Climate Change Impacts on Water Resources of the Largest Hydropower Plant Reservoir in Southeast Brazil
Abstract
1. Introduction
2. Materials and Methods
2.1. Study Area
2.2. The Lavras Simulation of Hydrology Model (LASH)
2.2.1. Weather and Hydrological Datasets and Basic Maps
2.2.2. Calibration and Validation of the LASH Model
2.3. Climate Change Projections
2.4. Assessment of the Hydrological Impacts
3. Results
3.1. Basic Hydrology of the Main Sub-Basins of the Upstream Furnas Reservoir
3.2. Calibration and Validation of the LASH Model
3.3. Trend Behavior of the Precipitation and Evapotranspiration Long-Term Series in GRB-Furnas
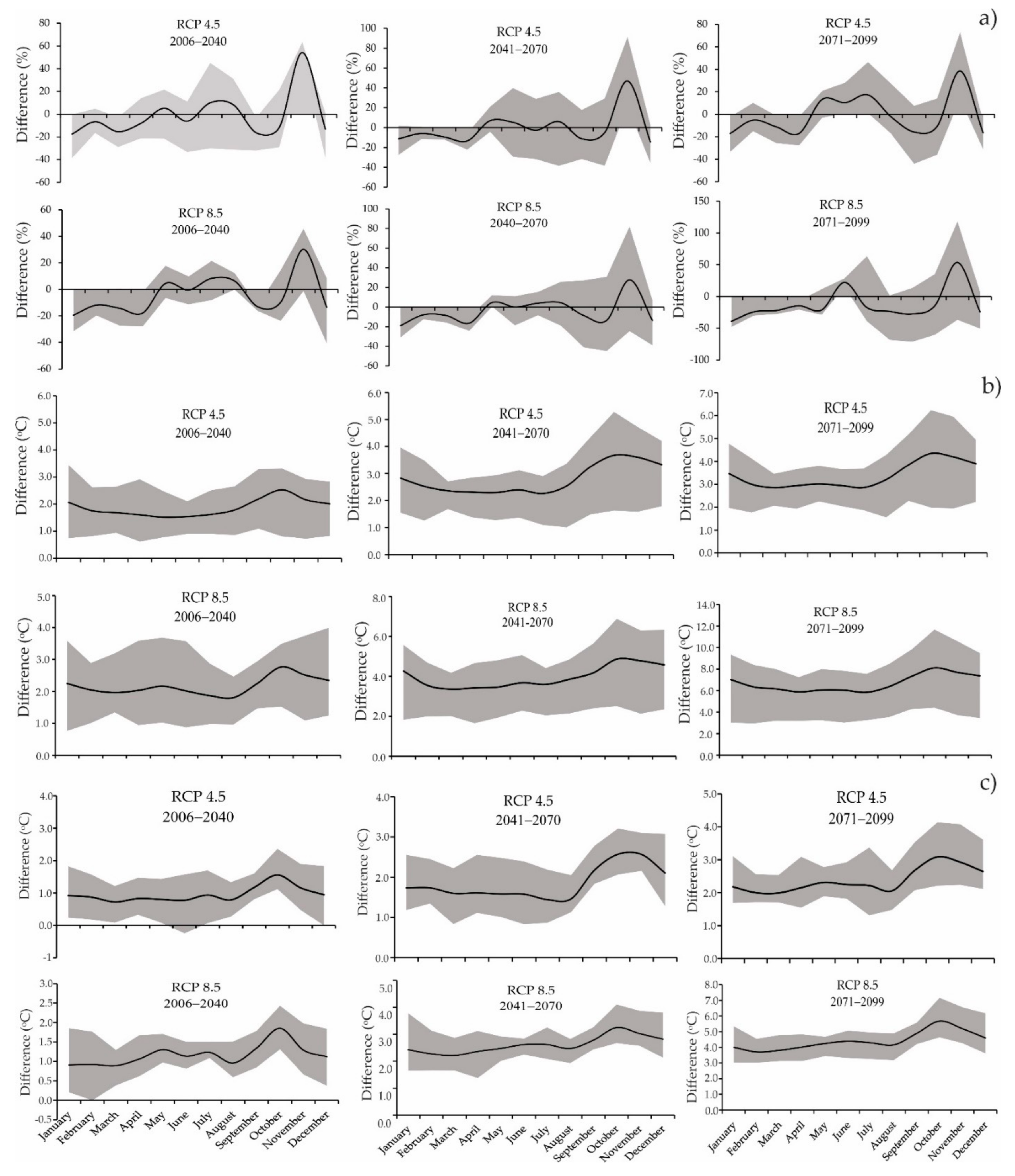
3.4. Climatic Change Projections to the GRB-Furnas Basin, Southeastern Brazil
3.5. Projections of the Hydrological Impacts in the GRB-Furnas Basin
3.5.1. Runoff Sensitivity to the Precipitation and Temperature Simulated by the RCMs
3.5.2. Monthly Runoff Projection
3.5.3. Changes in the Flow Duration Curve (FDC) Indicators
3.5.4. Hydrological Drought Assessment
4. Discussion
5. Conclusions
- (i)
- LASH model simulations for the calibration and validation periods (1991–2007) were in good agreement with observations (NSC of 0.86, Log (NSC) of 0.83, and ΔV of 2.16%, respectively, in a daily time step).
- (ii)
- The RCMs projected significant changes in the GRB-Furnas climate throughout the 21st century, negatively impacting the runoff. In general, future scenarios project a decrease in precipitation during the wet season, which is expected to lead to a significant decrease in runoff and, therefore, in water surplus in the GRB-Furnas basin.
- (iii)
- Future LASH simulations indicated that runoff changes are expected to be more sensitive to changes in precipitation under the RCP4.5 projection rather than the RCP8.5 projection.
- (iv)
- LASH simulated a reduction in runoff associated with a further decrease in baseflow contribution. Eta-HadGEM2-ES and Eta-CanESM2 projected the most significant reduction in the runoff, especially in the wet period. The former RCM, in RCP4.5, projected a more significant reduction in the first time slice (2007–2040), whereas the latter RCM projected a more severe impact for RCP8.5 in the third time slice (2071–2099).
- (v)
- Eta-MIROC5 showed superior performance regarding drought studies; in general, the RCMs’ projections indicate a likely increase in the frequency occurrence of severe hydrological droughts and a likely reduction in the occurrences of wet hydrological years.
- (vi)
- The projections of climate change over the tropical regions in South America have shown a reduction in precipitation, mostly in the rainy season, and the consequences of this impact on water resources may be deeply drastic for such regions. The results of this study can be used as a reference in terms of the pattern of the water cycle in the basins located in southeast and middle-west regions, with a significant concentration of hydropower plants, where water demand has increased significantly for irrigation purposes.
Author Contributions
Funding
Institutional Review Board Statement
Informed Consent Statement
Data Availability Statement
Conflicts of Interest
References
- Intergovernmental Panel on Climate Change (IPCC). Climate Change 2013: The Physical Science Basis; Cambridge University Press: Cambridge, UK, 2013; Available online: http://www.ipcc.ch/report/ar5/wg1/ (accessed on 8 February 2016).
- Lubini, A.; Adamowski, J. Assessing the Potential Impacts of Four Climate Change Scenarios on the Discharge of the Simiyu River, Tanzania Using the SWAT Model. Int. J. Water Sci. 2013, 2, 1–12. [Google Scholar] [CrossRef][Green Version]
- Viola, M.R.; Mello, C.R.; Chou, S.C.; Yanagi, S.N.; Gomes, J.L. Assessing climate change impacts on Upper Grande River Basin hydrology, Southeast Brazil. Int. J. Climatol. 2015, 35, 1054–1068. [Google Scholar] [CrossRef]
- van Vliet, M.T.H.; Wiberg, D.; Leduc, S.; Riahi, K. Power-generation system vulnerability and adaptation to changes in climate and water resources. Nat Clim. Chang. 2016, 6, 375–381. [Google Scholar] [CrossRef]
- Oliveira, V.A.; Mello, C.R.; Viola, M.R.; Srinivasan, R. Assessment of climate change impacts on streamflow and hydropower potential in the headwater region of the Grande river basin, Southeastern Brazil. Int. J. Climatol. 2017, 37, 5005–5023. [Google Scholar] [CrossRef]
- Bueno, E.O.; Alves, G.J.; Mello, C.R. Hydroelectricity water footprint in Parana hydrograph region, Brazil. Renew. Energy 2020, 162, 596–612. [Google Scholar] [CrossRef]
- Nóbrega, M.T.; Collischonn, W.; Tucci, C.E.M.; Paz, A.R. Uncertainty in climate change impacts on water resources in the Rio Grande Basin, Brazil. Hydrol. Earth Syst. Sci. 2011, 15, 585–595. [Google Scholar] [CrossRef]
- Viola, M.R.; Mello, C.R.; Beskow, S.; Norton, L.D. Impacts of land-use changes on the hydrology of the Grande river basin headwaters, Southeastern, Brazil. Water Resour. Manag. 2014, 28, 4537–4550. [Google Scholar] [CrossRef]
- Mello, C.R.; Norton, L.D.; Curi, N.; Yanagi, S.N.M. Sea surface temperature (SST) and rainfall erosivity in the Upper Grande River Basin, Southeast Brazil. Ciência Agrotecnologia 2012, 36, 53–59. [Google Scholar] [CrossRef]
- Mello, C.R.; Viola, M.R.; Norton, L.D.; Silva, A.M.; Weimar, F.A. Development and application of a simple hydrologic model simulation for a Brazilian headwater basin. Catena 2008, 75, 235–247. [Google Scholar] [CrossRef]
- Beskow, S.; Mello, C.R.; Norton, L.D.; Silva, A.M. Performance of a distributed semi-conceptual hydrological model under tropical watershed conditions. Catena 2011, 86, 160–171. [Google Scholar] [CrossRef]
- Beskow, S.; Mello, C.R.; Norton, L.D. Development, sensitivity and uncertainty analysis of LASH model. Sci. Agric. 2011, 68, 265–274. [Google Scholar] [CrossRef][Green Version]
- Caldeira, T.L.; Mello, C.R.; Beskow, S.; Timm, L.C.; Viola, M.R. LASH hydrological model: An analysis focused on spatial discretization. Catena 2019, 173, 183–193. [Google Scholar] [CrossRef]
- Andrade, N.P.V.; Viola, M.R.; Beskow, S.; Caldeira, T.L.; Guo, L.; Mello, C.R. Assessment of Spatial and Temporal Soil Water Storage Using a Distributed Hydrological Model. Water Resour. Manag. 2020, 34, 1–16. [Google Scholar] [CrossRef]
- Mishra, S.K.; Singh, V.P.; Sansalone, J.J.; Aravamuthan, V. A modified SCA-CN method: Characterization and testing. Water Resour. Manag. 2003, 17, 37–68. [Google Scholar] [CrossRef]
- Novák, V.; Hlaváciková, H. Applied Soil Hydrology, 2nd ed.; Springer International Publishing: Cham, Switzerland, 2019; Volume 342. [Google Scholar] [CrossRef]
- Cunge, J.A. On the Subject of a flood propagation computation method (Musklngum Method). J. Hydraul. Res. 1969, 7, 205–230. [Google Scholar] [CrossRef]
- Allen, R.G.; Pereira, L.S.; Raes, D.; Smith, M. Crop Evapotranspiration: Guidelines for Computing Crop Water Requirements; Irrigation and Drainage; Paper No. 56; FAO: Rome, Italy, 1998; 328p. [Google Scholar]
- Viola, M.R.; Mello, C.R.; Beskow, S.; Norton, L.D. Applicability of the LASH model for hydrological simulation of the Grande River Basin, Brazil. J. Hydrol. Eng. 2013, 18, 1639–1652. [Google Scholar] [CrossRef]
- Beskow, S.; Norton, L.D.; Mello, C.R. Hydrological Prediction in a Tropical Watershed Dominated by Oxisols Using a Distributed Hydrological Model. Water Resour. Manag. 2013, 27, 341–363. [Google Scholar] [CrossRef]
- Guilhon, L.G.F.; Rocha, V.F.; Moreira, J.C. Comparação de métodos de previsão de vazões naturais a aproveitamentos hidroelétricos. RBRH 2007, 12, 13–20. [Google Scholar]
- Müller, I.I.; Rizzi, N.E.; Fill, H.D. Avaliação da vazão indisponibilizada por usinas hidrelétricas em bacias hidrográficas e a cobrança pelo uso da água no setor elétrico. Floresta 2011, 41, 737–750. [Google Scholar] [CrossRef]
- Nash, J.E.; Sutcliffe, J.V. River flow forecasting through conceptual models part I: A discussion of principles. J. Hydrol. 1970, 10, 282–290. [Google Scholar] [CrossRef]
- Lehner, F.; Wood, A.W.; Vano, J.A.; Lawrence, D.M.; Clark, M.P.; Mankin, J.S. The potential to reduce uncertainty in regional runoff projections from climate models. Nat Clim. Chang. 2019, 9, 926–933. [Google Scholar] [CrossRef]
- Xu, C.Y.; Singh, V.P. Review on Regional Water Resources Assessment Models under Stationary and Changing Climate. Water Resour. Manag. 2004, 18, 591–612. [Google Scholar] [CrossRef]
- Tan, M.L.; Ibrahim, A.L.; Yusop, Z.; Chua, V.P.; Chan, N.W. Climate change impacts under CMIP5 RCP scenarios on water resources of the Kelantan River Basin, Malaysia. Atmos. Res. 2017, 189, 1–10. [Google Scholar] [CrossRef]
- Ouyang, F.; Zhu, Y.; Fu, G.; Lü, H.; Zhang, A.; Yu, Z.; Chen, X. Impacts of climate change under CMIP5 RCP scenarios on streamflow in the Huangnizhuang catchment. Stoch. Environ. Res. Risk Assess. 2015, 29, 1781–1795. [Google Scholar] [CrossRef]
- Kopytkovskiy, M.; Geza, M.; McCray, J.E. Climate-change impacts on water resources and hydropower potential in the Upper Colorado River Basin. J. Hydrol. Reg. Stud. 2015, 3, 473–493. [Google Scholar] [CrossRef]
- Ho, J.T.; Thompson, J.R.; Brierley, C. Projections of hydrology in the Tocantins-Araguaia Basin, Brazil: Uncertainty assessment using the CMIP5 ensemble. Hydrol. Sci. J. 2016, 6, 1–17. [Google Scholar] [CrossRef][Green Version]
- Riquetti, N.B.; Mello, C.R.; Beskow, S.; Viola, M.R. Rainfall erosivity in South America: Current patterns and future perspectives. Sci. Total Environ. 2020, 724, 138315. [Google Scholar] [CrossRef]
- Chou, S.C.; Lyra, A.; Mourão, C.; Dereczynski, C.; Pilotto, I.; Gomes, J.; Bustamante, J.; Tavares, P.; Silva, A.; Rodrigues, D.; et al. Assessment of Climate Change over South America under RCP 4.5 and 8.5 Downscaling Scenarios. Am. J. Clim. Chang. 2014, 3, 512–525. [Google Scholar] [CrossRef]
- Chou, S.C.; Lyra, A.; Mourão, C.; Dereczynski, C.; Pilotto, I.; Gomes, J.; Bustamante, J.; Tavares, P.; Silva, A.; Rodrigues, D.; et al. Evaluation of the Eta Simulations Nested in Three Global Climate Models. Am. J. Clim. Chang. 2014, 3, 438–454. [Google Scholar] [CrossRef]
- Chou, S.C.; Marengo, J.A.; Lyra, A.A.; Sueiro, G.; Pesquero, J.F.; Alves, L.M.; Kay, G.; Betts, R.; Chagas, D.J.; Gomes, J.L.; et al. Downscaling of South America present climate driven by 4-member HadCM3 runs. Clim. Dyn. 2011, 38, 635–653. [Google Scholar] [CrossRef]
- Watanabe, M.; Suziki, T.; O’ishi, R.; Komuro, Y.; Watanabe, S.; Emori, S.; Takemura, T.; Chikira, M.; Ogura, T.; Sekiguchi, M.; et al. Improved Climate Simulation by MIROC5: Mean States, Variability, and Climate Sensitivity. J. Clim. 2010, 23, 6312–6335. [Google Scholar] [CrossRef]
- Collins, W.J.; Bellouin, N.; Doutriaux-Boucher, M.; Gedney, N.; Halloran, P.; Hinton, T.; Hughes, J.; Jones, C.D.; Joshi, M.; Liddicoat, S.; et al. Development and evaluation of an Earth-System model—HadGEM2. Geosci. Model Dev. 2011, 4, 1051–1075. [Google Scholar] [CrossRef]
- Martin, G.M.; Bellouin, N.; Collins, W.J.; Culverwell, I.D.; Halloran, P.R.; Hardiman, S.C.; Hinton, T.J.; Jones, C.D.; McDonald, R.E.; O’Connor, F.M.; et al. The HadGEM2 family of Met Office Unified Model climate configurations. Geosci. Model Dev. 2011, 43, 723–757. [Google Scholar] [CrossRef]
- Lyra, A.; Tavares, P.; Chou, S.C.; Sueiro, G.; Dereczynski, C.P.; Sondermann, M.; Silva, A.; Marengo, J.; Giarolla, A. Climate change projections over three metropolitan regions in Southeast Brazil using the non-hydrostatic Eta regional climate model at 5-km resolution. Theor Appl Climatol. 2018, 29, 663–682. [Google Scholar] [CrossRef]
- Cousino, L.K.; Becker, R.H.; Zmijewski, K.A. Modeling the effects of climate change on water, sediment, and nutrient yields from the Maumee River watershed. J. Hydrol. Reg. Stud. 2015, 4, 762–775. [Google Scholar] [CrossRef]
- Oliveira, V.A.; Mello, C.R.; Beskow, S.; Viola, M.R.; Srinivasan, R. Modeling the effects of climate change on hydrology and sediment load in a headwater basin in the Brazilian Cerrado biome. Ecol. Eng. 2019, 133, 20–31. [Google Scholar] [CrossRef]
- Graham, L.P.; Andréasson, J.; Carlsson, B. Assessing climate change impacts on hydrology from an ensemble of regional climate models, model scales and linking methods—A case study on the Lule River basin. Clim. Chang. 2007, 81, 293–307. [Google Scholar] [CrossRef]
- Berg, P.; Feldmann, H.; Panitz, H.J. Bias correction of high resolution regional climate model data. J. Hydrol. 2012, 448, 80–92. [Google Scholar] [CrossRef]
- Teutschbein, C.; Seibert, J. Bias correction of regional climate model simulations for hydrological climate-change impact studies: Review and evaluation of different methods. J. Hydrol. 2012, 456, 12–29. [Google Scholar] [CrossRef]
- Shrestha, M.; Acharya, S.C.; Shrestha, P.K. Bias correction of climate models for hydrological modelling—are simple methods still useful? Meteorol. Appl. 2017, 24, 531–539. [Google Scholar] [CrossRef]
- Junqueira, R.; Viola, M.R.; Mello, C.R.; Vieira-Filho, M.; Alves, M.V.G.; Amorim, J.S. Drought severity indexes for the Tocantins River Basin, Brazil. Theor. Appl. Climatol 2020, 141, 465–481. [Google Scholar] [CrossRef]
- Dawson, C.W.; Abrahart, R.J.; See, L.M. HydroTest: A web-based toolbox of evaluation metrics for the standardised assessment of hydrological forecasts. Environ. Model Softw. 2007, 22, 1034–1052. [Google Scholar] [CrossRef]
- Matheussen, B.; Kirschbaum, R.L.; Goodman, I.A.; Donnell, G.M.O.; Lettenmaier, D.P. Efects of land cover change on streamflow in the interior Columbia River Basin (USA and Canada). Hydrol. Process. 2000, 14, 867–885. [Google Scholar] [CrossRef]
- Weedon, G.P.; Prudhomme, C.; Crooks, S.; Ellis, R.J.; Folwell, S.S.; Best, M.J. Evaluating the Performance of Hydrological Models via Cross-Spectral Analysis: Case Study of the Thames Basin, United Kingdom. J. Hydrometeorol. 2015, 16, 214–231. [Google Scholar] [CrossRef]
- Foy, C.; Arabi, M.; Yen, H.; Gironás, J. Multisite Assessment of Hydrologic Processes in Snow-Dominated Mountainous River Basins in Colorado Using a Watershed Model. J. Hydrol. Eng. 2015, 20, 20. [Google Scholar] [CrossRef]
- Rodrigues, A.F.; Mello, C.R.; Nehren, U.; Ribeiro, J.P.C.; Mantovani, V.A.; Mello, J.M. Modeling canopy interception under drought conditions: The relevance of evaporation and extra sources of energy. J. Environ. Manag. 2021, 292, 112710-14. [Google Scholar] [CrossRef]
- Harding, B.; Wood, A.W.; Prairie, J.R. The implications of climate change scenario selection for future streamflow projection in the Upper Colorado River Basin. Hydrol. Earth Syst. Sci. 2012, 16, 3989–4007. [Google Scholar] [CrossRef]
- Amorim, P.B.; Chaffe, P.B. Towards a comprehensive characterization of evidence in synthesis assessments: The climate change impacts on the Brazilian water resources. Clim. Chang. 2012, 36, 53–59. [Google Scholar] [CrossRef]
- Prudhomme, C.; Davies, H. Assessing uncertainties in climate change impact analyses on the river flow regimes in the UK. Part 2: Future climate. Clim. Chang. 2009, 93, 197–222. [Google Scholar] [CrossRef]
- Mohor, G.S.; Rodríguez, D.A.; Tomasella, J.; Siqueira Junior, J.L. Exploratory analyses for the assessment of climate change impacts on the energy production in an Amazon run-of-river hydropower plant. J. Hydrol. Reg. Stud. 2015, 4, 41–59. [Google Scholar] [CrossRef]











| HRU Characterization | Lambda—λ (Dimensionless) | |
| Native areas in slope <10% and all soil classes (λ1) | 0.5 | |
| Agriculture/pasture areas in slope >10% and all soil classes (λ2) | 0.45 | |
| Agriculture/pasture areas in Bw and Bt and slope <10% (λ3) | 0.4 | |
| Agriculture/pasture areas in Ne and Bi and slope <10% (λ4) | 0.35 | |
| Agriculture/pasture areas in Bw and Bt and slope >10% (λ5) | 0.03 | |
| Agriculture/pasture areas in Ne and Bi and slope >10% (λ6) | 0.0185 | |
| HRU characterization | KB (mm day−1) | |
| Native areas and all soil classes (KB1) | 5 | |
| Agriculture/pasture areas in Bw and Bt (KB2) | 4 | |
| Agriculture/pasture areas in Bi (KB3) | 2.5 | |
| Shallow soils (Ne and rock predominance) (KB4) | 2 | |
| HRU characterization | KSS (mm day−1) | |
| Native areas and all the slope considered (KSS1) | 25 | |
| Slope: >20% and agriculture/pasture areas (KSS2) | 22 | |
| Slope: 10–20% and agriculture/pasture areas (KSS3) | 20.74 | |
| Slope: 0–10% and exposed rock (KSS4) | 18 | |
| HRU characterization | CSUP (dimensionless) | |
| Slope: 0–10% (CSUP1) | 9 | |
| Slope: 10–20% (CSUP2) | 6.01 | |
| Slope: >20% (CSUP3) | 5 | |
| HRU characterization | CSS (dimensionless) | |
| Slope: 0–10% (CSS1) | 80 | |
| Slope: 10–20% (CSS2) | 79 | |
| Slope: >20% (CSS3) | 75 | |
| Sub-Basin | R (mm) | P (mm) | ET (mm) | B (mm) | C | B/R |
|---|---|---|---|---|---|---|
| Aiuruoca | 619.3 | 1414.3 | 795.0 | 421.1 | 0.438 | 0.680 |
| Grande | 640.0 | 1468.8 | 828.8 | 409.6 | 0.436 | 0.640 |
| Verde | 544.5 | 1358.1 | 813.6 | 310.4 | 0.401 | 0.570 |
| Sapucaí | 476.3 | 1324.7 | 848.4 | 252.4 | 0.360 | 0.530 |
| Mortes | 362.9 | 1220.0 | 857.1 | 199.6 | 0.297 | 0.550 |
| Precision Statistic | Calibration (Daily) | Validation (Daily) | Calibration (Monthly) | Validation (Monthly) |
|---|---|---|---|---|
| NSC | 0.86 | 0.77 | 0.89 | 0.85 |
| Log (NSC) | 0.83 | 0.76 | 0.86 | 0.83 |
| ΔV (%) | 2.16 | 11.44 | 2.00 | 12.00 |
| SSFI Threshold | Runoff (mm) | Classification | RP (Years)—Observed | RP (Years)—HadGEM2-ES | RP (Years)—MIROC5 | RP (Years)—CanESM2 |
|---|---|---|---|---|---|---|
| <−2.0 | <288 | ED | 43.6 | 7.3 | 41.6 | 32.5 |
| −2.0–(−1.5) | 288–344 | SD | 22.8 | 13.8 | 18.8 | 22.5 |
| −1.5–(−1.0) | 344–408 | MD | 10.8 | 10.8 | 8.6 | 8.6 |
| −1.0–1.0 | 408–742 | N | 1.5 | 2.3 | 1.4 | 1.4 |
| 1.0–1.5 | 742–848 | MW | 10.8 | 11.6 | 17.0 | 17.0 |
| 1.5–2.0 | 848–962 | VW | 22.7 | 15.4 | 49.6 | 49.6 |
| >2.0 | >962 | EW | 43.7 | 8.7 | 158.1 | 158.1 |
| SSFI Classification | Eta-HadGEM2-ES | Eta-MIROC5 | |
|---|---|---|---|
| RCP4.5 * | RCP4.5 ** | RCP8.5 *** | |
| Extremely Dry | 2.4 | 10.0 | 9.8 |
| Severely Dry | 8.7 | 9.5 | 10.0 |
| Moderately Dry | 8.7 | 6.4 | 6.9 |
| Normal | 3.4 | 1.8 | 1.8 |
| Moderately Wet | 35.4 | 23.7 | 19.6 |
| Very Wet | 61.9 | 59.1 | 43.6 |
| Extremely Wet | 63.9 | 135.0 | 81.9 |
Publisher’s Note: MDPI stays neutral with regard to jurisdictional claims in published maps and institutional affiliations. |
© 2021 by the authors. Licensee MDPI, Basel, Switzerland. This article is an open access article distributed under the terms and conditions of the Creative Commons Attribution (CC BY) license (https://creativecommons.org/licenses/by/4.0/).
Share and Cite
Mello, C.R.; Vieira, N.P.A.; Guzman, J.A.; Viola, M.R.; Beskow, S.; Alvarenga, L.A. Climate Change Impacts on Water Resources of the Largest Hydropower Plant Reservoir in Southeast Brazil. Water 2021, 13, 1560. https://doi.org/10.3390/w13111560
Mello CR, Vieira NPA, Guzman JA, Viola MR, Beskow S, Alvarenga LA. Climate Change Impacts on Water Resources of the Largest Hydropower Plant Reservoir in Southeast Brazil. Water. 2021; 13(11):1560. https://doi.org/10.3390/w13111560
Chicago/Turabian StyleMello, Carlos R., Nayara P. A. Vieira, Jorge A. Guzman, Marcelo R. Viola, Samuel Beskow, and Lívia A. Alvarenga. 2021. "Climate Change Impacts on Water Resources of the Largest Hydropower Plant Reservoir in Southeast Brazil" Water 13, no. 11: 1560. https://doi.org/10.3390/w13111560
APA StyleMello, C. R., Vieira, N. P. A., Guzman, J. A., Viola, M. R., Beskow, S., & Alvarenga, L. A. (2021). Climate Change Impacts on Water Resources of the Largest Hydropower Plant Reservoir in Southeast Brazil. Water, 13(11), 1560. https://doi.org/10.3390/w13111560

