Palladium-Supported Zirconia-Based Catalytic Degradation of Rhodamine-B Dye from Wastewater
Abstract
1. Introduction
2. Material and Methods
2.1. Chemicals
2.2. Instrumentation
2.3. Catalyst Preparation
2.3.1. Support Preparation
2.3.2. Palladium Loading on Support Material
2.4. Catalytic Degradation of Rhodamine-B Dye
3. Results and Discussion
3.1. Characterization of the Catalyst
3.2. Effect of Time on Degradation
3.3. Effect of Temperature on Degradation of Dye
3.4. Effect of Catalyst Amount on the Degradation of Dye
3.5. Thermodynamic Study of Rhodamine-B Dye Degradation
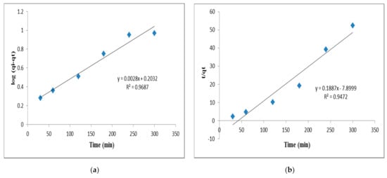
3.6. Kinetic Study of Rhodamine-B Degradation
3.7. Isotherm Study of Rhodamine-B Degradation
3.7.1. Freundlich Isotherm
3.7.2. Langmuir Isotherm
3.7.3. Temkin Isotherm
4. Conclusions
Author Contributions
Funding
Institutional Review Board Statement
Informed Consent Statement
Conflicts of Interest
References
- Soon, A.N.; Hameed, B.H. Heterogeneous catalytic treatment of synthetic dyes in aqueous media using Fenton and photo-assisted Fenton process. Desalination 2011, 269, 1–16. [Google Scholar] [CrossRef]
- Soares, E.T.; Lansarin, M.A.; Moro, C.C. A study of process variables for the photocatalytic degradation of rhodamine B. Braz. J. Chem. Eng. 2007, 24, 29–36. [Google Scholar] [CrossRef]
- Bhargava, S.K.; Tardio, J.; Prasad, J.; Föger, K.; Akolekar, D.B.; Grocott, S.C. Wet oxidation and catalytic wet oxidation. Ind. Eng. Chem. Res. 2006, 45, 1221–1258. [Google Scholar] [CrossRef]
- Levec, J.; Pintar, A. Catalytic wet-air oxidation processes: A review. Catal. Today 2007, 124, 172–184. [Google Scholar] [CrossRef]
- Mahajan, P.; Kaushal, J. Degradation of Congo Red dye in aqueous solution by using phytoremediation potential of Chara vulgaris” Chitkara. Chem. Rev. 2014, 1, 67–75. [Google Scholar]
- Vinu, R.; Madras, G. Photocatalytic degradation of water pollutants using nano-TiO2. Green Energy Technol. 2011, 33, 625–677. [Google Scholar]
- Akpan, U.G.; Hameed, B.H. Parameters affecting the photocatalytic degradation of dyes using TiO2-based photocatalysts: A review. J. Hazard. Mater. 2009, 170, 520–529. [Google Scholar] [CrossRef]
- Balanosky, E.; Herrera, F.; Lopez, A.; Kiwi, J. Oxidative degradation of textile waste water. Modeling reactor performance. Water Res. 2000, 34, 582–596. [Google Scholar] [CrossRef]
- Natarajan, T.S.; Thomas, M.; Natarajan, K.; Bajaj, H.C.; Tayade, R.J. Study on UV-LED/TiO2 process for degradation of Rhodamine B dye. Chem. Eng. J. 2011, 169, 126–134. [Google Scholar] [CrossRef]
- Schrank, S.G.; Dos-Santos, J.N.R.; Souza, D.S.; Souza, E.E.S. Decolorization effects of Vat Green 01 textile dye and textile wastewater using H2O2/UV process. J. Photochem. Photobiol. A 2007, 186, 125–129. [Google Scholar] [CrossRef]
- Hussain, S.T.; Jamil, S.; Mazhar, M. Catalytic wet oxidation of phenol: The role of promoter and ceramic support. Environ. Technol. 2009, 30, 511–524. [Google Scholar] [CrossRef]
- Ikram, M.; Zahoor, M.; Batiha, G.E.-S. Biodegradation and decolorization of textile dyes by bacterial strains: A biological approach for wastewater treatment. Z. Phys. Chem. 2020. [Google Scholar] [CrossRef]
- Khayam, S.M.U.; Zahoor, M.; Khan, E.; Shah, M. Reduction of keto group in drimarene blue by Aspergillus niger; a predominant reason for subsequent decolorization. Fresenius Environ. Bull. 2020, 29, 1397–1410. [Google Scholar]
- Ikram, M.; Zahoor, M.; Khan, E.; Khayam, S.M.U. Biodegradation of Novacron Turqueiose (Reactive Blue 21) by Pseudomonas aeruginosa. J. Chem. Soc. Pak. 2020, 42, 737–745. [Google Scholar]
- Saeed, M.; Adeel, S.; Shahzad, M.A.; Atta-ul-Haq; Muneer, M.; Younas, M. Pt/Al2O3 Catalyzed Decolorization of Rhodamine B Dye in Aqueous Medium. Chiang Mai J. Sci. 2015, 42, 730–744. [Google Scholar]
- Ilyas, M.; Sadiq, M. Kinetics of heterogeneous solvent-free liquid phase oxidation of alcohol using ZrO2 catalyst with molecular oxygen. Chin. J. Chem. 2008, 26, 941–946. [Google Scholar] [CrossRef]
- Keav, S.; de los Monteros, A.E.; Barbier, J.; Duprez, D. Wet Air Oxidation of phenol over Pt and Ru catalysts supported on cerium-based oxides: Resistance to fouling and kinetic modeling. Appl. Catal. B Environ. 2014, 150, 402–410. [Google Scholar] [CrossRef]
- An, W.; Zhang, Q.; Ma, Y.; Chuang, K.T. Pd-based catalysts for catalytic wet oxidation of combined Kraft pulp mill effluents in a trickle bed reactor. Catal. Today 2001, 64, 289–296. [Google Scholar] [CrossRef]
- Inyinbor, A.A.; Adekola, F.A.; Olatunji, G.A. Liquid phase adsorptions of Rhodamine B dye onto raw and chitosan supported mesoporous adsorbents: Isotherms and kinetics studies. Appl. Water Sci. 2017, 7, 2297–2307. [Google Scholar] [CrossRef]
- Mangla, O.; Roy, S. Monoclinic Zirconium Oxide Nanostructures Having Tunable Band Gap Synthesized under Extremely Non-Equilibrium Plasma Conditions. Proceedings 2019, 3, 10. [Google Scholar] [CrossRef]
- Dawood, S.; Sen, T.K. Removal of anionic dye Congo red from aqueous solution by raw pine and acid-treated pine cone powder as adsorbent: Equilibrium, thermodynamic, kinetics, mechanism and process design. Water Res. 2012, 46, 1933–1946. [Google Scholar] [CrossRef] [PubMed]














| Name of Dye | Rhodamine-B |
|---|---|
| Molecular Formula | C28H31ClN2O3 |
| Molecular Weight | 364.4 g/mol |
| Λmax | 555 nm |
| Dye content | 97% |
| Slightly soluble | Acetone and Ethanol |
| Manufacturing method | 4-amino 3 methylebenzenesulfonic acid dia azo and naphtalen-2-ol Coupling |
| ΔH° (kJ/mol) | ΔS° (kJ/mol) | ΔG° (kJ/mol) | |||
|---|---|---|---|---|---|
| 303 K | 313 K | 323 K | 333 K | ||
| −29,140.6 | 48.32 | −14,434.7 | −14,104.4 | −13,588.2 | −12,984.6 |
| Time (min) | Ci | Ce | qi | qt | qi-qt | Log(qi-qt) |
|---|---|---|---|---|---|---|
| 30 | 15 | 1.92 | 15 | 13.08 | 1.92 | 0.28 |
| 60 | 15 | 2.3 | 15 | 12.70 | 2.3 | 0.36 |
| 120 | 15 | 3.23 | 15 | 11.77 | 3.23 | 0.51 |
| 180 | 15 | 5.59 | 15 | 9.41 | 5.59 | 0.75 |
| 240 | 15 | 8.89 | 15 | 6.11 | 8.89 | 0.95 |
| 300 | 15 | 9.28 | 15 | 5.72 | 9.28 | 0.97 |
| Models | R2 Value | Rate Constant |
|---|---|---|
| Pseudo-first-order | 0.968 | K1 = 0.004606 (min−1) |
| Pseudo-second-order | 0.947 | K2 = 0.0236 (g/mg × min) |
| Sample No | Models | Parameters | Values |
|---|---|---|---|
| 1 | Freundlich isotherm | KF | 3 × 1085 |
| N | −0.002 | ||
| R2 | 1 | ||
| 2 | Langmuir isotherm | KL(mg/g) | 0 |
| Q0 (mg/g) | 0 | ||
| aL | 0 | ||
| R2 | 0.972 | ||
| 3 | Temkin isotherm | AT | 0 |
| bT | 0 | ||
| R2 | 0.969 |
Publisher’s Note: MDPI stays neutral with regard to jurisdictional claims in published maps and institutional affiliations. |
© 2021 by the authors. Licensee MDPI, Basel, Switzerland. This article is an open access article distributed under the terms and conditions of the Creative Commons Attribution (CC BY) license (https://creativecommons.org/licenses/by/4.0/).
Share and Cite
Jabeen, S.; Sufaid Khan, M.; Khattak, R.; Zekker, I.; Burlakovs, J.; Rubin, S.S.d.; Ghangrekar, M.M.; Kallistova, A.; Pimenov, N.; Zahoor, M.; et al. Palladium-Supported Zirconia-Based Catalytic Degradation of Rhodamine-B Dye from Wastewater. Water 2021, 13, 1522. https://doi.org/10.3390/w13111522
Jabeen S, Sufaid Khan M, Khattak R, Zekker I, Burlakovs J, Rubin SSd, Ghangrekar MM, Kallistova A, Pimenov N, Zahoor M, et al. Palladium-Supported Zirconia-Based Catalytic Degradation of Rhodamine-B Dye from Wastewater. Water. 2021; 13(11):1522. https://doi.org/10.3390/w13111522
Chicago/Turabian StyleJabeen, Salma, Muhammad Sufaid Khan, Rozina Khattak, Ivar Zekker, Juris Burlakovs, Sergio S. dC Rubin, Makarand Madhao Ghangrekar, Anna Kallistova, Nikolai Pimenov, Muhammad Zahoor, and et al. 2021. "Palladium-Supported Zirconia-Based Catalytic Degradation of Rhodamine-B Dye from Wastewater" Water 13, no. 11: 1522. https://doi.org/10.3390/w13111522
APA StyleJabeen, S., Sufaid Khan, M., Khattak, R., Zekker, I., Burlakovs, J., Rubin, S. S. d., Ghangrekar, M. M., Kallistova, A., Pimenov, N., Zahoor, M., & Khan, G. S. (2021). Palladium-Supported Zirconia-Based Catalytic Degradation of Rhodamine-B Dye from Wastewater. Water, 13(11), 1522. https://doi.org/10.3390/w13111522

