Estimation of Hourly Flood Hydrograph from Daily Flows Using Artificial Neural Network and Flow Disaggregation Technique
Abstract
1. Introduction
2. Materials and Methods
2.1. Study Sites and Data
2.2. Empirical Methods for Estimating Instantaneous Peak Flow
2.3. Steepness Index Unit Volume Flood Hydrograph Approach for Disaggregating Daily Flows
2.4. Development of Artificial Neural Network (ANN)-Based Instantaneous Peak Flow (IPF) Estimation Method
2.5. Combining ANN-Based Peak Flow Estimation and Steepness Index Unit Volume Flood Hydrograph (SIUVFH)-Based Sub-Daily Flow Disaggregation
3. Results and Discussion
3.1. ANN-Based Estimation of Hourly Peak Flow
3.1.1. Optimal ANN Model
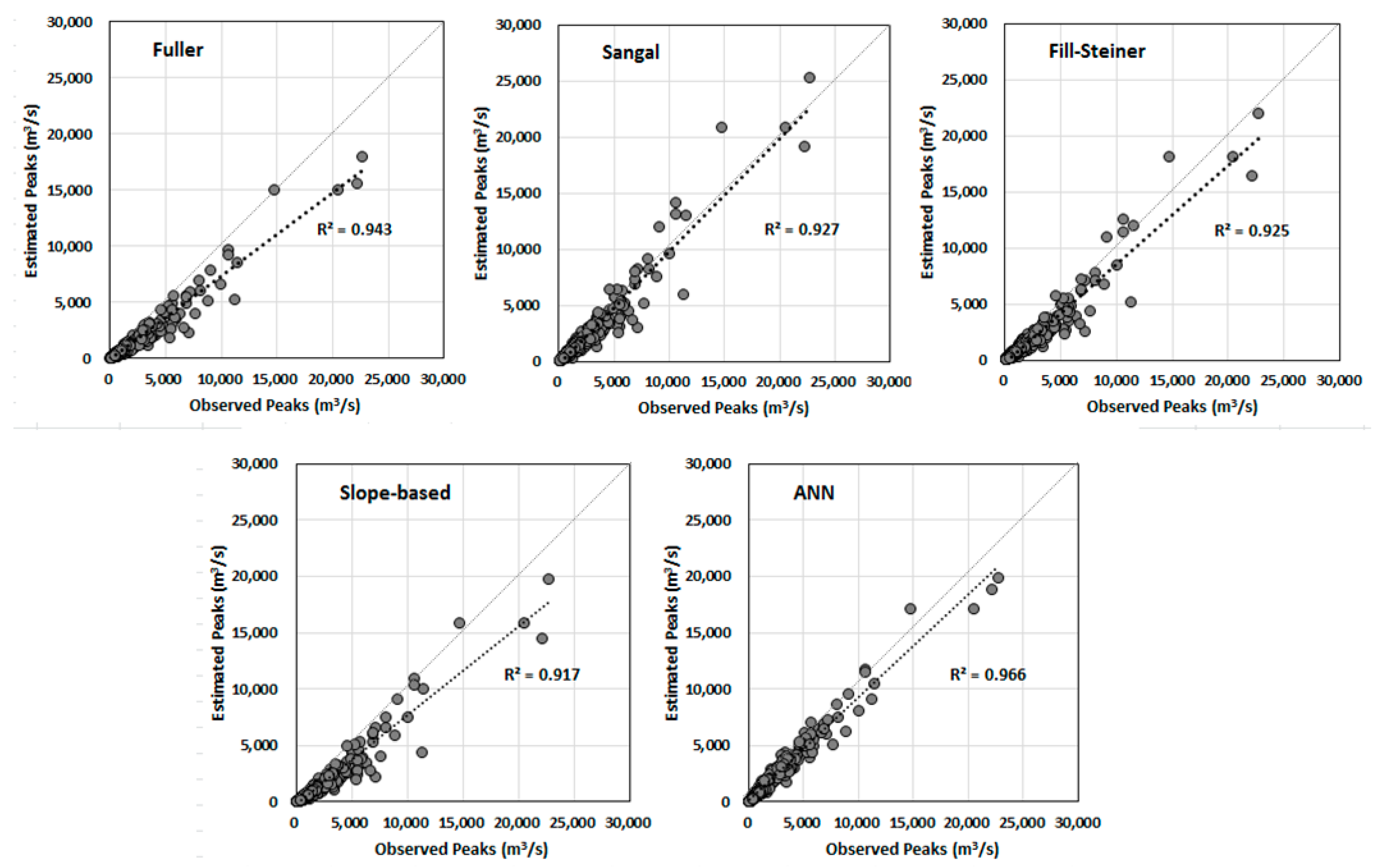
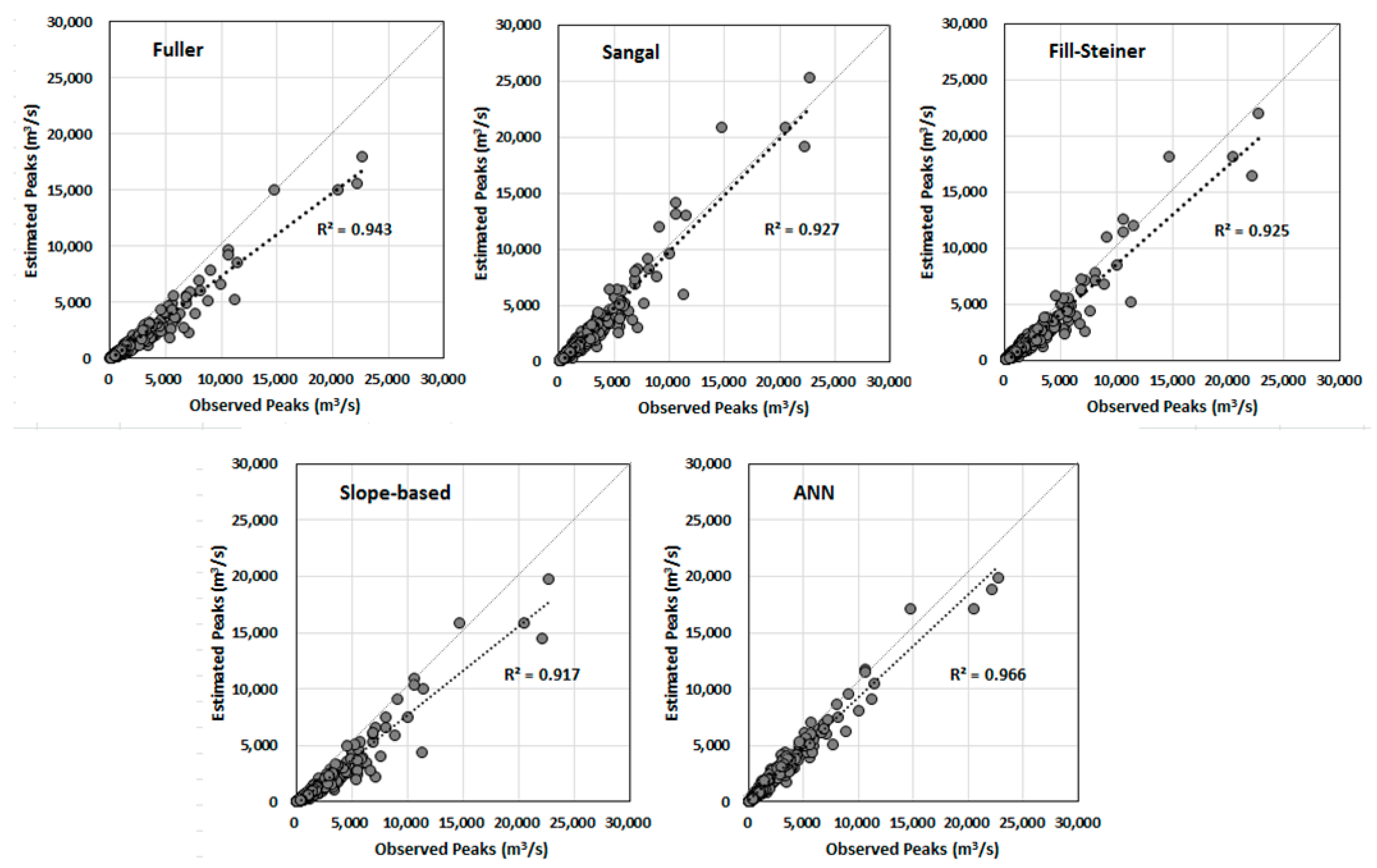
3.1.2. Comparison of ANN Model with Empirical Methods
3.2. Estimation of Hourly Flow Hydrographs
4. Conclusions
Author Contributions
Funding
Institutional Review Board Statement
Informed Consent Statement
Data Availability Statement
Acknowledgments
Conflicts of Interest
References
- Camici, S.; Ciabatta, L.; Massari, C.; Brocca, L. How reliable are satellite precipitation estimates for driving hydrological models: A verification study over the Mediterranean area. J. Hydrol. 2018, 563, 950–961. [Google Scholar] [CrossRef]
- Cislaghi, A.; Masseroni, D.; Massari, C.; Camici, S.; Brocca, L. Combining a rainfall–runoff model and a regionalization approach for flood and water resource assessment in the western Po Valley, Italy. Hydrol. Sci. J. 2020, 65, 348–370. [Google Scholar] [CrossRef]
- Masseroni, D.; Cislaghi, A.; Camici, S.; Massari, C.; Brocca, L. A reliable rainfall–runoff model for flood forecasting: Review and application to a semi-urbanized watershed at high flood risk in Italy. Hydrol. Res. 2017, 48, 726–740. [Google Scholar] [CrossRef]
- Masseroni, D.; Cislaghi, A. Green roof benefits for reducing flood risk at the catchment scale. Environ. Earth Sci. 2016, 75, 579. [Google Scholar] [CrossRef]
- Hromadka, T.V. Rainfall-runoff models: A review. Environ. Softw. 1990, 5, 82–103. [Google Scholar] [CrossRef]
- Chen, B.; Krajewski, W.F.; Liu, F.; Fang, W.; Xu, Z. Estimating instantaneous peak flow from mean daily flow. Hydrol. Res. 2017, 48, 1474–1488. [Google Scholar] [CrossRef]
- Fuller, W.E. Flood flows. Trans. Am. Soc. Civ. Eng. 1914, 77, 564–617. [Google Scholar]
- Ellis, W.; Gray, M. Interrelationships between the peak instantaneous and average daily discharges of small prairie streams. Can. Agric. Eng. 1966, 8, 1–39. [Google Scholar]
- Centre for Public Works Studies and Experimentation (CEDEX). Mapa de Caudales Máximos: Memoria Técnica; CEDEX: Madrid, Spain, 2011. (In Spanish) [Google Scholar]
- Taguas, E.V.; Ayuso, J.L.; Pena, A.; Yuan, Y.; Sanchez, M.C.; Giraldez, J.V.; Prez, R. Testing the relationship between instantaneous peak flow and mean daily flow in a Mediterranean Area Southeast Spain. Catena 2008, 75, 129–137. [Google Scholar] [CrossRef]
- Ding, J.; Haberlandt, U.; Dietrich, J. Estimation of the instantaneous peak flow from maximum daily flow: A comparison of three methods. Hydrol. Res. 2015, 46, 671–688. [Google Scholar] [CrossRef][Green Version]
- Langbein, W.B. Peak discharge from daily records. Water Resour. Bull. 1944, 10, 145. [Google Scholar]
- Sangal, B.P. Practical method of estimating peak flow. J. Hydraul. Eng. 1983, 109, 549–563. [Google Scholar] [CrossRef]
- Fill, H.D.; Steiner, A.A. Estimating instantaneous peak flow from mean daily flow data. J. Hydrol. Eng. 2003, 8, 365–369. [Google Scholar] [CrossRef]
- Tan, K.-S.; Chiew, F.H.S.; Grayson, R.B. A steepness index unit volume flood hydrograph approach for sub-daily flow disaggregation. Hydrol. Process. 2007, 21, 2807–2816. [Google Scholar] [CrossRef]
- Dastorani, M.T.; Salimi, J.; Talebi, A.; Abghari, H. River instantaneous peak flow estimation using mean daily flow data. In Proceedings of the 9th International Conference on Hydroinformatics (HIC 2010), Tianjin, China, 7 September–15 October 2010; pp. 862–866. [Google Scholar]
- Shabani, M.; Shabani, N. Application of artificial neural networks in instantaneous peak flow estimation for Kharestan Watershed, Iran. J. Resour. Ecol. 2012, 3, 379–383. [Google Scholar]
- Dastorani, M.T.; Koochi, J.S.; Darani, H.S.; Talebi, A.; Rahimian, M.H. River instantaneous peak flow estimation using daily flow data and machine-learning-based models. J. Hydroinform. 2013, 15, 1089–1098. [Google Scholar] [CrossRef]
- Jimeno-Saez, P.; Senent-Aparicio, J.; Perez-Sanchez, J.; Pulido-Velazquez, D.; Cecilia, J.M. Estimation of instantaneous peak flow using machine-learning models and empirical formula in Peninsular Spain. Water 2017, 9, 347. [Google Scholar] [CrossRef]
- Ding, J.; Wallner, M.; Müller, H.; Haberlandt, U. Estimation of instantaneous peak flows from maximum mean daily flows using the HBV hydrological model. Hydrol. Process. 2016, 30, 1431–1448. [Google Scholar] [CrossRef]
- Ding, J.; Haberlandt, U. Estimation of instantaneous peak flow from maximum daily flow by regionalization of catchment model parameters. Hydrol. Process. 2017, 31, 612–626. [Google Scholar] [CrossRef]
- Senent-Aparicio, J.; Jimeno-Saez, P.; Bueno-Crespo, A.; Perez-Sanchez, J.; Pulido-Velazquez, D. Coupling machine-learning techniques with SWAT model for instantaneous peak flow prediction. Biosyst. Eng. 2019, 177, 67–77. [Google Scholar] [CrossRef]
- Chang, F.J.; Guo, S. Advances in hydrologic forecasts and water resources management. Water 2020, 12, 1819. [Google Scholar] [CrossRef]
- Chang, F.J.; Hsu, K.; Chang, L.C. (Eds.) Flood Forecasting Using Machine Learning Methods; MDPI: Basel, Switzerland, 2019. [Google Scholar] [CrossRef]
- Kao, I.-F.; Zhou, Y.; Chang, L.C.; Chang, F.-J. Exploring a Long Short-Term Memory based Encoder-Decoder framework for multi-step-ahead flood forecasting. J. Hydrol. 2020, 583, 124631. [Google Scholar] [CrossRef]
- Zhou, Y.; Guo, S.; Chang, F.-J. Explore an evolutionary recurrent ANFIS for modelling multi-step-ahead flood forecasts. J. Hydrol. 2019, 570, 343–355. [Google Scholar] [CrossRef]
- Picard, R.R.; Cook, R.D. Cross-validation of regression models. J. Am. Stat. Assoc. 1984, 79, 575–583. [Google Scholar] [CrossRef]
- Shao, J. Linear model selection by cross-validation. J. Am. Stat. Assoc. 1993, 88, 486–494. [Google Scholar] [CrossRef]
- Xu, Q.S.; Liang, Y.Z.; Du, Y.P. Monte Carlo cross-validation for selecting a model and estimating the prediction error in multivariate calibration. J. Chemom. 2004, 18, 112–120. [Google Scholar] [CrossRef]
- Barrow, D.K.; Crone, S.F. Cross-validation aggregation for combining autoregressive neural network forecasts. Int. J. Forecast. 2016, 32, 1120–1137. [Google Scholar] [CrossRef]
- Lee, J.; Kim, C.G.; Lee, J.E.; Kim, N.W.; Kim, H.J. Medium-Term Rainfall Forecasts Using Artificial Neural Networks with Monte-Carlo Cross-Validation and Aggregation for the Han River Basin, Korea. Water 2020, 12, 1743. [Google Scholar] [CrossRef]
- Baxter, C.W.; Stanley, S.J.; Zhang, Q.; Smith, D.W. Developing artificial neural network models of water treatment processes: A guide for utilities. J. Environ. Eng. Sci. 2002, 1, 201–211. [Google Scholar] [CrossRef]
- May, R.J.; Maier, H.R.; Dandy, G.G. Data splitting for artificial neural networks using SOM-based stratified sampling. Neural Netw. 2010, 23, 283–294. [Google Scholar] [CrossRef]
- Maier, H.R.; Dandy, G.C. Neural networks for the prediction and forecasting of water resources variables: A review of modelling issues and applications. Environ. Model. Softw. 2000, 15, 101–124. [Google Scholar] [CrossRef]
- Rogers, L.L.; Dowla, F.U. Optimization of groundwater remediation using artificial neural networks with parallel solute transport modeling. Water Resour. Res. 1994, 30, 457–481. [Google Scholar] [CrossRef]
- Masters, T. Practical Neural Network Recipes in C++; Academic Press: San Diego, CA, USA, 1993. [Google Scholar]
- Weigend, A.S.; Rumelhart, D.E.; Huberman, B.A. Predicting the future: A connectionist approach. Int. J. Neural Syst. 1990, 1, 193–209. [Google Scholar] [CrossRef]







| Dam Site Name | Site No. | Drainage Area (km2) | Altitude (El.m) | Mean Annual Rainfall (mm) | Mean Annual Flow (m3/s) | Collected Record Period | No. of Used Events |
|---|---|---|---|---|---|---|---|
| Seomjingang | 1 | 763.0 | 203.0 | 1310.2 | 17.3 | 1996–2020 | 51 |
| Soyanggang | 2 | 2703.0 | 203.0 | 1100.0 | 55.5 | 1997–2020 | 44 |
| Andong | 3 | 930.0 | 166.0 | 1259.7 | 24.4 | 1992–2020 | 48 |
| Yongdam | 4 | 1584.0 | 268.5 | 950.0 | 27.0 | 2001–2020 | 48 |
| Imha | 5 | 1361.0 | 168.0 | 987.1 | 17.3 | 1998–2020 | 47 |
| Chungju | 6 | 6648.0 | 147.5 | 1197.6 | 154.5 | 1997–2020 | 41 |
| Hwoingseong | 7 | 209.0 | 184.0 | 1320.0 | 5.1 | 2000–2020 | 51 |
| References | Empirical Formula | Equation No. |
|---|---|---|
| Fuller (1914) | (1) | |
| Sangal (1983) | (2) | |
| Fill & Steiner (2003) | (3) | |
| Chen et al. (2017) | (4) |
| Site No. | No. of Hidden Nodes | RRMSE | NSE | R2 | ||||||
|---|---|---|---|---|---|---|---|---|---|---|
| Training | Validation | Testing | Training | Validation | Testing | Training | Validation | Testing | ||
| 1 | 5 | 0.211 | 0.235 | 0.333 | 0.894 | 0.800 | 0.695 | 0.901 | 0.856 | 0.776 |
| 2 | 10 | 0.197 | 0.248 | 0.286 | 0.858 | 0.731 | 0.679 | 0.867 | 0.789 | 0.783 |
| 3 | 3 | 0.197 | 0.208 | 0.286 | 0.901 | 0.816 | 0.736 | 0.901 | 0.885 | 0.826 |
| 4 | 10 | 0.201 | 0.277 | 0.323 | 0.931 | 0.842 | 0.808 | 0.931 | 0.912 | 0.893 |
| 5 | 4 | 0.198 | 0.301 | 0.382 | 0.956 | 0.750 | 0.577 | 0.956 | 0.863 | 0.760 |
| 6 | 10 | 0.155 | 0.212 | 0.244 | 0.950 | 0.863 | 0.834 | 0.953 | 0.924 | 0.914 |
| 7 | 3 | 0.224 | 0.271 | 0.329 | 0.943 | 0.855 | 0.783 | 0.945 | 0.916 | 0.893 |
| Site No. | No. of Hidden Nodes | RRMSE | NSE | R2 | ||||||
|---|---|---|---|---|---|---|---|---|---|---|
| Training | Validation | Testing | Training | Validation | Testing | Training | Validation | Testing | ||
| 1 | 9 | 0.141 | 0.234 | 0.294 | 0.942 | 0.824 | 0.714 | 0.947 | 0.876 | 0.819 |
| 2 | 10 | 0.181 | 0.231 | 0.322 | 0.826 | 0.636 | 0.495 | 0.887 | 0.808 | 0.726 |
| 3 | 10 | 0.178 | 0.246 | 0.329 | 0.912 | 0.785 | 0.627 | 0.916 | 0.841 | 0.773 |
| 4 | 9 | 0.146 | 0.310 | 0.359 | 0.937 | 0.821 | 0.736 | 0.958 | 0.885 | 0.878 |
| 5 | 6 | 0.136 | 0.288 | 0.369 | 0.973 | 0.811 | 0.581 | 0.978 | 0.884 | 0.815 |
| 6 | 8 | 0.110 | 0.209 | 0.286 | 0.966 | 0.801 | 0.695 | 0.966 | 0.906 | 0.834 |
| 7 | 5 | 0.196 | 0.318 | 0.386 | 0.953 | 0.849 | 0.761 | 0.953 | 0.865 | 0.828 |
| Dam Site Name | Site No. | Fuller | Sangal | Fill-Steiner | Slope-Based | ANN |
|---|---|---|---|---|---|---|
| Seomjingang | 1 | 489.1 | 358.8 | 429.0 | 511.2 | 242.4 |
| Soyanggang | 2 | 1589.1 | 1182.1 | 1434.7 | 1676.7 | 722.2 |
| Yongdam | 3 | 563.4 | 361.2 | 443.3 | 796.1 | 274.1 |
| Andong | 4 | 706.6 | 472.1 | 564.4 | 706.9 | 301.1 |
| Imha | 5 | 1124.3 | 895.6 | 999.8 | 1116.8 | 321.1 |
| Chungju | 6 | 2073.6 | 1646.2 | 1509.0 | 1865.4 | 1273.0 |
| Hwoingseong | 7 | 94.7 | 88.1 | 116.1 | 131.4 | 55.9 |
| Dam Site Name | Site No. | Fuller | Sangal | Fill-Steiner | Slope-Based | ANN |
|---|---|---|---|---|---|---|
| Seomjingang | 1 | −26.5 | −9.8 | −19.5 | −29.5 | 4.6 |
| Soyanggang | 2 | −31.3 | −12.6 | −23.6 | −31.0 | 6.1 |
| Yongdam | 3 | −25.5 | −7.2 | −18.4 | −31.6 | 3.6 |
| Andong | 4 | −38.7 | −24.2 | −32.5 | −40.3 | 2.5 |
| Imha | 5 | −34.4 | −17.2 | −26.5 | −34.9 | 4.1 |
| Chungju | 6 | −19.9 | 3.8 | −9.2 | −16.7 | 2.8 |
| Hwoingseong | 7 | −12.6 | −9.7 | −21.5 | −27.8 | 7.8 |
Publisher’s Note: MDPI stays neutral with regard to jurisdictional claims in published maps and institutional affiliations. |
© 2020 by the authors. Licensee MDPI, Basel, Switzerland. This article is an open access article distributed under the terms and conditions of the Creative Commons Attribution (CC BY) license (http://creativecommons.org/licenses/by/4.0/).
Share and Cite
Lee, J.; Lee, J.E.; Kim, N.W. Estimation of Hourly Flood Hydrograph from Daily Flows Using Artificial Neural Network and Flow Disaggregation Technique. Water 2021, 13, 30. https://doi.org/10.3390/w13010030
Lee J, Lee JE, Kim NW. Estimation of Hourly Flood Hydrograph from Daily Flows Using Artificial Neural Network and Flow Disaggregation Technique. Water. 2021; 13(1):30. https://doi.org/10.3390/w13010030
Chicago/Turabian StyleLee, Jeongwoo, Jeong Eun Lee, and Nam Won Kim. 2021. "Estimation of Hourly Flood Hydrograph from Daily Flows Using Artificial Neural Network and Flow Disaggregation Technique" Water 13, no. 1: 30. https://doi.org/10.3390/w13010030
APA StyleLee, J., Lee, J. E., & Kim, N. W. (2021). Estimation of Hourly Flood Hydrograph from Daily Flows Using Artificial Neural Network and Flow Disaggregation Technique. Water, 13(1), 30. https://doi.org/10.3390/w13010030

