Modeling Water-Induced Base Particle Migration in Loaded Granular Filters Using Discrete Element Method
Abstract
:1. Introduction
2. Numerical Model for Base Soil Erosion
Model and Simulation Scheme
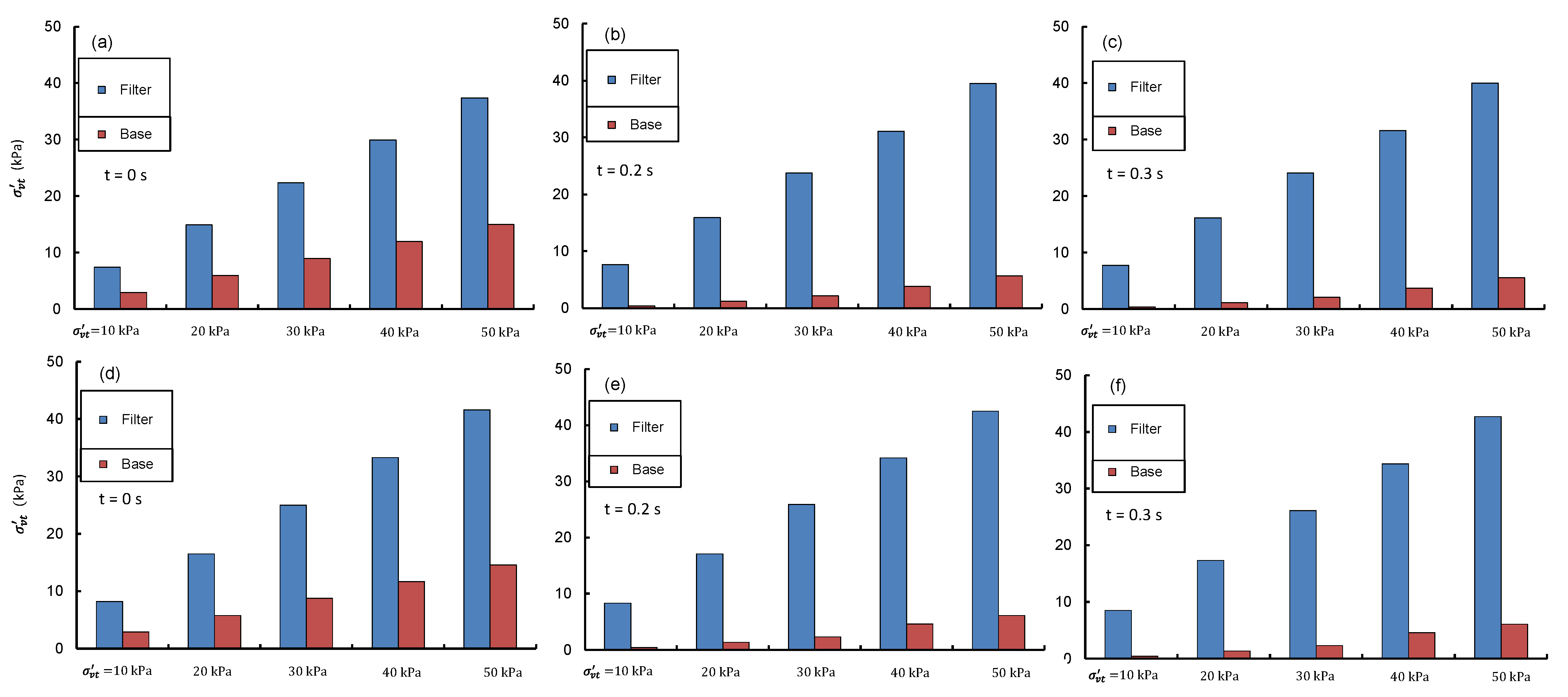
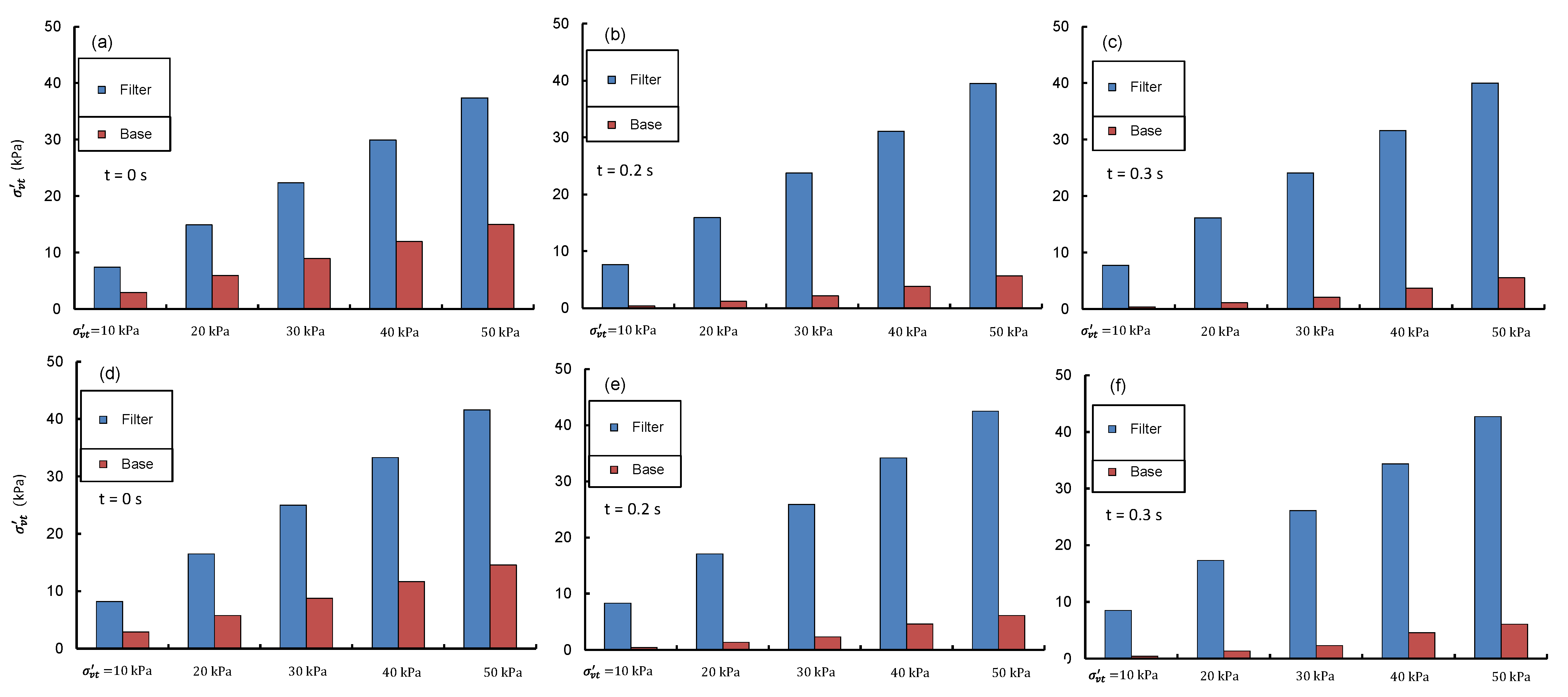
3. Results and Discussion
4. Validation of Proposed Model
Theoretical Envelope
5. Conclusions
Author Contributions
Funding
Institutional Review Board Statement
Informed Consent Statement
Data Availability Statement
Acknowledgments
Conflicts of Interest
Appendix A. Basic Coupled CFD-DEM Modeling Principles
Appendix B. Equivalent Hydraulic Gradient for the Mechanical Constraint

References
- Fourie, A.B.; Copeland, A.M.; Barrett, A.J. Optimization of the as-placed properties of hydraulic backfill. J. S. Afr. Inst. Min. Met. 1994, 94, 199–210. [Google Scholar]
- Rice, J.D.; Duncan, J.M. Deformation and cracking of seepage barriers in dams due to changes in the pore pressure regime. J. Geotech. Geoenviron. Eng. 2010, 136, 16–25. [Google Scholar] [CrossRef]
- Aziz, M. Using grain size to predict engineering properties of natural sands in Pakistan. Geomech. Eng. 2020, 22, 165–171. [Google Scholar]
- Chang, D.; Zhang, L. Critical Hydraulic Gradients of Internal Erosion under Complex Stress States. J. Geotech. Geoenviron. Eng. 2013, 139, 1454–1467. [Google Scholar] [CrossRef]
- Xiao, M.; Shwiyhat, N. Experimental investigation of the effects of suffusion on physical and geomechanic characteristics of sandy soils. Geotech. Test. J. 2012, 35, 890–900. [Google Scholar] [CrossRef] [Green Version]
- Terzaghi, K. Failure of dam foundations by piping and means for preventing it. Wasserkr. Z. Gesamte Wasserwirtsch. 1922, 17, 445–449. (In German) [Google Scholar]
- Dirkx, W.; Beek, R.V.; Bierkens, M. Piping the Influence of Grain Size Distribution on the Hydraulic Gradient for Initiating Backward Erosion. Water 2020, 12, 2644. [Google Scholar] [CrossRef]
- Skempton, A.W.; Brogan, J.M. Experiments on piping in sandy gravels. Geotechnique 1994, 44, 449–460. [Google Scholar] [CrossRef]
- Irfan, M.; Uchimura, T. Modified triaxial apparatus for determination of elastic wave velocities during infiltration tests on unsaturated soils. KSCE J. Civ. Eng. 2016, 20, 197–207. [Google Scholar] [CrossRef]
- Indraratna, B.; Radampola, S. Analysis of critical hydraulic gradient for particle movement in filtration. J. Geotech. Geoenviron. Eng. 2002, 128, 347–350. [Google Scholar] [CrossRef]
- Li, M.; Fannin, R.J. Comparison of two criteria for internal stability of granular soil. Can. Geotech. J. 2008, 45, 1303–1309. [Google Scholar] [CrossRef]
- Indraratna, B.; Israr, J.; Rujikiatkamjorn, C. Geometrical method for evaluating the internal instability of granular filters based on constriction size distribution. J. Geotech. Geoenviron. Eng. 2015, 141. [Google Scholar] [CrossRef] [Green Version]
- Feng, Q.; Ho, H.; Man, T.; Wen, J.; Jie, Y.; Fu, X. Suffusion Internal Stability Evaluation of Soils. Water 2019, 11, 1439. [Google Scholar] [CrossRef] [Green Version]
- Trani, L.D.O.; Indraratna, B. Assessment of Subballast Filtration under Cyclic Loading. J. Geotech. Geoenviron. Eng. 2010, 136, 1519–1528. [Google Scholar] [CrossRef]
- Cundall, P.; Strack, O. A discrete numerical model for granular assemblies. Geotechnique 1979, 29, 47–65. [Google Scholar] [CrossRef]
- Tsuji, Y.; Kawaguchi, T.; Tanaka, T. Discrete particle simulation of two-dimensional fluidized bed. Powder Technol. 1993, 77, 79–87. [Google Scholar] [CrossRef]
- Shire, T.; O’Sullivan, C. Experiments on piping in sandy gravels. Acta Geotech. 2013, 8, 81–90. [Google Scholar] [CrossRef] [Green Version]
- Terzaghi, K. Soil mechanics—A new chapter in engineering science. J. Inst. Civ. Eng. 1939, 12, 106–142. [Google Scholar] [CrossRef]
- Natural Resources Conservation Services (NRCS). Gradation Design of Sand and Gravel Filters. In National Engineering Handbook; USDA: Washington, DC, USA, 1994; Chapter 26, Part 633. [Google Scholar]
- Indraratna, B.; Raut, A.K.; Khabbaz, H. Constriction-based retention criterion for granular filter design. J. Geotech. Geoenviron. Eng. 2007, 133, 266–276. [Google Scholar] [CrossRef] [Green Version]
- Kenney, T.C.; Lau, D. Internal stability of granular filters. Can. Geotech. J. 1985, 22, 215–225. [Google Scholar] [CrossRef]
- Raut, A.K.; Indraratna, B. Further advancement in filtration criteria through constriction-based techniques. J. Geotech. Geoenviron. Eng. 2008, 134, 883–887. [Google Scholar] [CrossRef]
- Zou, Y.; Chen, Q.; Chen, X.; Cui, P. Discrete numerical modelling of particle transport in granular filters. Comput. Geotech. 2013, 32, 340–357. [Google Scholar]
- Qing-Fu, H.; Mei-Li, Z.; Jin-Chang, S.; Yu-Long, L.; Bao-Yu, S. Investigation of fluid flow induced particle migration in granular filters using a DEM-CFD method. J. Hydrodyn. 2014, 26, 406–415. [Google Scholar]
- Langroudi, M.F.; Soroush, A.; Tabatabaie, S.P.; Shafipour, R. Stress transmission in internally unstable gap-graded soils using discrete element modelling. Powder Technol. 2013, 247, 161–171. [Google Scholar] [CrossRef]
- Shamy, U.E.; Zeghal, M. Coupled continuum-discrete model for saturated granular soils. J. Geotech. Geoenviron. Eng. 2004, 131, 413–426. [Google Scholar] [CrossRef]
- Itasca. Particle Flow Code, PFC3D, Release 4.0.; Itasca Consulting Group Inc.: Minneapolis, MN, USA, 2004. [Google Scholar]
- Christie, D. Bulli field trial: Vertical and lateral pressure measurement. In Proceedings of the Rail CRC Seminar; University of Wollongong: Wollongong, NSW, Australia.










| Parameters | Balls | Walls | Fluid | Others |
|---|---|---|---|---|
| Number: | ||||
| NF1-NB | 16,735 | 6 | - | - |
| NF2-NB | 16,295 | 6 | - | - |
| Density (kg/m3) | 2700 | - | 1000 | - |
| Friction coefficient | 0.5 | 0.5 | - | - |
| Porosity () | 0.5 | 0.5 | - | - |
| Stiffness (N/m): | ||||
| Normal () | - | - | ||
| Shear () | - | - | ||
| Time step (s): | ||||
| DEM | - | - | - | |
| CFD | - | - | - | |
| Viscous coefficient μ (N-s/m2) | - | - | 0.001 | - |
| Test Series Number | Sample ID | Filter Effectiveness | References | ||||
|---|---|---|---|---|---|---|---|
| Observed | Current Model | ||||||
| N1 | B-F1 | 50 | 99.7 | 87.5 | Yes | Yes | Qing-fu et al. [23] (Upward Flow) |
| N2 | B-F2 | 50 | 31 | 187.5 | Yes | No | |
| N3 | B-F3 | 50 | 6.1 | 87.5 | No | No | |
| N4 | B-F4 | 50 | 3.8 | 87.5 | No | No | |
| N5 | Base-F1 | 50 | 99.7 | 6 | Yes | Yes | Zou et al. [24] (Horizontal Flow) |
| N6 | Base-F1 | 50 | 99.7 | 30 | Yes | Yes | |
| N7 | Base-F1 | 50 | 99.7 | 83 | Yes | Yes | |
| N8 | Base-F2 | 50 | 31 | 6 | Yes | Yes | |
| N9 | Base-F2 | 50 | 31 | 30 | Yes | Yes | |
| N10 | Base-F2 | 50 | 31 | 83 | Yes | No | |
| N11 | Base-F3 | 50 | 6.1 | 6 | No | Yes | |
| N12 | Base-F3 | 50 | 6.1 | 30 | No | No | |
| N13 | Base-F3 | 50 | 6.1 | 83 | No | No | |
| N14 | Base-F4 | 50 | 3.8 | 6 | No | No | |
| N15 | Base-F4 | 50 | 3.8 | 30 | No | No | |
| N16 | Base-F4 | 50 | 3.8 | 83 | No | No | |
| N17 | NF1-NB-0 | 50 | 9.1 | 35 | No | No | Current Study (Upward Flow) |
| N18 | NF1-NB-10 | 50 | 19.2 | 35 | No | No | |
| N19 | NF1-NB-20 | 50 | 29.3 | 35 | No | No | |
| N20 | NF1-NB-30 | 50 | 39.4 | 35 | Yes | Yes | |
| N21 | NF1-NB-40 | 50 | 49.5 | 35 | Yes | Yes | |
| N22 | NF1-NB-50 | 50 | 59.6 | 35 | Yes | Yes | |
| N23 | NF2-NB-0 | 50 | 6.1 | 20 | No | No | |
| N24 | NF2-NB-10 | 50 | 13.5 | 20 | No | No | |
| N25 | NF2-NB-20 | 50 | 20.9 | 20 | No | Yes | |
| N26 | NF2-NB-30 | 50 | 28.3 | 20 | Yes | Yes | |
| N27 | NF2-NB-40 | 50 | 35.7 | 20 | Yes | Yes | |
| N28 | NF2-NB-50 | 50 | 43.1 | 20 | Yes | Yes | |
| N29 | NF1-NB-0 | 50 | 9.1 | 20 | No | No | |
| N30 | NF1-NB-10 | 50 | 19.2 | 20 | No | No | |
| N31 | NF1-NB-20 | 50 | 29.3 | 20 | Yes | Yes | |
| N32 | NF1-NB-30 | 50 | 39.4 | 20 | Yes | Yes | |
| N33 | NF1-NB-40 | 50 | 49.5 | 20 | Yes | Yes | |
| N34 | NF1-NB-50 | 50 | 59.6 | 20 | Yes | Yes | |
| N35 | NF2-NB-0 | 50 | 6.1 | 35 | No | No | |
| N36 | NF2-NB-10 | 50 | 13.5 | 35 | No | No | |
| N37 | NF2-NB-20 | 50 | 20.9 | 35 | No | No | |
| N38 | NF2-NB-30 | 50 | 28.3 | 35 | No | No | |
| N39 | NF2-NB-40 | 50 | 35.7 | 35 | No | Yes | |
| N40 | NF2-NB-50 | 50 | 43.1 | 35 | Yes | Yes | |
Publisher’s Note: MDPI stays neutral with regard to jurisdictional claims in published maps and institutional affiliations. |
© 2021 by the authors. Licensee MDPI, Basel, Switzerland. This article is an open access article distributed under the terms and conditions of the Creative Commons Attribution (CC BY) license (https://creativecommons.org/licenses/by/4.0/).
Share and Cite
Zhang, G.; Israr, J.; Ma, W.; Wang, H. Modeling Water-Induced Base Particle Migration in Loaded Granular Filters Using Discrete Element Method. Water 2021, 13, 1976. https://doi.org/10.3390/w13141976
Zhang G, Israr J, Ma W, Wang H. Modeling Water-Induced Base Particle Migration in Loaded Granular Filters Using Discrete Element Method. Water. 2021; 13(14):1976. https://doi.org/10.3390/w13141976
Chicago/Turabian StyleZhang, Gang, Jahanzaib Israr, Wenguo Ma, and Hongyu Wang. 2021. "Modeling Water-Induced Base Particle Migration in Loaded Granular Filters Using Discrete Element Method" Water 13, no. 14: 1976. https://doi.org/10.3390/w13141976
APA StyleZhang, G., Israr, J., Ma, W., & Wang, H. (2021). Modeling Water-Induced Base Particle Migration in Loaded Granular Filters Using Discrete Element Method. Water, 13(14), 1976. https://doi.org/10.3390/w13141976

