, Z. Vertical variations of soil water and its controlling factors based on the structural equation model in a semi-arid grassland. Sci. Total Environ. 2019, 691, 1016–1026. [Google Scholar] [CrossRef]
- Li, Y.; Zhao, M.; Han, G.; Jiao, S. Studies on soil physical and chemical properties of abandoned land. Chin. J. Grassland 2012, 34, 61–64+69. [Google Scholar]
- Duniway, M.C.; Herrick, J.E.; Monger, H.C. Spatial and temporal variability of plant-available water in calcium carbonate-cemented soils and consequences for arid ecosystem resilience. Oecologia 2010, 163, 215–226. [Google Scholar] [CrossRef]
- Hennessy, J.; Gibbens, R.; Tromble, J.; Cardenas, M. Water properties of caliche. Rangel. Ecol. Manag. J. Range Manag. Arch. 1983, 36, 723–726. [Google Scholar] [CrossRef] [Green Version]
- Levia, D.F.; Frost, E.E. A review and evaluation of stemflow literature in the hydrologic and biogeochemical cycles of forested and agricultural ecosystems. J. Hydrol. 2003, 274, 1–29. [Google Scholar] [CrossRef]
- Huang, Z.; Liu, Y.; Cui, Z.; Fang, Y.; He, H.; Liu, B.-R.; Wu, G.-L. Soil water storage deficit of alfalfa (Medicago sativa) grasslands along ages in arid area (China). Field Crop. Res. 2018, 221, 1–6. [Google Scholar] [CrossRef]
- Wang, G.; Wang, Y.; Li, Y.; Cheng, H. Influences of alpine ecosystem responses to climatic change on soil properties on the Qinghai–Tibet Plateau, China. Catena 2007, 70, 506–514. [Google Scholar] [CrossRef]
- Cao, S.; Chen, L.; Yu, X. Impact of China’s Grain for Green Project on the landscape of vulnerable arid and semi-arid agricultural regions: A case study in northern Shaanxi Province. J. Appl. Ecol. 2009, 46, 536–543. [Google Scholar] [CrossRef]
- Chen, L.; Huang, Z.; Gong, J.; Fu, B.; Huang, Y. The effect of land cover/vegetation on soil water dynamic in the hilly area of the loess plateau, China. Catena 2007, 70, 200–208. [Google Scholar] [CrossRef]
- Bonet, A. Secondary succession of semi-arid Mediterranean old-fields in south-eastern Spain: Insights for conservation and restoration of degraded lands. J. Arid Environ. 2004, 56, 213–233. [Google Scholar] [CrossRef]









| Sites | Canopy (%) | Total Species | Dominant Species |
|---|---|---|---|
| NG | 60 | 31 | Stipa krylovii; Cleistogenes squarrosa; Artemisia frigida |
| 12-year | 61 | 35 | Stipa krylovii; Artemisia frigida; Thalictrum petaloideum; Agropyron cristatum; Leymus chinensis; Potentilla longifolia |
| 8-year | 56 | 16 | Cleistogenes squarrosa; Artemisia capillaris; Heteropappus altaicus |
| 6-year | 69 | 24 | Artemisia sieversiana; Artemisia capillaris; Erodium stephanianum |
| Depth (cm) | Sites | ||||
|---|---|---|---|---|---|
| NG | 12-Year | 8-Year | 6-Year | ||
| Bulk density (g/cm3) | 0–10 | 1.39 | 1.47 | 1.51 | 1.46 |
| 10–20 | 1.44 | 1.43 | 1.51 | 1.47 | |
| 20–40 | 1.5 | 1.43 | 1.42 | 1.46 | |
| 40–60 | 1.57 | 1.53 | 1.45 | 1.45 | |
| 60–100 | 1.67 | 1.74 | 1.51 | 1.55 | |
| Total porosity (%) | 0–10 | 47.55 | 44.53 | 43.02 | 44.91 |
| 10–20 | 45.66 | 46.04 | 43.02 | 44.53 | |
| 20–40 | 43.4 | 46.04 | 46.42 | 44.91 | |
| 40–60 | 40.75 | 42.26 | 45.28 | 45.28 | |
| 60–100 | 36.98 | 34.34 | 43.02 | 41.51 | |
| Soil layers (cm) | A | 0–23 | 0–18 | 0–18 | 0–20 |
| B | 23–98 | 18–103 | 18–120 | 20–110 | |
| Depth (cm) | NG | 12-Year | 8-Year | 6-Year | ||
|---|---|---|---|---|---|---|
| Particle size composition (USDA, %) | Sand | 0–10 | 67.41 | 74.57 | 62.45 | 65.01 |
| 10–20 | 70.01 | 73.04 | 63.98 | 64.71 | ||
| 20–40 | 78.08 | 74.12 | 64.91 | 64.42 | ||
| Silt | 0–10 | 23.1 | 11.17 | 19.07 | 18.36 | |
| 10–20 | 18.13 | 11.09 | 17.4 | 18.38 | ||
| 20–40 | 11.93 | 8.69 | 15.74 | 18.35 | ||
| Clay | 0–10 | 13.89 | 14.26 | 18.48 | 16.64 | |
| 10–20 | 11.87 | 15.87 | 18.62 | 16.91 | ||
| 20–40 | 9.99 | 17.19 | 19.35 | 17.23 | ||
| CaCO3 content (%) | 0–10 | 6.13 | 16.43 | 8.91 | 18.41 | |
| 10–20 | 4.86 | 25.82 | 17.61 | 20.93 | ||
| 20–40 | 7.02 | 44.76 | 33.28 | 32.72 | ||
| SOM (g/kg) | 0–10 | 29.03 | 13.87 | 22.8 | 21.07 | |
| 10–20 | 20.63 | 13.55 | 18.43 | 19.3 | ||
| 20–40 | 11.66 | 8.22 | 11.38 | 14.3 | ||
| TN (g/kg) | 0–10 | 1.59 | 0.89 | 1.33 | 1.27 | |
| 10–20 | 1.2 | 0.88 | 1.16 | 1.26 | ||
| 20–40 | 0.69 | 0.54 | 0.74 | 0.96 | ||
| TP (g/kg) | 0–10 | 0.3 | 0.25 | 0.18 | 0.3 | |
| 10–20 | 0.15 | 0.14 | 0.09 | 0.15 | ||
| 20–40 | 0.21 | 0.16 | 0.14 | 0.21 | ||
Publisher’s Note: MDPI stays neutral with regard to jurisdictional claims in published maps and institutional affiliations. |
© 2021 by the authors. Licensee MDPI, Basel, Switzerland. This article is an open access article distributed under the terms and conditions of the Creative Commons Attribution (CC BY) license (https://creativecommons.org/licenses/by/4.0/).
Share and Cite
Zhang, Z.-H.; Peng, H.-Y.; Kong, Y. Effects of the “Grain for Green” Program on Soil Water Dynamics in the Semi-Arid Grassland of Inner Mongolia, China. Water 2021, 13, 2034. https://doi.org/10.3390/w13152034
Zhang Z-H, Peng H-Y, Kong Y. Effects of the “Grain for Green” Program on Soil Water Dynamics in the Semi-Arid Grassland of Inner Mongolia, China. Water. 2021; 13(15):2034. https://doi.org/10.3390/w13152034
Chicago/Turabian StyleZhang, Zhi-Hua, Hai-Ying Peng, and Yuhua Kong. 2021. "Effects of the “Grain for Green” Program on Soil Water Dynamics in the Semi-Arid Grassland of Inner Mongolia, China" Water 13, no. 15: 2034. https://doi.org/10.3390/w13152034
APA StyleZhang, Z.-H., Peng, H.-Y., & Kong, Y. (2021). Effects of the “Grain for Green” Program on Soil Water Dynamics in the Semi-Arid Grassland of Inner Mongolia, China. Water, 13(15), 2034. https://doi.org/10.3390/w13152034

