Evapotranspiration Measurement and Estimation of Crop Coefficient for Native Plant Species of Green Roof in the Tropics
Abstract
1. Introduction
2. Materials and Methods
2.1. Experimental Setup
2.2. Green Roof Vegetation and Substrate Characteristics
2.3. Field Data Monitoring and Collections
2.4. Data Analysis
3. Results and Discussion
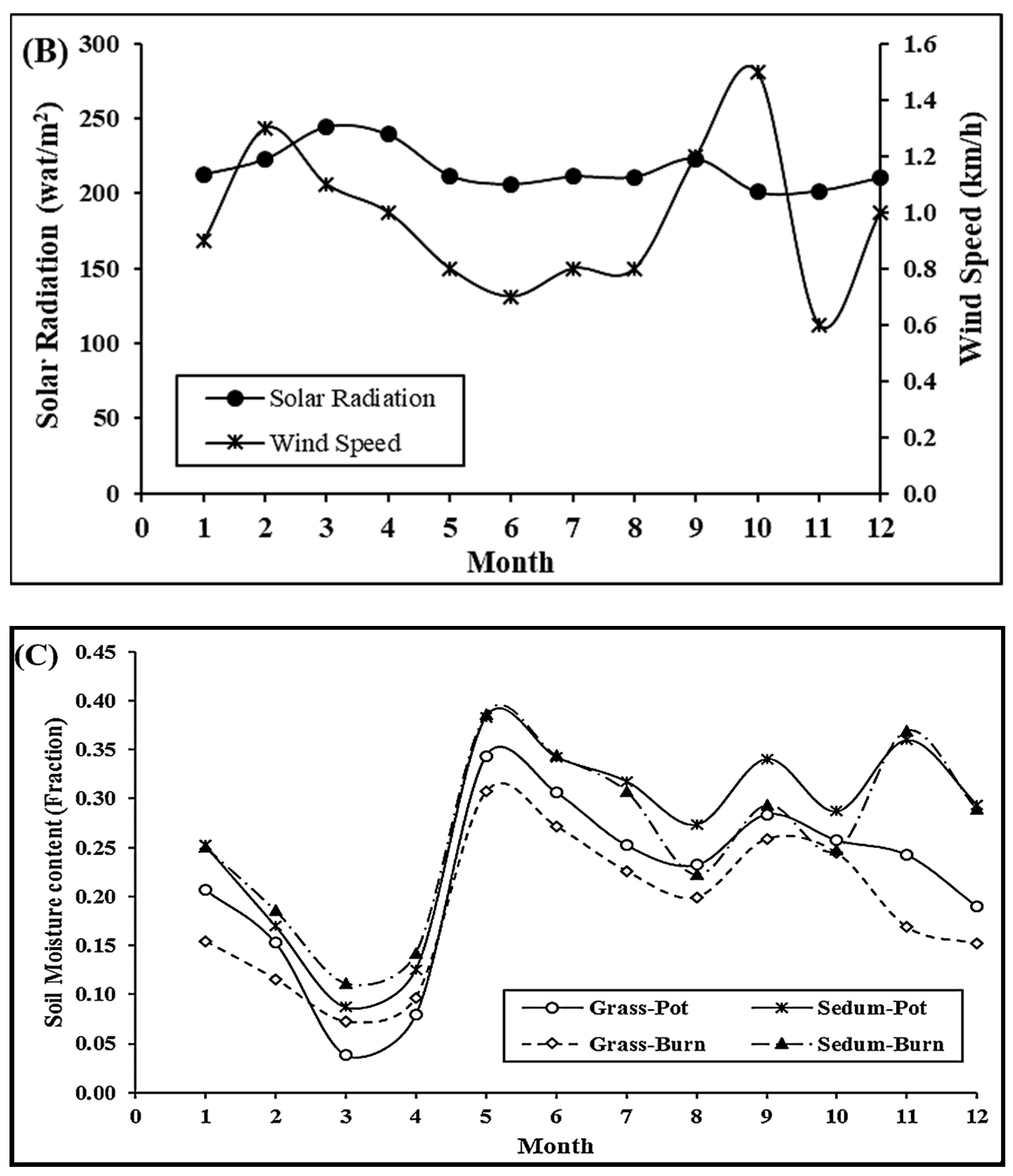
3.1. Weather and Substrate Moisture Content Profiles during Monitoring Period
3.2. Daily Evapotranspiration (ET) Rates of Green Roof
3.3. Relationship between Evapotranspiration Rates and Environmental Parameters
3.4. Estimation of Crop Coefficient
4. Conclusions
Author Contributions
Funding
Institutional Review Board Statement
Informed Consent Statement
Data Availability Statement
Acknowledgments
Conflicts of Interest
References
- United Nations. World Urbanization Prospects: The 2001 Revision; United Nations: New York, NY, USA, 2002. [Google Scholar]
- Roy, A.H.; Freeman, M.C.; Freeman, B.J.; Wenger, S.J.; Ensign, W.E.; Meyer, J.L. Investigating hydrological alteration as a mechanism of fish assemblage shifts in urbanizing streams. J. N. Am. Benthol. Soc. 2005, 24, 656–678. [Google Scholar] [CrossRef]
- Walsh, C.J.; Fletcher, T.D.; Ladson, A.R. Stream restoration in urban catchments through redesigning stormwater systems: Looking to the catchment to save the stream. J. N. Am. Benthol. Soc. 2005, 24, 690–705. [Google Scholar] [CrossRef]
- Chow, M.F.; Yusop, Z.; Abustan, I. Relationship between sediment build-up characteristics and antecedent dry days on different urban road surfaces in Malaysia. Urban Water J. 2015, 12, 240–247. [Google Scholar] [CrossRef]
- Chow, M.F.; Bakar, M.F.A. Environmental benefits of green roof to the sustainable urban development: A review. Lect. Notes Civ. Eng. 2019, 9, 1525–1541. [Google Scholar]
- Chow, M.F.; Yusop, Z. Contributions of dry and wet weather runoffs to annual pollutant loading in tropical urban catchments. Lect. Notes Civ. Eng. 2019, 9, 1511–1521. [Google Scholar]
- Dhalla, S.; Zimmer, C. Low Impact Development Stormwater Management Planning and Design Guide, Toronto and Design, Conservation for the Living City. 2010. Available online: https://cvc.ca/low-impact-development/low-impact-development-support/stormwater-management-lid-guidance-documents/low-impact-development-stormwater-management-planning-and-design-guide/ (accessed on 9 May 2019).
- Chow, M.F.; Yusop, Z.; Toriman, M.E. Level and transport pattern of faecal coliform bacteria from tropical urban catchments. Water Sci. Tech. 2013, 67, 1822–1831. [Google Scholar] [CrossRef]
- Haris, H.; Chow, M.F.; Usman, F.; Sidek, L.M.; Roseli, Z.A.; Norlida, M.D. Urban Stormwater Management Model and Tools for Designing Stormwater Management of Green Infrastructure Practices. IOP Conf. Ser. Earth Environ. Sci. 2016, 32, 012022. [Google Scholar] [CrossRef]
- Leong, J.Y.C.; Chong, M.N.; Poh, P.E.; Vieritz, A.; Talei, A.; Chow, M.F. Quantification of mains water savings from decentralized rainwater, greywater, and hybrid rainwater-greywater systems in tropical climatic conditions. J. Clean. Prod. 2018, 176, 946–958. [Google Scholar] [CrossRef]
- Slonecker, E.T.; Tilley, J.S. An evaluation of the individual components and accuracies associated with the determination of impervious area. GISci. Remote Sens. 2004, 41, 165–184. [Google Scholar] [CrossRef]
- Kohler, M. Plant survival research and biodiversity: Lesson from Europe. In Proceedings of the 1st Annual Greening Rooftops for Sustainable Communities Conference, Awards and Trade Show, Chicago, IL, USA, 20–30 May 2003. [Google Scholar]
- Oberndorfer, E.; Lundholm, J.; Bass, B.; Coffman, R.R.; Doshi, H.; Dunnett, N.; Gaffin, S.; Kohler, M.; Liu, K.K.Y.; Rowe, B. Green roofs as urban ecosystems: Ecological structures, functions, and services. BioScience 2007, 57, 823–833. [Google Scholar] [CrossRef]
- Mentens, J.; Raes, D.; Hermy, M. Green roofs as a tool for solving the rainwater runoff problem in the urbanized 21st century. Landsc. Urban Plan 2006, 77, 217–226. [Google Scholar] [CrossRef]
- Stovin, V.; Vesuviano, G.; Kasmin, H. The hydrological performance of a green roof test bed under UK climatic conditions. J. Hydrol. 2012, 414–415, 148–161. [Google Scholar] [CrossRef]
- Chow, M.F.; Bakar, M.F. A Review on the Development and Challenges of Green Roof Systems in Malaysia. Int. J. Civ. Environ. Struct. Constr. Arch. Eng. 2016, 10, 16–20. [Google Scholar]
- White, J.W.; Snodgrass, E. Extensive green roof plant selection and characteristics. In Proceedings of the 1st Greening Rooftops for Sustainable Communities Conference, Chicago, IL, USA, 29–30 May 2003. [Google Scholar]
- Durham, A.K.; VanWoert, N.D.; Rowe, D.B.; Rugh, C.L.; Ebert, D. Evaluation of Crassulaceae species on extensive green roofs. In Proceedings of the 2nd Annual International Greening Rooftops for Sustainable Communities Conference, Awards and Trade Show, Portland, OR, USA, 2–4 June 2004. [Google Scholar]
- VanWoert, N.D.; Rowe, D.B.; Andresen, J.A.; Rugh, C.L.; Xiao, L. Watering regime and green roof substrate design affect Sedum plant growth. HortScience 2005, 40, 659–664. [Google Scholar] [CrossRef]
- Monterusso, M.A.; Rowe, D.B.; Rugh, C.L. Establishment and persistence of sedum spp. and native taxa for green roof applications. HortScience 2005, 40, 391–396. [Google Scholar] [CrossRef]
- Snodgrass, E.; Snodgrass, L. Green Roof Plants: A Resource and Planting Guide; Timber Press, Inc.: Portland, OR, USA, 2006. [Google Scholar]
- Baumann, N. Ground-nesting birds on green roofs in Switzerland: Preliminary observations. Urban Habitats 2006, 4, 37–50. [Google Scholar]
- Chow, M.F.; Abu Bakar, M.F.; Sidek, L.M.; Basri, H. Effects of substrate types on runoff retention performance within the extensive green roofs. ARPN J. Eng. Appl. Sci. 2017, 12, 5379–5383. [Google Scholar]
- Chow, M.F.; Bakar, M.F.A.; Wong, J.K. An overview of plant species and substrate materials or green roof system in tropical climate urban environment. AIP Conf. Proc. 2018, 2030, 020004. [Google Scholar]
- Williams, N.S.G.; Rayner, J.P.; Raynor, K.J. Green roofs for wide brown land: Opportunities and barriers for rooftop greening in Australia. Urban For. Urban Green. 2010, 9, 245–251. [Google Scholar] [CrossRef]
- Getter, K.L.; Rowe, D.B.; Andresen, J.A. Quantifying the effect of slope on extensive green roof stormwater retention. Ecol. Eng. 2007, 31, 225–231. [Google Scholar] [CrossRef]
- VanWoert, N.D.; Rowe, D.B.; Andresen, J.A.; Rugh, C.L.; Fernandez, R.T.; Xia, L. Green roof stormwater retention: Effects of roof surface, slope, and media dept. J. Environ. Qual. 2005, 34, 036–1044. [Google Scholar] [CrossRef]
- Cascone, S. Green roof design: State of the art on technology and materials. Sustainability 2019, 11, 3020. [Google Scholar] [CrossRef]
- Gruzen Samton Architects LLP with Amis Inc.; Flack & Kurtz Inc.; Mathews Nielsen Landscape Architects P.C.; SHADE Consulting, LLC. DDC Cool and Green Roofing Manual; New York City Department of Design & Construction: New York, NY, USA, 2007. [Google Scholar]
- Allen, R.G.; Pereira, L.S.; Raes, D.; Smith, M. Crop Evapotranspiration: Guidelines for Computing Crop Water Requirements, Publication No. 56; Food and Agriculture Organization of the United Nations: Rome, Italy, 1998. [Google Scholar]
- Zhao, L.; Xia, J.; Xu, C.; Wang, Z.; Sobkowiak, L.; Long, C. Evapotranspiration Estimation Methods in Hydrological Models. J. Geogr. Sci. 2013, 23, 359–369. [Google Scholar] [CrossRef]
- Irmak, S. Estimating Crop Evapotranspiration from Reference Evapotranspiration and Crop Coefficients; University of Nebraska-Lincoln Extension: Lincoln, NE, USA, 2009. [Google Scholar]
- Voyde, E.; Fassman, E.; Simcock, R.; Wells, J. Quantifying evapotranspiration rates for New Zealand green roofs. Hydrol. Eng. 2010, 15, 395–403. [Google Scholar] [CrossRef]
- Poe, S.; Stovin, V. Advocating a physically-based hydrological model for green roofs: Evapotranspiration during the drying cycle. In Proceedings of the World Green Roof Congress, Copenhagen, Denmark, 18–21 September 2012. [Google Scholar]
- Kasmin, H.; Stovin, V.R.; Hathway, E.A. Towards a generic rainfall-runoff model for green roofs. Water Sci. Technol. 2010, 62, 898–905. [Google Scholar] [CrossRef]
- Voyde, E.; Fassman, E.; Simcock, R. Hydrology of an extensive living roof under subtropical, Climate conditions in Auckland, New Zealand. J. Hydrol. 2010, 394, 384–395. [Google Scholar] [CrossRef]
- Zhang, S.; Guo, Y. Analytical Probabilistic Model for Evaluating the Hydrologic Performance of Green Roofs. J. Hydrol. Eng. 2013, 18, 19–28. [Google Scholar] [CrossRef]
- Liu., K.; Minor, J.; Liu, K.; Minor, J. Performance evaluation of an extensive green roof. In Proceedings of the Third Annual Greening Rooftops for Sustainable Communities Conference, Awards and Trade Show, Washington, DC, USA, 4–6 May 2005. [Google Scholar]
- Villarreal, E.L.; Bengtsson, L. Response of a sedum green-roof to individual rain events. Ecol. Eng. 2005, 25, 1–7. [Google Scholar] [CrossRef]
- Hathaway, A.M.; Hunt, W.F.; Jennings, G.D. A field study of green roof hydro-logic and water quality performance. Trans. ASABE 2008, 51, 37–44. [Google Scholar] [CrossRef]
- Buccola, N.; Spolek, G. A pilot-scale evaluation of greenroof runoff retention, detention, and quality. Water Air Soil Pollut. 2011, 216, 83–92. [Google Scholar] [CrossRef]
- Stovin, V.; Poe, S.; Berretta, C. A modelling study of long term green roof retention. J. Environ. Manag. 2013, 131, 206–215. [Google Scholar] [CrossRef]
- Berretta, C.; Poё, S.; Stovin, V. Moisture content behavior in extensive green roofs during dry periods: The influence of vegetation and substrate characteristics. J. Hydrol. 2014, 511, 374–386. [Google Scholar] [CrossRef]
- Cascone, S.; Coma, J.; Gagliano, A.; Pérez, G. The evapotranspiration process in green roofs: A review. Build Environ. 2019, 147, 337–355. [Google Scholar] [CrossRef]
- Feng, Y.; Burian, S.J.; Pardyjak, E.R. Observation and Estimation of Evapotranspiration from an Irrigated Green Roof in a Rain-Scarce Environment. Water 2018, 10, 262. [Google Scholar] [CrossRef]
- Rezaei, F. Evapotranspiration Rates from Extensive Green Roof Species; Pennsylvania State University: State College, PA, USA, 2005. [Google Scholar]
- Marasco, D.E.; Hunter, B.N.; Culligan, P.J.; Gaffin, S.R.; McGillis, W.R. Quantifying Evapotranspiration from Urban Green Roofs: A Comparison of Chamber Measurements with Commonly Used Predictive Methods. Environ. Sci. Technol. 2014, 48, 10273–10281. [Google Scholar] [CrossRef]
- DiGiovanni, K.; Montalto, F.; Gaffin, S.; Rosenzweig, C. Applicability of classical predictive equations for the estimation of evapotranspiration from urban green spaces: Green roof results. J. Hydrol. Eng. 2013, 18, 99–107. [Google Scholar] [CrossRef]
- Baryła, A.; Gnatowski, T.; Karczmarczyk, A.; Szatylowicz, J. Changes in temperature and moisture content of an extensive-type green roof. Sustainability 2019, 11, 2498. [Google Scholar] [CrossRef]
- Ko, J.; Piccinni, G.; Marek, T.; Howell, T. Determination of growth-stage-specific crop coefficients (Kc) of cotton and wheat. Agric. Water Manag. 2009, 96, 1691–1697. [Google Scholar] [CrossRef]
- Piccinni, G.; Ko, J.; Marek, T.; Howell, T. Determination of growth-stage-specific crop coefficients (KC) of maize and sorghum. Agric. Water Manag. 2009, 96, 1698–1704. [Google Scholar] [CrossRef]
- Wolf, D.; Lundholm, J.T. Water uptake in green roof microcosms: Effects of plant species and water availability. Ecol. Eng. 2008, 33, 179–186. [Google Scholar] [CrossRef]
- Sherrard, J.; Jacobs, J. Vegetated Roof Water-Balance Model: Experimental and Model Results. J. Hydrol. Eng. 2012, 17, 858–868. [Google Scholar] [CrossRef]
- Starry, O. The Comparative Effects of Three Sedum Species on Green Roof Stormwater Retention; University of Maryland: College Park, MA, USA, 2013. [Google Scholar]
- Lazzarin, R.M.; Castellotti, F.; Busato, F. Experimental measurements and numerical modelling of a green roof. Energy Build. 2005, 37, 1260–1267. [Google Scholar] [CrossRef]
- Voyde, E. Quantifying the Complete Hydrologic Budget for an Extensive Living Roof. Ph.D. Thesis, The University of Auckland, Auckland, New Zealand, 2011. [Google Scholar]
- Schneider, D. Quantifying Evapotranspiration from a Green Roof Analytically. Master’s Thesis, Villanova University, Villanova, PA, USA, 2011. [Google Scholar]
- Zanin, G.; Bortolini, L. Performance of Three Different Native Plant Mixtures for Extensive Green Roofs in a Humid Subtropical Climate Context. Water 2020, 12, 3484. [Google Scholar] [CrossRef]
- Starry, O.; Lea-Cox, J.; Ristvey, A.; Cohan, S. Parameterizing a water-balance model for predicting stormwater runoff from green roofs. J. Hydrol. Eng. 2016, 21, 04016046. [Google Scholar] [CrossRef]






| No. | Parameter | Pot Soil | Burn Soil |
|---|---|---|---|
| 1. | Organic content, (%) | 6.33 | 29.65 |
| 2. | Permeability of soil (k), (mm/s) | 0.0008 | 0.0012 |
| 3. | Apparent density of dry soil, (Mg/m3) | 0.095 | 0.184 |
| 4. | Apparent density of full saturation soil, (Mg/m3) | 0.518 | 0.312 |
| 5. | Maximum water holding capacity, (%) | 52.60 | 60.60 |
| 6. | Specific gravity (Gs) | 1.700 | 1.230 |
| 7. | Dry density of soil (Pd), (Mg/m3) | 0.095 | 0.184 |
| 8. | Void ratio (e) | 16.895 | 5.685 |
| 9. | Porosity (n) | 0.944 | 0.850 |
| 10. | Water content (w), (%) | 14.8 | 21.9 |
| 11. | Degree of saturation (Sr) | 0.015 | 0.047 |
| 12. | Air voids content (Av) | 33.54 | 11.10 |
| 13. | Particle density (Mw) | 0.251 | 0.269 |
| Parameter | Evapotranspiration (ET) Rates | |||
|---|---|---|---|---|
| Pot Soil | Burn Soil | |||
| Grass | Sedum | Grass | Sedum | |
| Temperature | 0.66 ** | 0.71 ** | 0.65 ** | 0.65 ** |
| Relative humidity | −0.59 ** | −0.64 ** | −0.54 ** | −0.60 ** |
| Solar radiation | 0.29 ** | 0.31 ** | 0.29 ** | 0.36 ** |
| Wind speed | 0.29 ** | 0.31 ** | 0.25 * | 0.38 ** |
Publisher’s Note: MDPI stays neutral with regard to jurisdictional claims in published maps and institutional affiliations. |
© 2021 by the authors. Licensee MDPI, Basel, Switzerland. This article is an open access article distributed under the terms and conditions of the Creative Commons Attribution (CC BY) license (https://creativecommons.org/licenses/by/4.0/).
Share and Cite
Chow, M.F.; Bakar, M.F.A.; Wong, J.K.; Ling, L. Evapotranspiration Measurement and Estimation of Crop Coefficient for Native Plant Species of Green Roof in the Tropics. Water 2021, 13, 1669. https://doi.org/10.3390/w13121669
Chow MF, Bakar MFA, Wong JK, Ling L. Evapotranspiration Measurement and Estimation of Crop Coefficient for Native Plant Species of Green Roof in the Tropics. Water. 2021; 13(12):1669. https://doi.org/10.3390/w13121669
Chicago/Turabian StyleChow, Ming Fai, Muhammad Fadhlullah Abu Bakar, Jee Khai Wong, and Lloyd Ling. 2021. "Evapotranspiration Measurement and Estimation of Crop Coefficient for Native Plant Species of Green Roof in the Tropics" Water 13, no. 12: 1669. https://doi.org/10.3390/w13121669
APA StyleChow, M. F., Bakar, M. F. A., Wong, J. K., & Ling, L. (2021). Evapotranspiration Measurement and Estimation of Crop Coefficient for Native Plant Species of Green Roof in the Tropics. Water, 13(12), 1669. https://doi.org/10.3390/w13121669

