Forecasting of Significant Wave Height Based on Gated Recurrent Unit Network in the Taiwan Strait and Its Adjacent Waters
Abstract
1. Introduction
2. Materials
3. Methodology
3.1. Wave Forecast Model
3.2. Data Preprocessing and Evaluation Criteria
4. Results and Discussions
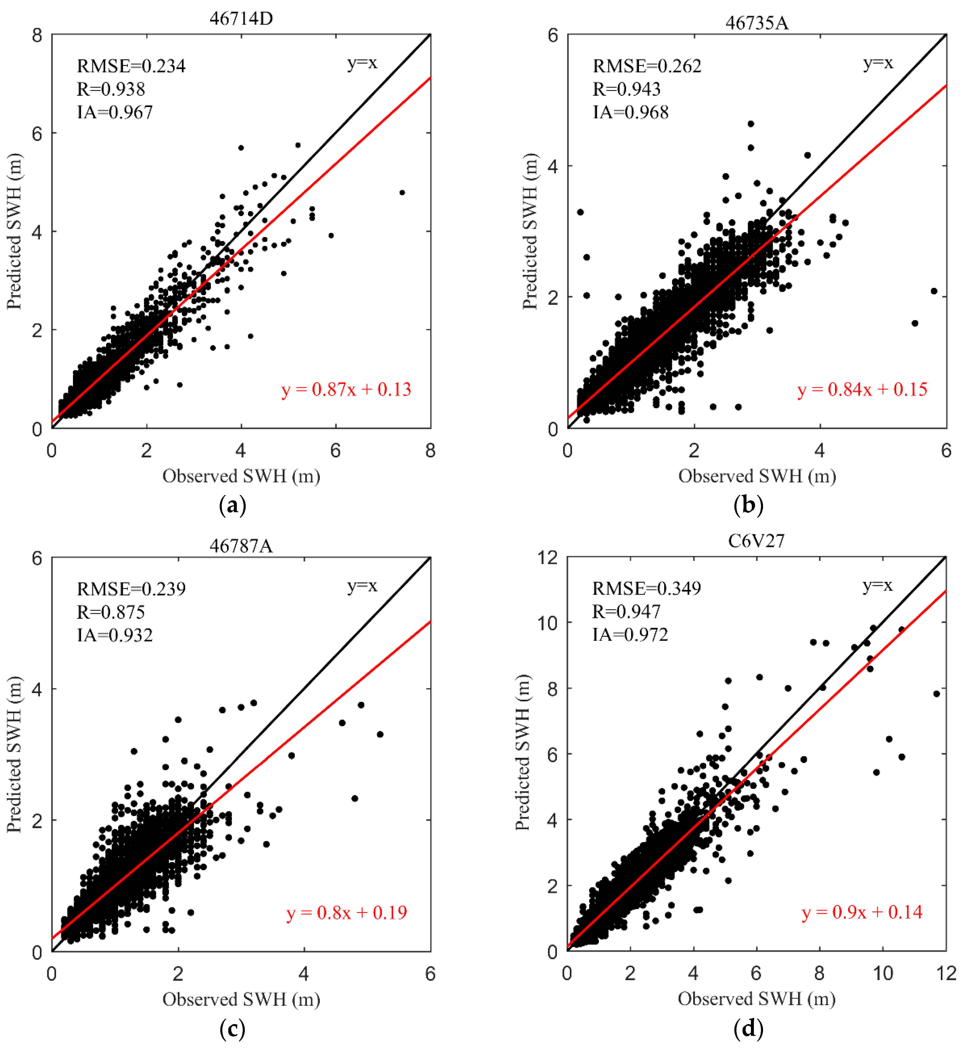
4.1. SWH Prediction with Lead Times of 3 h
4.2. SWH Prediction with Lead Times of 6 h
4.3. Long-Term Span SWH Prediction
5. Conclusions
Author Contributions
Funding
Institutional Review Board Statement
Informed Consent Statement
Data Availability Statement
Conflicts of Interest
References
- Zheng, C.-W.; Wu, G.-X.; Chen, X.; Wang, Q.; Gao, Z.-S.; Chen, Y.-G.; Luo, X. CMIP5-Based Wave Energy Projection: Case Studies of the South China Sea and the East China Sea. IEEE Access 2019, 7, 82753–82763. [Google Scholar] [CrossRef]
- Zheng, C.W.; Li, C.Y. Variation of the wave energy and significant wave height in the China Sea and adjacent waters. Renew. Sust. Energ. Rev. 2015, 43, 381–387. [Google Scholar] [CrossRef]
- Agrawal, J.D.; Deo, M.C. On-line wave prediction. Marine Struct. 2002, 15, 57–74. [Google Scholar] [CrossRef]
- Guner, H.A.A.; Yuksel, Y.; Cevik, E.O. Estimation of wave parameters based on nearshore wind-wave correlations. Ocean Eng. 2013, 63, 52–62. [Google Scholar] [CrossRef]
- Yoon, H.; Jun, S.-C.; Hyun, Y.; Bae, G.-O.; Lee, K.-K. A comparative study of artificial neural networks and support vector machines for predicting groundwater levels in a coastal aquifer. J. Hydrol. 2011, 396, 128–138. [Google Scholar] [CrossRef]
- Zamani, A.; Solomatine, D.; Azimian, A.; Heemink, A. Learning from data for wind-wave forecasting. Ocean Eng. 2008, 35, 953–962. [Google Scholar] [CrossRef]
- Malekmohamadi, I.; Bazargan-Lari, M.R.; Kerachian, R.; Nikoo, M.R.; Fallahnia, M. Evaluating the efficacy of SVMs, BNs, ANNs and ANFIS in wave height prediction. Ocean Eng. 2011, 38, 487–497. [Google Scholar] [CrossRef]
- Altunkaynak, A.; Wang, K.-H. Estimation of significant wave height in shallow lakes using the expert system techniques. Expert Syst. Appl. 2012, 39, 2549–2559. [Google Scholar] [CrossRef]
- Nitsure, S.P.; Londhe, S.N.; Khare, K.C. Wave forecasts using wind information and genetic programming. Ocean Eng. 2012, 54, 61–69. [Google Scholar] [CrossRef]
- Prahlada, R.; Deka, P.C. Forecasting of Time Series Significant Wave Height Using Wavelet Decomposed Neural Network. In Proceedings of the International Conference on Water Resources, Coastal and Ocean Engineering (icwrcoe’15), Karnataka, India, 11–14 March 2015; Dwarakish, G.S., Ed.; Elsevier: Amsterdam, The Netherlands, 2015; Volume 4, pp. 540–547. [Google Scholar]
- Cornejo-Bueno, L.; Nieto-Borge, J.C.; Garcia-Diaz, P.; Rodriguez, G.; Salcedo-Sanz, S. Significant wave height and energy flux prediction for marine energy applications: A grouping genetic algorithm—Extreme Learning Machine approach. Renew. Energy 2016, 97, 380–389. [Google Scholar] [CrossRef]
- Nikoo, M.R.; Kerachian, R.; Alizadeh, M.R. A fuzzy KNN-based model for significant wave height prediction in large lakes. Oceanologia 2018, 60, 153–168. [Google Scholar] [CrossRef]
- Wei, C.-C.; Hsieh, C.-J. Using Adjacent Buoy Information to Predict Wave Heights of Typhoons Offshore of Northeastern Taiwan. Water 2018, 10, 1800. [Google Scholar] [CrossRef]
- Yang, S.; Xia, T.; Zhang, Z.; Zheng, C.; Li, X.; Li, H.; Xu, J. Prediction of Significant Wave Heights Based on CS-BP Model in the South China Sea. IEEE Access 2019, 7, 147490–147500. [Google Scholar] [CrossRef]
- Zhang, X.; Dai, H. Significant Wave Height Prediction with the CRBM-DBN Model. J. Atmos. Oceanic Technol. 2019, 36, 333–351. [Google Scholar] [CrossRef]
- Hochreiter, S.; Schmidhuber, J. Long short-term memory. Neural Comput. 1997, 9, 1735–1780. [Google Scholar] [CrossRef]
- Son, G.; Choi, H.; Lee, J.-H.; Kang, P. Significant Wave Height Regression from a Raw Ocean Image with Convolutional LSTM and 3D Convolutional Networks. J. Korean Op. Res. Manag. Sci. Soc. 2020, 45, 11–24. [Google Scholar] [CrossRef]
- Fan, S.; Xiao, N.; Dong, S. A novel model to predict significant wave height based on long short-term memory network. Ocean Eng. 2020, 205, 107298. [Google Scholar] [CrossRef]
- Cho, K.; Merriënboer, B.V.; Gulcehre, C.; Bahdanau, D.; Bougares, F.; Schwenk, H.; Bengio, Y. Learning phrase representations using RNN encoder-decoder for statistical machine translation. In Proceedings of the EMNLP 2014 Conference on Empirical Methods in Natural Language Processing, Doha, Qatar, 25–29 October 2014; pp. 1724–1734. [Google Scholar] [CrossRef]
- Zhao, R.; Wang, D.; Yan, R.; Mao, K.; Shen, F.; Wang, J. Machine Health Monitoring Using Local Feature-Based Gated Recurrent Unit Networks. IEEE Trans. Ind. Electron. 2018, 65, 1539–1548. [Google Scholar] [CrossRef]
- Lee, K.; Kim, J.-K.; Kim, J.; Hur, K.; Kim, H. CNN and GRU Combination Scheme for Bearing Anomaly Detection in Rotating Machinery Health Monitoring. In Proceedings of the 2018 1st IEEE International Conference on Knowledge Innovation and Invention, Jeju Island, Korea, 23–27 July 2018; Meen, T.H., Ed.; Elsevier: Amsterdam, The Netherlands, 2018; pp. 102–105. [Google Scholar]
- Liu, H.; Mi, X.; Li, Y.; Duan, Z.; Xu, Y. Smart wind speed deep learning based multi-step forecasting model using singular spectrum analysis, convolutional Gated Recurrent Unit network and Support Vector Regression. Renew. Energy 2019, 143, 842–854. [Google Scholar] [CrossRef]
- Yu, C.; Li, Y.; Bao, Y.; Tang, H.; Zhai, G. A novel framework for wind speed prediction based on recurrent neural networks and support vector machine. Energy Convers. Manag. 2018, 178, 137–145. [Google Scholar] [CrossRef]
- Peng, Z.; Peng, S.; Fu, L.; Lu, B.; Tang, J.; Wang, K.; Li, W. A novel deep learning ensemble model with data denoising for short-term wind speed forecasting. Energy Convers. Manag. 2020, 207, 112524. [Google Scholar] [CrossRef]
- Zhang, D.; Kabuka, M.R. Combining weather condition data to predict traffic flow: A GRU-based deep learning approach. IET Intell. Transp. Syst. 2018, 12, 578–585. [Google Scholar] [CrossRef]
- Dai, G.; Ma, C.; Xu, X. Short-Term Traffic Flow Prediction Method for Urban Road Sections Based on SpaceTime Analysis and GRU. IEEE Access 2019, 7, 143025–143035. [Google Scholar] [CrossRef]
- Mahjoobi, J.; Etemad-Shahidi, A.; Kazeminezhad, M.H. Hindcasting of wave parameters using different soft computing methods. Appl. Ocean Res. 2008, 30, 28–36. [Google Scholar] [CrossRef]













| Buoy ID | Latitude (°N) | Longitude (°E) | Water Depth (m) | Period of Data | Max SWH (m) | Max Wind Speed (m/s) | The Number of Data |
|---|---|---|---|---|---|---|---|
| 46714D | 22.31 | 120.35 | 110 | 14 Septmber 2012–10 August 2015 | 8.4 | 30.2 | 22,149 |
| 46735A | 23.72 | 119.55 | 14 | 14 Septmber 2012–3 February 2017 | 5.9 | 21.6 | 31,699 |
| 46787A | 24.38 | 118.41 | 16 | 14 Septmber 2012–31 December 2015, | 5.2 | 17.5 | 26,091 |
| C6V27 | 21.02 | 118.86 | 2623 | 12 Septmber 2012–2 December 2016 | 13.4 | 27.7 | 26,415 |
| C6W08 | 26.38 | 120.54 | 55 | 14 Septmber 2012–13 December 2015, | 12.8 | 24.4 | 26,601 |
| NanJi | 27.5 | 121.1 | 23 | 1 January 2015–30 November 2016, | 6.5 | 27.5 | 16,677 |
| Algorithm | Settings |
|---|---|
| GRU | m = 2, S = 64, g = 0.001, activation function is tanh, k = 200 |
| BP | S = 5, g = 0.1, k = 100 |
| RF | N = 100, maxdeep = 3 |
| ELM | S = 30, activation function is sigmoid. |
| SVM | C = 1, , the kernel function is Radial Basis Function. |
| Station | Algorithm | RMSE | R | IA |
|---|---|---|---|---|
| 46714D | GRU | 0.234 | 0.938 | 0.967 |
| SVM | 0.411 | 0.929 | 0.886 | |
| BP | 0.254 | 0.931 | 0.965 | |
| ELM | 0.509 | 0.735 | 0.862 | |
| RF | 0.268 | 0.921 | 0.959 | |
| 46735A | GRU | 0.262 | 0.943 | 0.968 |
| SVM | 0.443 | 0.934 | 0.888 | |
| BP | 0.274 | 0.936 | 0.966 | |
| ELM | 0.413 | 0.862 | 0.926 | |
| RF | 0.271 | 0.938 | 0.966 | |
| 46787A | GRU | 0.239 | 0.875 | 0.932 |
| SVM | 0.361 | 0.860 | 0.789 | |
| BP | 0.244 | 0.870 | 0.928 | |
| ELM | 0.468 | 0.681 | 0.796 | |
| RF | 0.248 | 0.865 | 0.925 | |
| C6V27 | GRU | 0.349 | 0.947 | 0.972 |
| SVM | 0.534 | 0.943 | 0.924 | |
| BP | 0.360 | 0.944 | 0.971 | |
| ELM | 0.601 | 0.862 | 0.924 | |
| RF | 0.370 | 0.940 | 0.969 | |
| C6W08 | GRU | 0.324 | 0.950 | 0.972 |
| SVM | 0.549 | 0.945 | 0.902 | |
| BP | 0.363 | 0.936 | 0.964 | |
| ELM | 0.603 | 0.844 | 0.914 | |
| RF | 0.367 | 0.936 | 0.962 | |
| NanJi | GRU | 0.193 | 0.950 | 0.973 |
| SVM | 0.381 | 0.942 | 0.878 | |
| BP | 0.226 | 0.934 | 0.960 | |
| ELM | 0.389 | 0.809 | 0.899 | |
| RF | 0.197 | 0.947 | 0.972 |
| Station | Algorithm | RMSE | R | IA |
|---|---|---|---|---|
| 46714D | GRU | 0.299 | 0.899 | 0.943 |
| SVM | 0.585 | 0.889 | 0.742 | |
| BP | 0.317 | 0.887 | 0.940 | |
| ELM | 0.655 | 0.597 | 0.780 | |
| RF | 0.329 | 0.880 | 0.936 | |
| 46735A | GRU | 0.340 | 0.901 | 0.943 |
| SVM | 0.485 | 0.887 | 0.853 | |
| BP | 0.347 | 0.897 | 0.940 | |
| ELM | 0.467 | 0.811 | 0.897 | |
| RF | 0.349 | 0.895 | 0.940 | |
| 46787A | GRU | 0.301 | 0.792 | 0.875 |
| SVM | 0.395 | 0.773 | 0.727 | |
| BP | 0.312 | 0.776 | 0.868 | |
| ELM | 0.567 | 0.484 | 0.665 | |
| RF | 0.314 | 0.773 | 0.866 | |
| C6V27 | GRU | 0.486 | 0.894 | 0.943 |
| SVM | 0.656 | 0.889 | 0.873 | |
| BP | 0.497 | 0.889 | 0.937 | |
| ELM | 0.752 | 0.771 | 0.873 | |
| RF | 0.507 | 0.885 | 0.937 | |
| C6W08 | GRU | 0.453 | 0.899 | 0.941 |
| SVM | 0.618 | 0.897 | 0.863 | |
| BP | 0.463 | 0.895 | 0.936 | |
| ELM | 0.726 | 0.764 | 0.867 | |
| RF | 0.498 | 0.876 | 0.924 | |
| NanJi | GRU | 0.265 | 0.902 | 0.946 |
| SVM | 0.430 | 0.886 | 0.824 | |
| BP | 0.273 | 0.896 | 0.944 | |
| ELM | 0.459 | 0.786 | 0.873 | |
| RF | 0.274 | 0.895 | 0.942 |
| Station | Algorithm | RMSE | R | IA |
|---|---|---|---|---|
| 46714D | GRU | 0.371 | 0.848 | 0.905 |
| SVM | 0.663 | 0.846 | 0.628 | |
| BP | 0.393 | 0.820 | 0.897 | |
| ELM | 0.840 | 0.622 | 0.722 | |
| RF | 0.418 | 0.805 | 0.892 | |
| 46735A | GRU | 0.451 | 0.815 | 0.888 |
| SVM | 0.550 | 0.805 | 0.791 | |
| BP | 0.464 | 0.803 | 0.880 | |
| ELM | 0.596 | 0.683 | 0.818 | |
| RF | 0.464 | 0.803 | 0.881 | |
| 46787A | GRU | 0.349 | 0.705 | 0.812 |
| SVM | 0.511 | 0.689 | 0.450 | |
| BP | 0.354 | 0.695 | 0.804 | |
| ELM | 0.694 | 0.372 | 0.533 | |
| RF | 0.357 | 0.692 | 0.806 | |
| C6V27 | GRU | 0.665 | 0.791 | 0.896 |
| SVM | 0.776 | 0.784 | 0.796 | |
| BP | 0.686 | 0.779 | 0.872 | |
| ELM | 0.841 | 0.692 | 0.822 | |
| RF | 0.686 | 0.777 | 0.877 | |
| C6W08 | GRU | 0.615 | 0.813 | 0.862 |
| SVM | 0.725 | 0.797 | 0.777 | |
| BP | 0.630 | 0.797 | 0.856 | |
| ELM | 0.816 | 0.663 | 0.800 | |
| RF | 0.644 | 0.781 | 0.853 | |
| NanJi | GRU | 0.364 | 0.808 | 0.879 |
| SVM | 0.515 | 0.780 | 0.717 | |
| BP | 0.369 | 0.800 | 0.883 | |
| ELM | 0.628 | 0.616 | 0.753 | |
| RF | 0.372 | 0.796 | 0.876 |
| Station | Algorithm | RMSE | R | IA |
|---|---|---|---|---|
| 46714D | GRU | 0.479 | 0.735 | 0.808 |
| SVM | 0.707 | 0.729 | 0.478 | |
| BP | 0.498 | 0.694 | 0.794 | |
| ELM | 0.950 | 0.475 | 0.613 | |
| RF | 0.509 | 0.682 | 0.803 | |
| 46735A | GRU | 0.612 | 0.619 | 0.726 |
| SVM | 0.657 | 0.613 | 0.608 | |
| BP | 0.621 | 0.607 | 0.706 | |
| ELM | 0.738 | 0.445 | 0.636 | |
| RF | 0.624 | 0.597 | 0.717 | |
| 46787A | GRU | 0.413 | 0.546 | 0.641 |
| SVM | 0.624 | 0.534 | -0.1679 | |
| BP | 0.418 | 0.536 | 0.623 | |
| ELM | 0.892 | 0.172 | 0.297 | |
| RF | 0.426 | 0.514 | 0.627 | |
| C6V27 | GRU | 0.862 | 0.607 | 0.731 |
| SVM | 0.918 | 0.603 | 0.632 | |
| BP | 0.866 | 0.601 | 0.725 | |
| ELM | 1.019 | 0.486 | 0.667 | |
| RF | 0.882 | 0.587 | 0.729 | |
| C6W08 | GRU | 0.805 | 0.629 | 0.691 |
| SVM | 1.056 | 0.613 | 0.330 | |
| BP | 0.807 | 0.621 | 0.687 | |
| ELM | 1.330 | 0.259 | 0.452 | |
| RF | 0.822 | 0.600 | 0.690 | |
| NanJi | GRU | 0.486 | 0.612 | 0.703 |
| SVM | 0.593 | 0.569 | 0.484 | |
| BP | 0.496 | 0.587 | 0.702 | |
| ELM | 0.867 | 0.298 | 0.478 | |
| RF | 0.504 | 0.572 | 0.695 |
Publisher’s Note: MDPI stays neutral with regard to jurisdictional claims in published maps and institutional affiliations. |
© 2021 by the authors. Licensee MDPI, Basel, Switzerland. This article is an open access article distributed under the terms and conditions of the Creative Commons Attribution (CC BY) license (http://creativecommons.org/licenses/by/4.0/).
Share and Cite
Wang, J.; Wang, Y.; Yang, J. Forecasting of Significant Wave Height Based on Gated Recurrent Unit Network in the Taiwan Strait and Its Adjacent Waters. Water 2021, 13, 86. https://doi.org/10.3390/w13010086
Wang J, Wang Y, Yang J. Forecasting of Significant Wave Height Based on Gated Recurrent Unit Network in the Taiwan Strait and Its Adjacent Waters. Water. 2021; 13(1):86. https://doi.org/10.3390/w13010086
Chicago/Turabian StyleWang, Jichao, Yue Wang, and Jungang Yang. 2021. "Forecasting of Significant Wave Height Based on Gated Recurrent Unit Network in the Taiwan Strait and Its Adjacent Waters" Water 13, no. 1: 86. https://doi.org/10.3390/w13010086
APA StyleWang, J., Wang, Y., & Yang, J. (2021). Forecasting of Significant Wave Height Based on Gated Recurrent Unit Network in the Taiwan Strait and Its Adjacent Waters. Water, 13(1), 86. https://doi.org/10.3390/w13010086

